Belajar Pintar Materi SMP, SMA, SMK
BelajarPintarV3
Matematika
Integral
MATERI
Aturan Integral Trigonometri
Berikut ini akan dibuktikan aturan integral trigonometri menggunakan rumus tersebut. Caranya adalah dengan mengintegralkan kedua ruas seperti berikut.

Rumuis Integral Trigonometri

Atau jika sobat pintar perluas, maka akan dapat rumus seperti berikut ini

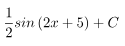
1. Tentukan nilai 
A. 
B. 
C. 
D. 
E. 
JAWABAN BENAR
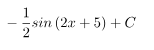
D.
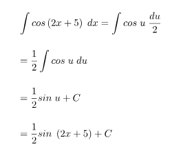
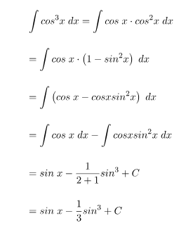
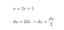
PEMBAHASAN
misalkan
sehingga,

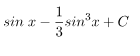
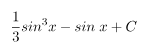
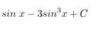
2. tentukan hasil dari integral berkut
A. 
B. 
C. 
D. 
E. 
JAWABAN BENAR
A.
PEMBAHASAN
Oops!!!
Yah, jawaban kamu meleset nih. Ingin melihat pembahasan soal ini?
BENAR!!!
Selamat!
Jawaban kamu benar. Ingin lihat pembahasan soal ini?
footer_v3
Bersama Aku Pintar temukan jurusan kuliah yang tepat
sesuai minat dan bakatmu.
Aku Pintar memiliki visi membuat pendidikan merata, mudah dijangkau, dan terjangkau dengan Program Journey Pintar yang merupakan sebuah program persiapan lengkap bagi siswa SMA/SMK/sederajat yang ingin masuk ke perguruan tinggi impiannya.
Kontak Kami
Grand Slipi Tower Lt. 42
Jl. S. Parman Kav 22-24
Jakarta Barat
© 2024 Aku Pintar. All Rights Reserved