Belajar Pintar Materi SMP, SMA, SMK
BelajarPintarV3
Matematika
Bilangan Berpangkat dan Bentuk Akar
MATERI
Memahami Konsep Bilangan Berpangkat

Apasih yang diketahui tentang bilangan berpangkat? Yuk, Sobat Pintar perhatikan penjelasan dibawah ini.

Gambar Karton, gunting, dan kertas
Perhatikan gambar diatas !
1. Ambil kertas tersebut, lalu lipat menjadi dua bagian sama besar ( yaitu pada sumbu simetri ).
2. Gunting kertas pada sumbu simetri lipatannya.
3. Tumpuklah hasil guntingan kertas sehingga tepat menutupi satu dengan yang lain.
4. Kemudian lipat menjadi dua bagian sama besar ( yaitu pada sumbu simetri ).
5. Gunting kertas pada sumbu simetri lipatannya.
6. Tumpuklah hasil guntingan kertas sehingga tepat menutupi satu dengan yang lain.
7. Lakukan kegiatan tersebut sampai beberapa kali.
Dari Kegiatan diatas, diperoleh bahwa banyak kertas hasil pengguntingan ke-2 adalah 2 kali lipat dari banyak kertas hasil pengguntingan ke-1. Banyak kertas hasil pengguntingan ke-3 adalah 2 kali lipat dari banyak kertas hasil pengguntingan ke-2 dan seterusnya. Jika kamu melakukan pengguntingan kertas sebanyak n kali maka banyak kertas hasil pengguntingan adalah

Bentuk di atas merupakan perkalian berulang bilangan 2 yang disebut dengan perpangkatan 2. Secara umum, perkalian berulang dari suatu bilangan x disebut dengan perpangkatan x.
Contoh :
a. Nyatakan perkalian berikut dalam perpangkatan (-2) x (-2) x (-2)!
Karena (-2) dikalikan berulang sebanyak tiga kali maka (-2) x (-2) x (-2) merupakan perpangkatan dengan basis (-2) dan pangkat 3.
Jadi, (-2) x (-2) x (-2) = (-2)3
b. Nyatakan perpangkatan (-0,3)2 dan (0,3)2 dalam bentuk bilangan biasa.
Pembahasan :
(-0,3)2 = (-0,3) x (-0,3)
= 0,09
(0,3)2 = (0,3) x (0,3)
= 0,09
Perkalian pada Bilangan Berpangkat

Nah, Sobat Pintar. Tadi kita sudah selesai membahas konsep bilangan berpangkat, sekarang waktunya mengetahui lebih lanjut tentang mengalikan dan membagi dua bentuk perpangkatan.
1. Mengalikan Dua Perpangkatan dengan Basis yang Sama
Mengalikan dua perpangkatan dengan basis yang sama adalah dengan menambahkan pangkat dari kedua bilangan. Hasil operasi perkalian pada perpangkatan selanjutnya ditulis dalam perpangkatan. Atau dapat ditulis sebagai berikut
am x an = am+n
Untuk lebih memahami Sobat Pintar dapat melihat tabel dibawah ini!

Contoh :
43 x 42 = 43+2 Jumlahkan pangkatnya
= 45 Sederhanakan
2. Memangkatkan Suatu Perpangkatan
Memangkatkan satu perpangkatan adalah dengan mengalikan pangkat dari kedua bilangan. Secara umum bentuk am(n) dapat diubah menjadi
am(n) = an(m) = amxn
Untuk lebih memahami Sobat Pintar dapat melihat tabel dibawah ini!

Contoh :
(43)2 = 43x2 Kalikan pangkatnya
= 46 Sederhanakan
3. Memangkatkan Suatu Perkalian Bilangan
Memangkatkan suatu perkalian bilangan adalah dengan memangkatkan masing-masing bilangan, kemudian mengalikannya dengan hasil tersebut.
Secara umum bentuk (a x b)m dapat diubah menjadi
(a x b)m = am x bm
Untuk lebih memahami Sobat Pintar dapat melihat tabel dibawah ini!

