Belajar Pintar Materi SMP, SMA, SMK
BelajarPintarV3
Matematika IPA
Fungsi Komposisi dan Fungsi Invers
MATERI
Penjumlahan Fungsi
Jika ada dua buah fungsi f dan g maka berlaku :
(f + g)(x) = f(x) + g(x)
Contoh :
f(x) = x + 2
g(x) = x2 - 4
Tentukan (f + g)(x) = ....
(f + g)(x) = f(x) + g(x)
(f + g)(x) = x + 2 + x2 - 4
(f + g)(x) = x2 + x - 2
Pengurangan Fungsi
Jika ada dua fungsi f dan g maka berlaku :
(f - g)(x) = f(x) - g(x)
Contoh soal :
Diketahui :
f(x) = x2 - 3x
g(x) = 2x + 1
Tentukan (f - g)(x) = ....
(f - g)(x) = f(x) - g(x)
(f - g)(x) = x2 - 3x - (2x + 1)
(f - g)(x) = x2 - 3x - 2x - 1
= x2 - 5x - 1
Perkalian Fungsi
Jika diberikan dua buah fungsi f dan g maka berlaku :
(f . g)(x) = f(x) . g(x)
Contoh soal :
Diketahui :
f(x) = x - 5
g(x) = x2 + x
Tentukan (f . g)(x) = ....
(f . g )(x) = f(x) . g(x)
(f . g)(x) = (x - 5)(x2 + x)
= x3 + x2 - 5x2 - 5x
= x3 - 4x2 - 5x
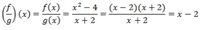
Pembagian Fungsi
Jika diberika dua buah fungsi f dan g maka berlaku :

Contoh soal :
Diketahui :
f(x) = x2 - 4
g(x) = x + 2
Tentukan


1.
Diketahui
f(x) = 5x + 6
g(x) = x - 3
Maka tentukan nilai dari (f . g)(2) adalah ....
A. - 16
B. - 10
C. - 8
D. 5
E. 2
JAWABAN BENAR
A.
- 16
PEMBAHASAN
Diketahui
f(x) = 5x + 6
g(x) = x - 3
(f . g)(x) = (5x + 6)(x - 3)
= 5x2 - 15x + 6x - 18
= 5x2 - 9x - 18
(f . g)(2) = 5(2)2 - 9(2) - 18 = 20 - 18 - 18 = - 16
Jawaban : A
2.
Diketahui :
f(x) = 3x + 4
g(x) = x3 - 2x2 + 4x - 6
Tentukan (f + g)(2) = ....
A. 1
B. 2
C. 3
D. 4
E. 5
JAWABAN BENAR
B.
2
PEMBAHASAN
(f + g)(x) = 3x + 4 + x3 - 2x2 + 4x - 6
(f + g)(x)= x3 - 2x2 + 7x - 2
(f + g)(2)=(2)3 - 2(3)2 + 7(2) - 2
= 8 - 18 + 14 - 2 = 2
Jawaban : B
Oops!!!
Yah, jawaban kamu meleset nih. Ingin melihat pembahasan soal ini?
BENAR!!!
Selamat!
Jawaban kamu benar. Ingin lihat pembahasan soal ini?
footer_v3
Bersama Aku Pintar temukan jurusan kuliah yang tepat
sesuai minat dan bakatmu.
Aku Pintar memiliki visi membuat pendidikan merata, mudah dijangkau, dan terjangkau dengan Program Journey Pintar yang merupakan sebuah program persiapan lengkap bagi siswa SMA/SMK/sederajat yang ingin masuk ke perguruan tinggi impiannya.
Kontak Kami
Grand Slipi Tower Lt. 42
Jl. S. Parman Kav 22-24
Jakarta Barat
© 2024 Aku Pintar. All Rights Reserved