Belajar Pintar Materi SMP, SMA, SMK
BelajarPintarV3
IPA
Kelistrikan dan Teknologi Listrik di Lingkungan
MATERI
Muatan Listrik

Sobat Pintar, listrik sudah menjadi kebutuhan primer saat ini, yuk kita pelajari bagaimana sistem kerjanya.
Jika benda bermuatan listrik positif didekatkan dengan benda bermuatan listrik negatif maka akan saling tarik menarik. Sebaliknya, jika benda bermuatan listrik positif didekatkan dengan benda bermuatan listrik positif, atau benda bermuatan listrik negatif didekatkan dengan benda bermuatan listrik negatif akan saling tolak menolak. Interaksi kedua muatan tersebut merupakan gejala sederhana listrik statis.
Pada umumnya jumlah elektron dan proton pada atom-atom sebuah benda adalah sama, sehingga atom-atom pada benda tersebut tidak bermuatan listrik atau netral. Jika benda tersebut netral, dapatkah sebuah benda diubah menjadi bermuatan listrik? Bagaimana caranya? Yuk lanjut di bab selanjutnya !
Hukum Coulomb
Masih ingatkah Sobat Pintar, bahwa muatan listrik dapat saling menarik dan dapat saling menolak?
Bagaimana hubungan antara gaya tolak-menolak atau gaya tarik-menarik dua benda bermuatan listrik terhadap jarak keduanya?
Ilmuwan Perancis, Charles Augustin Coulomb (1736 – 1806), menyelidiki hubungan gaya tolak-menolak atau gaya tarik-menarik dua benda bermuatan listrik terhadap besar muatan listrik dan jaraknya menggunakan alat neraca puntir Coulomb.
Berdasarkan percobaan dengan menggunakan neraca puntir, Coulomb menyimpulkan bahwa besar gaya listrik antara dua benda bermuatan adalah:
Berbanding terbalik dengan kuadrat jarak kedua muatan.
Berbanding lurus dengan perkalian besar kedua muatan partikel.
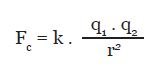
Secara matematis, rumusan Gaya Coulomb (Fc) dapat dituliskan sebagai berikut.
Keterangan:
Fc = gaya Coulomb (newton)
k = konstanta = 9 x 109 Nm2/C2
r = jarak antara dua muatan (meter)
q1 = besar muatan listrik pertama (coulomb)
q2 = besar muatan listrik kedua (coulomb)
Medan Listrik
Tahukah Sobat Pintar, mengapa benda-benda yang berada di permukaan bumi selalu ditarik menuju pusat bumi?
Seluruh benda yang ada di permukaan bumi atau sekitarnya akan ditarik menuju pusat bumi karena memiliki massa yang jauh lebih kecil dari pada massa bumi. Hal serupa ternyata juga terjadi pada muatan-muatan listrik.
Muatan-muatan listrik memiliki medan listrik sehingga dapat mempengaruhi muatan lain yang berada tidak jauh darinya. Medan listrik dapat didefinisikan sebagai daerah di sekitar muatan yang masih kuat menimbulkan gaya listrik terhadap muatan lain.
Medan listrik digambarkan oleh serangkaian garis gaya listrik yang arahnya keluar atau masuk ke dalam muatan. Arah garis gaya listrik ke dalam digunakan untuk menunjukkan muatan negatif dan arah garis medan listrik ke luar digunakan untuk menunjukkan muatan positif.
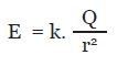
Selain melalui gambar, medan listrik suatu muatan dapat ditentukan besarnya dengan cara menghitung. Bagaimana cara menghitung besar kuat medan listrik? Agar dapat memahami cara menghitung besarnya medan listrik (E).
Agar mengetahui besar kuat medan listrik muatan Q, sebuah muatan uji positif (qo) yang muatannya jauh lebih kecil diletakkan di dekat muatan tersebut dengan jarak r. Berdasarkan hukum Coulomb, muatan qo tersebut akan mendapatkan gaya tolak dari muatan Q sebesar,
Sehingga dapat disimpulkan bahwa besar kuat medan listrik pada suatu titik yang berjarak r dari muatan Q adalah:
Keterangan:
E = medan listrik (N/C)
F = gaya coulomb (newton)
q = besar muatan listrik (coulomb)
Beda Potensial dan Energi listrik
Tahukah Sobat Pintar, mengapa petir berbahaya? Apa sebenarnya petir itu?
Orang yang pertama kali menyatakan bahwa petir terjadi akibat adanya gejala listrik statis adalah Benjamin Franklin (1706 – 1790). Menurutnya, petir adalah kilatan cahaya yang muncul akibat perpindahan muatan negatif (elektron) antara awan dan awan, atau antara awan dan bumi.
