Belajar Pintar Materi SMP, SMA, SMK
BelajarPintarV3
Matematika
Bilangan Berpangkat dan Bentuk Akar
MATERI
Pangkat Bilangan Pecahan

1. Pangkat Bilangan Pecahan
Bilangan pangkat merupakan suatu bilangan yang didapatkan dari operasi perkalian terhadap suatu bilangan beberapa kali. Sedangkan bilangan pecahan merupakan suatu bilangan yang ditampilkan dalam bentuk x/y dimana :
1. x disebut pembilang,
2. y disebut penyebut,
3. x dan y merupakan bilangan bulat dan y tidak sama dengan 0.
1.
Kerjakan soal berikut dengan tepat!
Hasil dari 84/3 adalah ....
A. 8
B. 64
C. 16
D. 32
JAWABAN BENAR
C.
16
PEMBAHASAN
84/3 = (23)4/3
= 23 x 4/3
= 24
= 16
2.
Kerjakan soal berikut dengan tepat!
Hasil dari
adalah ….
A. 2
B. 4
C. 6
D. 8
JAWABAN BENAR
B.
4
PEMBAHASAN

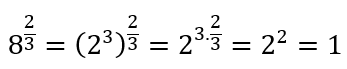
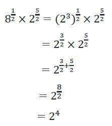
3.
Kerjakan soal berikut dengan tepat!
Hasil dari
adalah ....
A. 84
B. 83
C. 24
D. 23
JAWABAN BENAR
C.
24
PEMBAHASAN

4.
Kerjakan soal berikut dengan tepat!

A. 48
B. 72
C. 108
D. 216
JAWABAN BENAR
D.
216
PEMBAHASAN

Oops!!!
Yah, jawaban kamu meleset nih. Ingin melihat pembahasan soal ini?
BENAR!!!
Selamat!
Jawaban kamu benar. Ingin lihat pembahasan soal ini?
footer_v3
Bersama Aku Pintar temukan jurusan kuliah yang tepat
sesuai minat dan bakatmu.
Aku Pintar memiliki visi membuat pendidikan merata, mudah dijangkau, dan terjangkau dengan Program Journey Pintar yang merupakan sebuah program persiapan lengkap bagi siswa SMA/SMK/sederajat yang ingin masuk ke perguruan tinggi impiannya.
Kontak Kami
Grand Slipi Tower Lt. 42
Jl. S. Parman Kav 22-24
Jakarta Barat
© 2024 Aku Pintar. All Rights Reserved