Belajar Pintar Materi SMP, SMA, SMK
BelajarPintarV3
IPA
Listrik, Magnet, dan Sumber Energi Alternatif
MATERI
Listrik Statis

Pengertian Listrik Statis
Listrik statis adalah peristiwa berpindahnya muatan listrik dari satu benda ke benda yang lain tanpa memerlukan sumber listrik seperti stop kontak. Kita akan memahami mengapa fenomena ini terjadi dan apakah semua benda dapat memunculkan listrik statis.
Muatan Listrik: Positif dan Negatif
Semua benda terdiri dari atom, dan atom memiliki komponen subatomik seperti elektron, proton, dan neutron. Muatan listrik positif dimiliki oleh proton, sedangkan muatan negatif dimiliki oleh elektron. Ketika benda memiliki lebih banyak elektron daripada proton, itu akan memiliki muatan negatif, dan sebaliknya.
Interaksi Muatan Listrik
Ketika benda-benda bermuatan listrik mendekati satu sama lain, mereka akan berinteraksi melalui gaya tarik atau tolak, tergantung pada jenis muatan yang dimiliki oleh benda tersebut. Muatan sejenis akan saling tolak, sementara muatan berlawanan akan saling tarik.
Pengukuran Listrik Statis
Untuk mengukur listrik statis, kita dapat menggunakan alat sederhana yang disebut elektroskop. Elektroskop membantu kita menentukan apakah suatu benda bermuatan positif atau negatif setelah diberikan gangguan seperti digosokkan.

Gaya Listrik

Apa yang dimaksud dengan Gaya Listrik?
Gaya listrik adalah salah satu gaya dasar dalam fisika yang timbul akibat adanya muatan listrik pada benda-benda. Muatan listrik dapat berupa positif (+) atau negatif (-), dan gaya listrik dapat berupa tarik-menarik antara muatan-muatan yang berbeda atau tolak-menolak antara muatan-muatan yang sejenis.
Muatan Listrik
Setiap benda terbuat dari atom, dan atom-atom ini terdiri dari partikel-partikel bermuatan, yaitu:
- Elektron: Partikel bermuatan negatif (-).
- Proton: Partikel bermuatan positif (+).
- Neutron: Partikel yang netral, tidak bermuatan.
Bagaimana Gaya Listrik Terjadi?
Gaya listrik terjadi karena interaksi antara muatan listrik pada benda-benda. Berikut beberapa prinsip dasar:
- Benda bermuatan positif dan benda bermuatan negatif akan saling tarik menarik.
- Benda bermuatan positif dan benda bermuatan positif akan saling tolak menolak.
- Benda bermuatan negatif dan benda bermuatan negatif akan saling tolak menolak.

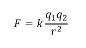
Gaya Coulomb
Gaya listrik dijelaskan dalam Hukum Coulomb, yang dirumuskan oleh Charles Augustin Coulomb:

Keterangan:
F = Gaya Coulomb antara dua muatan (Newton).
k = Konstanta Coulomb (9 x 109 Nm2/C2).
q1 dan q2 = Besar muatan listrik pertama dan kedua (Coulomb).
r = Jarak antara dua muatan (meter).
Rumusan ini menunjukkan bahwa gaya Coulomb berbanding terbalik dengan kuadrat jarak antara dua muatan. Semakin besar muatan dan semakin dekat jaraknya, semakin besar gaya listrik yang terjadi.
Gaya Listrik dalam Kehidupan Sehari-hari
Gaya listrik memiliki peran penting dalam banyak aspek kehidupan kita. Beberapa contohnya adalah:
- Listrik statis saat menyisir rambut atau menggosok benda-benda.
- Listrik dinamis yang mengalir melalui kabel untuk menyediakan energi listrik bagi perangkat elektronik.
- Medan listrik yang mempengaruhi aliran listrik dalam sirkuit.
Medan Listrik

