Belajar Pintar Materi SMP, SMA, SMK
BelajarPintarV3
Matematika
Bentuk Aljabar
MATERI
Memahami Penjumlahan dan Pengurangan Bentuk Aljabar

Sobat Pintar, dalam materi sebelumnya kita telah mengenal bentuk aljabar, dalam materi kali ini kita akan mempelajari penjumlahan dan pengurangan bentuk aljabar
Dibawah ini merupakan contoh tabel penjumlahan dan pengurangan bentuk aljabar
Tabel Penjumlahan dan Pengurangan Bentuk Aljabar
Contoh Soal :
Pak Madhuri merupakan seorang pemborong beras yang sukses di desa Dempo Timur. Pak Madhuri mendapatkan pesanan dari Pedagang pasar Pasean dan Waru di hari yang bersamaan. Pedagang pasar Pasean memesan 15 karung beras, sedangkan pedagang pasar Waru memesan 20 karung beras. Beras yang sekarang tersedia di gudang Pak Madhuri hanya 17 karung beras saja. Misalkan x adalah massa tiap karung beras. Nyatakan dalam bentuk aljabar:
a. Total beras yang dipesan kepada Pak Madhuri.
b. Sisa beras yang ada di gudang Pak Madhuri jika memenuhi pesanan pedagang pasar Pasean saja.
c. Kekurangan beras yang dibutuhkan Pak Madhuri jika memenuhi pesanan pedagang pasar Waru saja.
Penyelesaian :
a. Total beras yang dipesan kepada Pak Madhuri adalah 15x + 20x atau 35x kilogram beras.
b. Jika Pak Madhuri memenuhi pesanan pedagang pasar Pasean saja, maka sisa beras adalah 2 karung beras atau 2x kilogram beras.
c. Kekurangan beras yang dibutuhkan Pak Madhuri untuk memenuhi pesanan Pedagang pasar Waru adalah 3 karung beras atau (-3x) kilogram beras. (tanda negatif menyatakan kekurangan)
Pada cerita pengantar tersebut terdapat operasi antara dua bentuk aljabar, yaitu:
1. Penjumlahan (15x) + (20x) = 35x
2. Pengurangan (17x) - (15x) = 2x
3. Pengurangan (17x) - (20x) = -3x
Bentuk 17x - 15x bisa juga ditulis penjumlahan dua bentuk aljabar (17x) - (15x)
Contoh Soal :
Tentukan penjumlahan 7a + 4b dengan 8a - 6b.
Penyelesaian :
(7a + 4b) + (8a - 6b) = 7a + 4b + 8a + (-6b)
= 7a + 8a + 4b + (-6b)
= 15a + (-2b)
= 15a - 2b
Contoh Soal :
Kurangkan 3x + 4y dengan 5x - 6y
Penyelesaian :
(3x + 4y) - (5x - 6y) = 3x + 4y - 5x + 6y
= 3x - 5x + 4y + 6y
= -2x + 10y
1.
Kerjakanlah Soal berikut ini dengan benar!
Tentukan penjumlahan 
A. 21a – 21b + 2c + 4
B. 11a – 3b + 2c + 4
C. 21a – 3b + 2c + 4
D. 11a – 21b + 2c + 4
JAWABAN BENAR
A.
21a – 21b + 2c + 4
PEMBAHASAN

2.
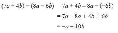
Kerjakanlah Soal berikut ini dengan benar!
Tentukan pengurangan 
A. a – 10 b
B. –a + 10 b
C. 15a - 2b
D. -a - 2b
JAWABAN BENAR
B.
–a + 10 b
PEMBAHASAN

3.
Kerjakanlah Soal berikut ini dengan benar!
Tentukan Hasil Penjumlahan dari (3ab-3a+b) dan (4ab-b+4a)!
A. 7ab + a
B. 7ab + 7a + 2b
C. 7ab – 7a +2b
D. -7ab + a
JAWABAN BENAR
A.
7ab + a
PEMBAHASAN
(3ab-3a+b) dan (4ab-b+4a) = (3ab-3a+b)+(4ab-b+4a)
= (3ab+4ab) + (-3a+4a)+(b-b)
= 7ab + a +0
= 7ab + a
4.
Kerjakanlah Soal berikut ini dengan benar!
Tentukan Hasil Pengurangan (3xy-7x+8y) dan (-8xy+y-6x)!
A. 5xy-13x + 14y
B. 11xy-13x-14y
C. 11xy-13x+14y
D. -5xy-13x+14y
JAWABAN BENAR
B.
11xy-13x-14y
PEMBAHASAN
(3xy-7x+8y) - (-8xy+y-6x) = (3xy+8xy) – (7x+6x) – (8y+6y)
= (11xy)-(13x)-(14y)
= 11xy-13x-14y
Oops!!!
Yah, jawaban kamu meleset nih. Ingin melihat pembahasan soal ini?
BENAR!!!
Selamat!
Jawaban kamu benar. Ingin lihat pembahasan soal ini?
footer_v3
Bersama Aku Pintar temukan jurusan kuliah yang tepat
sesuai minat dan bakatmu.
Aku Pintar memiliki visi membuat pendidikan merata, mudah dijangkau, dan terjangkau dengan Program Journey Pintar yang merupakan sebuah program persiapan lengkap bagi siswa SMA/SMK/sederajat yang ingin masuk ke perguruan tinggi impiannya.
Kontak Kami
Grand Slipi Tower Lt. 42
Jl. S. Parman Kav 22-24
Jakarta Barat
© 2024 Aku Pintar. All Rights Reserved