Belajar Pintar Materi SMP, SMA, SMK
BelajarPintarV3
Matematika
Bentuk Aljabar
MATERI
Cara Menyederhanakan Pecahan Bentuk Aljabar

Nah, Sobat Pintar. DI bagian ini kita akan bersama memelajari tentang menyederhanakan pecahan bentuk aljabar.
Dalam hal ini hasil baginya bisa disajikan dalam bentuk aljabar pecahan . Bentuk pecahan
bisa Sobat Pintar ubah menjadi bentuk yang lebih sederhana dengan cara membagi dua pembilang dan penyebutnya, menjadi
. Bentuk
dikatakan lebih sederhana karena mengandung bilangan-bilangan yang lebih sederhana (dekat dengan nol) dari bentuk sebelumnya. Namun, memiliki nilai yang sama dengan bentuk
. Selain itu, suatu bentuk aljabar dikatakan lebih sederhana jika mengandung operasi yang lebih sedikit.
Untuk lebih memahaminya mari kita simak contoh soal dibawah ini
Contoh Soal :
Sederhanakan pembagian bentuk aljabar dari 48x5y4z : 12x3y
Penyelesaian :
Cara untuk membagi bentuk aljabar dari 48x5y4z : 12x3y adalah sebagai berikut:

Cara menyelesaikan operasi pecahan bentuk aljabar sama halnya dengan menyelesaikan operasi bentuk bilangan bulat, yaitu sebagai berikut.
1.
Kerjakanlah Soal berikut ini dengan benar!
Sederhanakan pembagian bentuk aljabar dari 18a2 : 6a !
A. 2a
B. 3a
C. 4a
D. 5a
JAWABAN BENAR
B.
3a
PEMBAHASAN
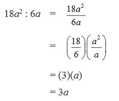
Cara untuk membagi bentuk aljabar dari 18a2 : 6a adalah sebagai berikut

Jadi, sederhana dari bentuk aljabar dari 18a2: 6a adalah 3a
2.
Kerjakanlah Soal berikut ini dengan benar!
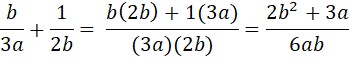
Hasil dari penjumlahan
adalah …
A.
B. 
C. 
D.

JAWABAN BENAR
D.

PEMBAHASAN

3.
Kerjakanlah Soal berikut ini dengan benar!
Sederhanakan pembagian bentuk aljabar dari 72a2 : 12a!
A. 2a
B. 3a
C. 4a
D. 6a
JAWABAN BENAR
D.
6a
PEMBAHASAN
Cara untuk membagi bentuk aljabar dari 72a2 : 12a adalah sebagai berikut

Jadi, sederhana dari bentuk aljabar dari 72a2: 12a adalah 6a
4.
Kerjakanlah Soal berikut ini dengan benar!
Hasil dari Penjumlahan
adalah…
A. 7/3x
B. 8/8x
C. 7/8x
D. 7/4x
JAWABAN BENAR
D.
7/4x
PEMBAHASAN

Oops!!!
Yah, jawaban kamu meleset nih. Ingin melihat pembahasan soal ini?
BENAR!!!
Selamat!
Jawaban kamu benar. Ingin lihat pembahasan soal ini?
footer_v3
Bersama Aku Pintar temukan jurusan kuliah yang tepat
sesuai minat dan bakatmu.
Aku Pintar memiliki visi membuat pendidikan merata, mudah dijangkau, dan terjangkau dengan Program Journey Pintar yang merupakan sebuah program persiapan lengkap bagi siswa SMA/SMK/sederajat yang ingin masuk ke perguruan tinggi impiannya.
Kontak Kami
Grand Slipi Tower Lt. 42
Jl. S. Parman Kav 22-24
Jakarta Barat
© 2024 Aku Pintar. All Rights Reserved