- Pengenalan Medan Listrik
Apa itu Medan Listrik?
Medan listrik adalah konsep penting dalam ilmu fisika yang berkaitan dengan interaksi antara muatan listrik. Medan listrik adalah daerah sekitar sebuah muatan listrik yang memengaruhi muatan-muatan lain di sekitarnya. Kita bisa membayangkan medan listrik sebagai wilayah di sekitar muatan listrik yang memiliki pengaruh seperti gaya tarik-menarik.
Bagaimana Medan Listrik Bekerja?
Ketika kita berbicara tentang medan listrik, kita harus berbicara tentang dua muatan listrik yang berinteraksi. Muatan listrik dapat berupa positif atau negatif. Mari kita lihat bagaimana medan listrik bekerja dalam dua situasi berbeda:
Muatan Positif dan Muatan Negatif
Muatan positif adalah muatan listrik yang bermuatan positif. Muatan negatif adalah muatan listrik yang bermuatan negatif. Muatan positif akan menarik muatan negatif dan sebaliknya. Ini berarti, jika kita memiliki muatan positif dan muatan negatif di dekat satu sama lain, mereka akan saling tarik menarik.
Muatan Positif dan Muatan Positif, atau Muatan Negatif dan Muatan Negatif
Ketika dua muatan positif atau dua muatan negatif didekatkan satu sama lain, mereka akan saling tolak menolak. Ini karena muatan yang sejenis akan memiliki gaya tolak-menolak. Mari kita lihat gambar sederhana berikut untuk memahami konsep ini:

Dalam gambar ini, kita memiliki dua muatan listrik: satu muatan positif (ditandai dengan tanda plus [+]) dan satu muatan negatif (ditandai dengan tanda minus [-]). Garis-garis yang menghubungkan keduanya adalah medan listrik. Arah medan listrik keluar dari muatan positif dan menuju muatan negatif. Ini menunjukkan bahwa muatan positif akan ditarik ke arah muatan negatif oleh medan listrik.
- Kuat Medan Listrik (E)
Kuat medan listrik (E) adalah besarnya gaya listrik (F) yang bekerja pada muatan uji positif (q0) yang ditempatkan dalam medan listrik. Kuat medan listrik dapat dihitung dengan rumus:

Keterangan:
E adalah kuat medan listrik (dalam N/C, Newton per Coulomb).
F adalah gaya listrik yang bekerja pada muatan uji (dalam Newton).
q0 adalah besarnya muatan uji (dalam Coulomb).
Mengukur Kuat Medan Listrik
Untuk mengukur kuat medan listrik pada suatu titik dalam medan, kita dapat menggunakan muatan uji kecil (q0) yang kita letakkan pada titik tersebut dan mengukur gaya listrik (F) yang bekerja pada muatan uji tersebut. Kemudian, kita dapat menghitung kuat medan listrik (E) dengan rumus di atas.
Potensial Listrik

- Pengertian Potensial Listrik
Potensial listrik adalah konsep penting dalam ilmu fisika, terutama dalam kaitannya dengan listrik dan aliran listrik. Potensial listrik mengukur seberapa besar energi listrik yang dimiliki oleh sebuah muatan. Untuk memahami konsep ini, kita akan melihat rumus dasar:

Keterangan:
delta V adalah beda potensial listrik (dalam Volt).
W adalah energi listrik (dalam Joule).
Q adalah muatan listrik (dalam Coulomb).
Potensial listrik mengukur seberapa besar energi listrik yang dimiliki oleh sebuah muatan. Semakin besar beda potensial, semakin besar energi listriknya. Namun, bagaimana potensial listrik ini berhubungan dengan aliran listrik dalam tubuh manusia?
- Biolistrik dalam Tubuh Manusia
Ketika tangan Anda pernah merasakan kesetrum karena tidak sengaja menyentuh stop kontak, Anda merasakan aliran listrik yang bergerak melalui tubuh Anda. Namun, meskipun tubuh manusia pada dasarnya adalah isolator, bagian tertentu di dalamnya dapat menghantarkan listrik. Kumpulan jaringan saraf adalah salah satu contohnya.
Jaringan saraf menghasilkan impuls listrik kecil yang membawa informasi dari panca indera ke otak. Sistem saraf memungkinkan kita untuk merasakan, berpikir, dan bergerak.
- Neuron dan Beda Potensial
Saraf di dalam tubuh manusia terdiri dari neuron, sel-sel saraf yang memiliki bagian-bagian penting, seperti badan sel saraf, dendrit, dan akson. Selain itu, ada juga selubung myelin yang melapisi akson. Terdapat dua jenis neuron berdasarkan keberadaan myelin, yaitu neuron berselubung myelin dan yang tidak.


