Belajar Pintar Materi SMP, SMA, SMK
BelajarPintarV3
Matematika IPA
Fungsi, Persamaan, dan Pertidaksamaan Eksponen dan Logaritma
MATERI
Sifat-sifat Fungsi Eksponen
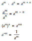
Untuk menentukan penyelesaian persamaan eksponen, sebaiknya sobat pintar mengingat kembali sifat-sifat fungsi yang telah dipelajari di Kelas X. Jika
m dan n bilangan rasional, maka sifat-sifat fungsi eksponen adalah sebagai berikut.


utuk lebih jelasnya, yuk sobat pintar simak soal berikut ini
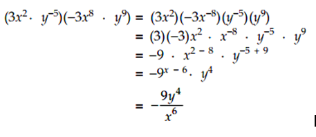
sederhanakan fungsi eksponen berikut


bagaimana sobat pintar, mudah kan?
Persamaan Eksponen
Persamaan eksponen adalah persamaan yang eksponen dan bilangan pokoknya memuat variabel. Simaklah contoh-contoh berikut ini.
merupakan persamaan eksponen yang eksponennya memuat variabel x
merupakan persamaan eksponen yang eksponen dan bilangan pokoknya memuat variabel y
merupakan persamaan eksponen yang eksponennya memuat variabel
Ada beberapa bentuk persamaan eksponen ini, di antaranya:




Pertidaksamaan Eksponen
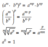
Sebelumnya, sobat pintar telah mengetahui sifat-sifat fungsi eksponen, yaitu sebagai berikut.
Sifat-sifat ini berguna untuk menyelesaikan pertidaksamaan eksponen.
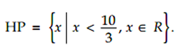
1. Tentukan himpunan penyelesaian 
A.
B.
C.
D.
E.
JAWABAN BENAR
A.
PEMBAHASAN

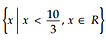
Jadi, himpunan penyelesaiannya adalah 
Oops!!!
Yah, jawaban kamu meleset nih. Ingin melihat pembahasan soal ini?
BENAR!!!
Selamat!
Jawaban kamu benar. Ingin lihat pembahasan soal ini?
footer_v3
Bersama Aku Pintar temukan jurusan kuliah yang tepat
sesuai minat dan bakatmu.
Aku Pintar memiliki visi membuat pendidikan merata, mudah dijangkau, dan terjangkau dengan Program Journey Pintar yang merupakan sebuah program persiapan lengkap bagi siswa SMA/SMK/sederajat yang ingin masuk ke perguruan tinggi impiannya.
Kontak Kami
Grand Slipi Tower Lt. 42
Jl. S. Parman Kav 22-24
Jakarta Barat
© 2024 Aku Pintar. All Rights Reserved