Contoh :
4y2 = 4y x 4y
= (4 x 4) x (y x y)
= 16 x y2
=16y2
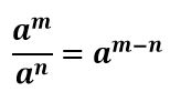
Pembagian pada Bilangan Berpangkat

1. Pembagian bilangan berpangkat
Pembagian bilangan berpangkat dengan basis yang sama dapat dilakukan dengan mengurangi pangkat pada setiap bilangannya.
Secara umum bentuk
dapat diubah menjadi 
Untuk lebih memahami Sobat Pintar dapat melihat tabel dibawah ini!

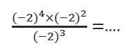
Contoh :

1.
Kerjakan soal berikut dengan tepat!
Nilai dari (-8)3 adalah ....
A. 512
B. -24
C. -512
D. 24
JAWABAN BENAR
C.
-512
PEMBAHASAN
Bilangan pokok pada soal ini ialah (-8), sementara eksponennya ialah 3. Maka dari itu, yang perlu kamu lakukan ialah mengalikan (-8) sebanyak 3 kali, sebagai berikut:
(-8)3 = (-8) x (-8) x (-8)
= 64 x (-8)
= - 512
2.
Kerjakan soal berikut dengan tepat!
Nilai dari 4-1 adalah ....
A. -4
B. 4
C. -¼
D. ¼
JAWABAN BENAR
D.
¼
PEMBAHASAN

3.
Kerjakan soal berikut dengan tepat!
Nilai dari (11)3 adalah ....
A. -3113
B. -1331
C. 1331
D. 3113
JAWABAN BENAR
C.
1331
PEMBAHASAN
(11)3 = (11) x (11) x (11)
= 1331
4.
Kerjakan soal berikut dengan tepat!
Nilai dari (-0,5)2 adalah ....
A. -0,25
B. -0,15
C. 0,15
D. 0,25
JAWABAN BENAR
D.
0,25
PEMBAHASAN
(-0,5)2 = (-0,5) x (-0,5)
= 0,25
5.
Kerjakan soal berikut dengan tepat!
Hasil dari 49 x 4-5 adalah ….
A. 36
B. 76
C. 156
D. 256
JAWABAN BENAR
D.
256
PEMBAHASAN
49 x 4-5 = 49-5
= 44
= 256
6.
Kerjakan soal berikut dengan tepat!

A. 8
B. 0
C. 4
D. -8
JAWABAN BENAR
D.
-8
PEMBAHASAN

7.
Kerjakan soal berikut dengan tepat!
Hasil dari -57 x 5-5 adalah ….
A. -252
B. -152
C. -52
D. 52
JAWABAN BENAR
C.
-52
PEMBAHASAN
-57 x 5-5 = -57-5
= -52
8.
Kerjakan soal berikut dengan tepat!
Hasil dari 55/53 adalah ….
A. -252
B. -152
C. -52
D. 52
JAWABAN BENAR
D.
52
PEMBAHASAN
55/53 = 55-3
= 52
Oops!!!
Yah, jawaban kamu meleset nih. Ingin melihat pembahasan soal ini?
BENAR!!!
Selamat!
Jawaban kamu benar. Ingin lihat pembahasan soal ini?
footer_v3
Bersama Aku Pintar temukan jurusan kuliah yang tepat
sesuai minat dan bakatmu.
Aku Pintar memiliki visi membuat pendidikan merata, mudah dijangkau, dan terjangkau dengan Program Journey Pintar yang merupakan sebuah program persiapan lengkap bagi siswa SMA/SMK/sederajat yang ingin masuk ke perguruan tinggi impiannya.
Kontak Kami
Grand Slipi Tower Lt. 42
Jl. S. Parman Kav 22-24
Jakarta Barat
© 2024 Aku Pintar. All Rights Reserved