Neuron menghasilkan beda potensial yang memungkinkan transmisi impuls listrik. Sel saraf berselubung myelin dapat mengirimkan sinyal dengan lebih cepat daripada yang tidak berselubung.
Listrik Dinamis

Listrik Dinamis adalah salah satu aspek penting dalam ilmu pengetahuan dan teknologi. Ini berkaitan dengan aliran arus listrik yang bergerak, berbeda dengan listrik statis yang kita pelajari sebelumnya. Dalam listrik dinamis, elektron bergerak melalui penghantar listrik untuk mengalirkan energi listrik dari satu tempat ke tempat lain.
- Konduktor dan Isolator
Pertama-tama, mari kita pelajari perbedaan antara konduktor dan isolator dalam listrik dinamis.
Konduktor
Konduktor adalah bahan yang sangat baik dalam menghantarkan arus listrik. Beberapa contoh konduktor yang paling umum adalah tembaga, perak, dan emas. Mereka memungkinkan elektron untuk mengalir dengan mudah melalui mereka. Kabel listrik yang sering kita lihat pada tiang listrik terbuat dari konduktor seperti tembaga.
Isolator
Isolator adalah bahan yang sangat buruk dalam menghantarkan arus listrik. Dalam bahan isolator, elektron sulit untuk mengalir. Beberapa contoh bahan isolator termasuk karet, kayu, dan plastik. Bahan-bahan ini digunakan dalam berbagai aplikasi untuk menghentikan aliran listrik.
- Semikonduktor
Selain konduktor dan isolator, ada jenis bahan lain yang disebut semikonduktor. Bahan semikonduktor memiliki sifat khusus: jika suhu tinggi, mereka bertindak sebagai konduktor, tetapi pada suhu rendah, mereka bertindak sebagai isolator. Contoh bahan semikonduktor termasuk karbon, silikon, dan germanium. Bahan semikonduktor ini penting dalam elektronika modern, seperti transistor dan rangkaian terpadu.
- Hambatan Listrik
Hambatan listrik adalah resistansi yang dimiliki oleh sebuah bahan terhadap aliran arus listrik. Hambatan ini bergantung pada jenis bahan, panjang kawat, dan luas penampangnya. Rumus hambatan listrik (R) dapat dihitung dengan rumus berikut:

Keterangan:
R: Hambatan kawat (dalam ohm)
rho: Hambatan jenis kawat (dalam ohm meter)
L: Panjang kawat (dalam meter, m)
A: Luas penampang kawat (dalam meter persegi, m2)
Sobat Pintar, Jangan Lupa!
- Selalu berhati-hati dengan listrik dinamis, terutama saat berurusan dengan kabel dan sumber listrik.
- Hindari kontak langsung dengan kabel listrik yang terpasang, karena bisa berbahaya.
- Selalu pastikan Anda memahami konsep dasar listrik dinamis untuk penggunaan yang aman dan bijak.
Arus Listrik dan Sumber Arus Listrik

- Arus Listrik
Pengertian Arus Listrik
Arus listrik adalah aliran muatan listrik dalam suatu rangkaian. Ini berarti elektron bergerak dari satu tempat ke tempat lain, membentuk aliran arus listrik. Akan tetapi, penting untuk diingat bahwa arus listrik mengalir dari potensial tinggi ke potensial rendah.
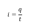
Besaran Arus Listrik
Besaran arus listrik diukur dalam satuan yang disebut Ampere (A). Simbolnya adalah "i" Arus listrik di dalam sebuah rangkaian dapat dihitung dengan rumus:

