Belajar Pintar Materi SMP, SMA, SMK
BelajarPintarV3
Matematika IPA
Matriks mat
Daftar Materi
MATERI
Determinan
Suatu matriks persegi selalu dapat dikaitkan dengan suatu bilangan yang disebut determinan. Determinan dari matriks persegi A dinotasikan dengan |A|.
Untuk matriks A berordo 2 x 2, determinan matriks A didefinisikan sebagai berikut.
maka Determinan |A| adalah:
|A| = ad - bc
Adapun untuk matriks B berordo 3x3, determinan matriks B ini didefinisikan sebagai berikut menggunakan kaidah Sarrus.
Jika
maka determinan matriks B adalah

Invers Matriks
Setelah sobat pintar paham akan determinan, yu kita lanjutkan ke Invers matriks. Matriks persegi A mempunyai invers, jika ada matriks B sedemikian hingga
dengan I matriks identitas. Pada persamaan
disebut saling invers. Berikut ini adalah syarat suatu matriks A mempunyai invers.
- Jika A = 0, maka matriks A tidak mempunyai invers. Oleh karena itu, dikatakan matriks A sebagai matriks singular.
- Jika
maka matriks A mempunyai invers. Oleh karena itu, dikatakan matriks A sebagai matriks nonsingular.
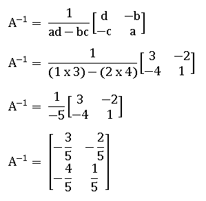
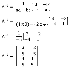
Untuk matriks
berordo 2 x 2 ini, kita dapat menentukan inversnya sebagai berikut.

Untuk menentukan invers suatu matriks dengan ordo 3 x 3, sobat pintar harus memahami tentang matriks minor, kofaktor, dan adjoint.
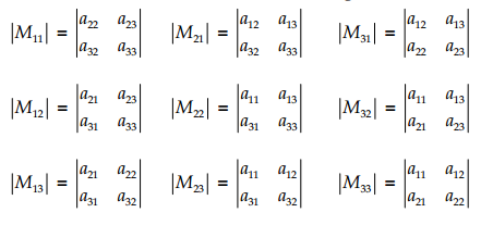
a. Matriks Minor
Matriks minor
diperoleh dengan cara menghilangkan elemenelemen pada baris ke-i dan kolom ke-j matriks A berordo 3 x 3, sehingga didapat matriks baru dengan ordo 2 x 2. Determinan dari matriks tersebut disebut minor dari determinan matriks A, ditulis dengan
.

Minor-minor dari matriks A adalah sebagai berikut.

b. Kofaktor
Kofaktor dari baris ke-i dan kolom ke-j dituliskan dengan
Untuk menentukannya ditentukan dengan rumus

Kofaktor-kofaktor dari matriks A adalah sebagai berikut.

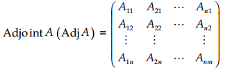
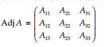
c. Adjoint
Misalkan suatu matriks A berordo n u n dengan
kofaktor dari matriks A, maka

Untuk matriks A berordo 3 x 3, maka

Untuk menentukan determinan dari matriks berordo 3 x 3, selain dengan kaidah Sarrus, dapat juga digunakan matriks minor dan kofaktor.

Determinan matriks A (det A) dapat ditentukan menggunakan rumus:

Bagaimana sobat pintar, apakah sobat pintar pham?
1.
Diketahui dua buah matriks:

Jika AX = B, tentukan matriks X
A.

B.

C.

D.

E.

JAWABAN BENAR
A.
PEMBAHASAN
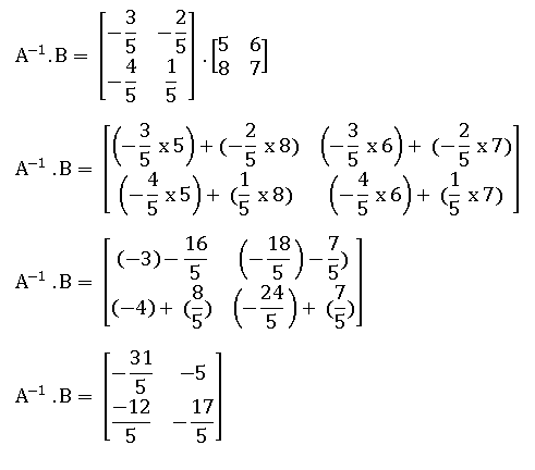
Terlebih dahulu tentukan invers matrik A:

Menentukan matriks X
X = A-1 . B

2.
Diketahui sebuah matriks:

Tentukan invers matriks A
A.

B.

C.

D.

E.

JAWABAN BENAR
A.
PEMBAHASAN
Oops!!!
Yah, jawaban kamu meleset nih. Ingin melihat pembahasan soal ini?
BENAR!!!
Selamat!
Jawaban kamu benar. Ingin lihat pembahasan soal ini?
footer_v3
Bersama Aku Pintar temukan jurusan kuliah yang tepat
sesuai minat dan bakatmu.
Aku Pintar memiliki visi membuat pendidikan merata, mudah dijangkau, dan terjangkau dengan Program Journey Pintar yang merupakan sebuah program persiapan lengkap bagi siswa SMA/SMK/sederajat yang ingin masuk ke perguruan tinggi impiannya.
Kontak Kami
Grand Slipi Tower Lt. 42
Jl. S. Parman Kav 22-24
Jakarta Barat
© 2024 Aku Pintar. All Rights Reserved