Petir dapat terjadi karena adanya perbedaan potensial yang sangat besar antara dua awan yang berbeda, atau antara awan dengan bumi, sehingga akan terjadi lompatan muatan listrik, atau perpindahan elektron secara besar-besaran dari awan ke bumi, atau dari awan ke awan lainnya.
Perpindahan muatan listrik (elektron) tersebut disebabkan oleh adanya perbedaan potensial listrik (beda potensial listrik). Besarnya beda potensial listrik dapat dihitung dengan membandingkan besar energi listrik yang diperlukan untuk memindahkan sejumlah muatan listrik. Secara matematis dituliskan sebagai berikut.

Kelistrikan pada Sel Saraf
Selain pada kabel, ternyata tubuh Sobat Pintar juga dialiri oleh arus listrik, khususnya pada syaraf yaitu dengan adanya impuls listrik.
Bidang yang khusus mempelajari tentang aliran impuls listrik pada tubuh manusia disebut biolistrik. Tegangan pada tubuh berbeda dengan yang kita bayangkan seperti listrik rumah tangga. Kelistrikan pada tubuh hanya berkaitan dengan komposisi ion yang terdapat dalam tubuh, bukan listrik yang mengalir seperti pada kabel listrik di rumah-rumah.
Setiap manusia memiliki sistem saraf yang dapat mengontrol gerak otot. Sistem saraf terdiri atas sel-sel saraf berfungsi untuk menerima, mengolah, dan mengirim rangsangan yang diterima panca indera. Rangsangan ini disebut impuls. Setiap sel saraf terdiri atas 3 bagian, yaitu badan sel saraf, dendrit, dan akson atau neurit.
Selain ketiga bagian tersebut, pada sel saraf juga terdapat bagian tambahan berupa selubung myelin. Myelin sebetulnya bukan bagian sel saraf, tetapi terdiri dari sel pembentuk myelin yang berfungsi menyelubungi akson. Berdasarkan keberadaan myelin, terdapat dua macam neuron, yaitu neuron yang berselubung myelin dan neuron yang tidak berselubung myelin.
Jadi sudah tahukah kamu, bagaimana cara sel saraf menghantarkan impuls listrik? Bagaimana keadaan sel saraf saat tidak menghantarkan listrik?
Muatan yang ada di luar dan di dalam sel saraf tidak dapat saling tarik menarik dengan sendirinya karena ada pemisah berupa membran sel saraf. Tarik menarik antar muatan akan terjadi jika ada rangsangan dari neurotransmitter.
Masih ingatkah Sobat Pintar apa itu neurotransmitter? Yuk diskusikan dengan di kolom komentar!
1.
Listrik adalah rangkaian fenomena fisika yang berhubungan dengan kehadiran dan aliran muatan listrik. Listrik menimbulkan berbagai macam efek yang telah umum diketahui, seperti petir, listrik statis, induksi elektromagnetik dan arus listrik. Dalam listrik, muatan menghasilkan medan elektromagnetik yang menghasilkan....ke muatan lainnya
A. Kerja
B. Usaha
C. Gaya
D. Aliran
JAWABAN BENAR
C.
Gaya
PEMBAHASAN
Medan listrik adalah tipe medan elektromagnetik sederhana yang dihasilkan oleh muatan listrik ketika diam (tidak ada arus listrik). Medan listrik menghasilkan gaya ke muatan lainnya.
2.
Benda yang tidak dapat mengalirkan listrik disebut....
A. konduktor
B. isolator
C. konektor
D. generator
JAWABAN BENAR
B.
isolator
PEMBAHASAN
Benda yang tidak dapat mengalirkan listrik disebut isolator.
Oops!!!
Yah, jawaban kamu meleset nih. Ingin melihat pembahasan soal ini?
BENAR!!!
Selamat!
Jawaban kamu benar. Ingin lihat pembahasan soal ini?
footer_v3
Bersama Aku Pintar temukan jurusan kuliah yang tepat
sesuai minat dan bakatmu.
Aku Pintar memiliki visi membuat pendidikan merata, mudah dijangkau, dan terjangkau dengan Program Journey Pintar yang merupakan sebuah program persiapan lengkap bagi siswa SMA/SMK/sederajat yang ingin masuk ke perguruan tinggi impiannya.
Kontak Kami
Grand Slipi Tower Lt. 42
Jl. S. Parman Kav 22-24
Jakarta Barat
© 2024 Aku Pintar. All Rights Reserved