Di mana:
i = Arus listrik (Ampere)
q = Muatan listrik (Coulomb)
t = Waktu (detik)
- Sumber Arus Listrik
Pengertian Sumber Arus Listrik
Sumber arus listrik adalah perangkat atau alat yang menghasilkan energi listrik. Energi ini dapat digunakan untuk berbagai keperluan, seperti menerangi lampu, mengoperasikan alat elektronik, dan banyak lagi.
Jenis-jenis Sumber Arus Listrik
Terdapat dua jenis utama sumber arus listrik, yaitu:
- Sumber Arus Searah (DC): Sumber arus searah menghasilkan arus listrik yang selalu mengalir dalam satu arah. Baterai dan elemen volta adalah contoh sumber arus searah. Mereka umumnya digunakan dalam perangkat elektronik yang memerlukan tegangan konstan.
- Sumber Arus Bolak-balik (AC): Sumber arus bolak-balik menghasilkan arus listrik yang berubah arah secara berkala. Arus listrik di rumah kita adalah contoh arus bolak-balik. Ini digunakan untuk menyalakan perangkat seperti lampu dan peralatan rumah tangga.
Sumber Arus Primer dan Sekunder
Sumber arus listrik juga dapat dibedakan berdasarkan kemampuan untuk diisi ulang:
- Sumber Arus Primer: Sumber arus listrik yang tidak dapat diisi ulang ketika energinya habis. Contohnya adalah baterai kering.
- Sumber Arus Sekunder: Sumber arus listrik yang dapat diisi ulang ketika energinya habis. Contohnya adalah akumulator dan baterai Li-ion.
Rangkaian Listrik

- Rangkaian Listrik
Apa Itu Rangkaian Listrik?
Rangkaian listrik adalah jalur atau lintasan tertutup yang memungkinkan arus listrik mengalir. Arus listrik dapat digunakan untuk menggerakkan berbagai perangkat elektronik seperti lampu, televisi, dan lainnya. Untuk memahami bagaimana rangkaian listrik bekerja, mari kita lihat lebih dalam.
Rangkaian Seri dan Rangkaian Paralel
Ada dua jenis rangkaian listrik utama: seri dan paralel. Rangkaian seri adalah rangkaian di mana komponen-komponen (seperti lampu atau resistor) dihubungkan dalam satu jalur berurutan. Rangkaian paralel, di sisi lain, adalah rangkaian di mana komponen-komponen dihubungkan paralel atau cabang dari jalur utama. Mari lihat perbedaan utama di antara keduanya.
- Rangkaian Hambatan Listrik Seri

Seri: Arus Sama, Tegangan Berbeda
Pada rangkaian seri, arus listrik memiliki nilai yang sama pada setiap komponen dalam rangkaian. Namun, tegangan (voltase) berbeda di setiap komponen. Ini berarti jika salah satu komponen terputus, seluruh rangkaian akan terputus, dan lampu atau perangkat lainnya tidak akan menyala.
Menghitung Hambatan Total
Hambatan total (Rt) dalam rangkaian seri dihitung dengan menjumlahkan semua hambatan individu (R1, R2, R3, dll.) dalam rangkaian.
- Rangkaian Hambatan Listrik Paralel

Paralel: Tegangan Sama, Arus Berbeda
Pada rangkaian paralel, tegangan listrik memiliki nilai yang sama di setiap komponen dalam rangkaian. Namun, besar arus listrik dapat berbeda di setiap cabang. Jika salah satu cabang terputus, cabang lainnya masih akan berfungsi.
Menghitung Hambatan Total
Hambatan total (Rp) dalam rangkaian paralel dihitung dengan mengambil kebalikan dari jumlah kebalikan hambatan individu (1/R1 + 1/R2 + 1/R3 + ...).
Daya Listrik

Pengertian Daya Listrik
Daya listrik adalah besarnya energi listrik yang mengalir atau diserap dalam sebuah rangkaian atau sirkuit listrik setiap detik. Dalam istilah matematika, daya listrik dapat dihitung dengan rumus:

Keterangan:
P adalah daya listrik dalam satuan Watt (W).
E adalah energi listrik dalam satuan Joule (J).
t adalah waktu dalam satuan detik (s).
Jadi, daya listrik adalah seberapa cepat energi listrik digunakan atau diserap dalam suatu sistem.
Contoh Penerapan Daya Listrik
Mari kita lihat beberapa contoh penerapan konsep daya listrik dalam kehidupan sehari-hari:
- Daya Listrik dalam Peralatan Elektronik
Peralatan elektronik seperti televisi, komputer, dan lemari es memiliki rating daya yang menunjukkan berapa banyak daya listrik yang mereka gunakan. Ini membantu kita mengukur seberapa efisien suatu perangkat dalam penggunaan energi.
- Mobil Listrik
Mobil listrik menggunakan daya listrik dari baterai untuk menggerakkan mesinnya. Semakin besar daya listrik yang dihasilkan oleh baterai, semakin lama mobil dapat berjalan sebelum perlu diisi ulang.
- Lampu LED
Lampu LED lebih efisien dalam penggunaan daya listrik dibandingkan dengan lampu pijar konvensional. Hal ini membuatnya menjadi pilihan yang ramah lingkungan dan hemat energi.
Pentingnya Memahami Daya Listrik
Memahami konsep daya listrik penting karena:
- Efisiensi Energi: Dengan memahami daya listrik, kita dapat memilih perangkat yang lebih efisien dalam penggunaan energi, membantu menghemat listrik, dan mengurangi dampak lingkungan.
- Perencanaan Listrik: Saat merancang instalasi listrik di rumah atau tempat kerja, pengetahuan tentang daya listrik membantu kita menentukan kapasitas yang diperlukan untuk menyediakan energi yang cukup.
- Keamanan: Memahami daya listrik juga penting untuk menjaga keselamatan kita saat bekerja dengan peralatan listrik dan instalasi listrik.
1.
Kerjakan soal berikut ini dengan benar!
Benda yang tidak dapat mengalirkan listrik disebut....
A. konduktor
B. isolator
C. konektor
D. generator
JAWABAN BENAR
B.
isolator
PEMBAHASAN
Benda yang tidak dapat mengalirkan listrik disebut isolator.
2.
Kerjakan soal berikut ini dengan benar!
Arus listrik mengalir karena pada ujung-ujung rangkaian ada....
A. Beda potensial listrik
B. Tegangan listrik statis
C. Hambatan listrik
D. Arus listrik dinamis
JAWABAN BENAR
A.
Beda potensial listrik
PEMBAHASAN
Arus listrik mengalir karena pada ujung-ujung rangkaian ada perbedaan potensial listrik yang diberikan oleh baterai sebagai sumber tegangan seperti yang telah dijelaskan pada percobaan baterai buah.
3.
Kerjakan soal berikut ini dengan benar!
Arus listrik hanya dapat mengalir pada rangkaian listrik....
A. terbuka
B. tertutup
C. seri
D. seri dan paralel
JAWABAN BENAR
A.
PEMBAHASAN
Arus listrik hanya dapat mengalir pada rangkaian listrik tertutup.
4.
Kerjakan soal berikut ini dengan benar!
Air terjun dapat dimanfaatkan sebagai pembangkit listrik. Energi air terjun diubah menjadi energi listrik menggunakan....
A. dinamo
B. sel surya
C. generator
D. turbin
JAWABAN BENAR
D.
turbin
PEMBAHASAN
Air terjun dapat dimanfaatkan sebagai pembangkit listrik dengan menggunakan turbin.
Oops!!!
Yah, jawaban kamu meleset nih. Ingin melihat pembahasan soal ini?
BENAR!!!
Selamat!
Jawaban kamu benar. Ingin lihat pembahasan soal ini?
footer_v3
Bersama Aku Pintar temukan jurusan kuliah yang tepat
sesuai minat dan bakatmu.
Aku Pintar memiliki visi membuat pendidikan merata, mudah dijangkau, dan terjangkau dengan Program Journey Pintar yang merupakan sebuah program persiapan lengkap bagi siswa SMA/SMK/sederajat yang ingin masuk ke perguruan tinggi impiannya.
Kontak Kami
Grand Slipi Tower Lt. 42
Jl. S. Parman Kav 22-24
Jakarta Barat
© 2024 Aku Pintar. All Rights Reserved