Belajar Pintar Materi SMP, SMA, SMK
BelajarPintarV3
Matematika IPA
Statistika
MATERI
Desil
Sobat pintar, pada materi ini kali ini merupakan kelanjutan dari kuartil.
Kalau desil berfungsi membagi data menjadi sepuluh bagian yang sama besar. Setiap n data terurut dibagi menjadi 10 bagian, sehingga terdapat 9 nilai desil. Ilustrasi pembagian n data terurut menjadi 10 bagian sama banyak dan letak nilai desilnya dapat dilihat pada gambar di bawah.

1. Desil untuk data tunggal
Berikut rumus untuk mencari nilai desil data tunggal :

Keterangan :
Di adalah desil ke-i
n adalah banyaknya data
2. Desil untuk data berkelompok
Berikut rumus untuk mencari nilai desil data berkelompok :

Keterangan :
Di adalah desil ke-i
Tb adalah tepi bawah kelas desil
p adalah panjang kelas
n adalah banyaknya data
F adalah frekuensi kumulatif sebelum kelas desil
f adalah frekuensi kelas desil
Contoh :
1. Desil data tunggal
Tentukan desil ke-8 dari data : 6, 3, 8, 9, 5, 9, 9, 7, 5, 7, 4, 5, 8, 3, 7, 6.
Jawab:
n = 16
data terurut = 3, 3, 4, 5, 5, 5, 6, 6, 7, 7, 7, 8, 8, 9, 9, 9.
letak D8 = 8(16+1) / 10 = 13,6
D8 = X13 + 0,6 (X14 – X13)
=8 +0,6(9-8)
= 86
2. Desil data berkelompok
Tentukan nilai D6 dari data berikut :

Persentil
Persentil diambil dari kata persen, per seratus. Sehingga, persentil merupakan pembagian n data terurut menjadi 100 bagian sama banyak. Dari 100 bagian yang dibagi sama banyak tersebut, dibatasi oleh 99 nilai persentil. Perhatikan ilustrasi pembagian data dan letak nilai persentil seperti gambar di bawah.

1. Persentil data tunggal
Berikut rumus untuk menentukan nilai persentil data tunggal

keterangan :
Pi adalah persentil ke-i
n adalah banyaknya data
2. Persentil data berkelompok
Berikut rumus untuk menentukan persentil data berkelompok

keterangan :
Pi adalah persentil ke-i
Tb adalah tepi bawah kelas persentil
p adalah panjang kelas
n adalah banyak data
Fk adalah frekuensi kumulatif sebelum kelas persentil
f adalah frekuensi kelas persentil
Contoh :
1. Persentil data tunggal
Tentukan persentil ke-65 dari data : 6, 5, 8, 7, 9, 4, 5, 8, 4, 7, 8, 5, 8, 4, 5.
Jawab :
n = 15
data terurut : 4, 4, 4, 5, 5, 5, 5, 6, 7, 7, 8, 8, 8, 8, 9.
letak P65 = 65(15+1) / 100 = 10,4
P65 = X100 + 0,4 (X11-X10)
= 7 + 0,4 (8-7)
= 7,4
Maka, nilai persentil ke-65 yaitu 7,4.
2. Persentil data berkelompok
Tentukan Persentil-30 dari data berikut

1.
Perhatikan tabel distribusi frekuensi berikut!

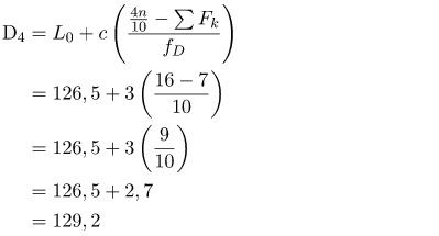
D4 dari data di atas adalah ....
A. 127,2
B. 127,4
C. 129,2
D. 129,7
E. 129,8
JAWABAN BENAR
C.
129,2
PEMBAHASAN
Lengkapi tabel di atas dengan menambahkan kolom frekuensi kumulatif sebagai berikut

Kelas desil ke-4 atau D4 terletak di kelas yang memuat datum ke- 4n/10 = (4 x 10) / 10 = 16, yaitu pada kelas dengan rentang 127 - 129.
Tepi bawah kelas desil ke-4 adalah : Lo = 127 - 0,5 = 126,5
Lebarnya kelas c = 5
frekuensi kumulatif sebelum kelas desil ke-4 Fk = 7
frekuensi kelas desil ke-4, f = 10
untuk itu diperoleh

Jadi desil ke-4 dari data tersebut adalah 129,2
Jawaban : C
2.
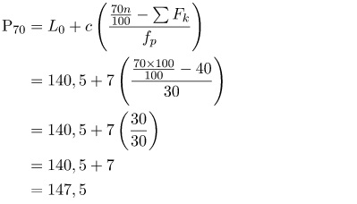
Upah dari sejumlah karyawan disajikan dalam tabel distribusi frekuensi di bawah ini.

Nilai persentil ke-70 data tersebut adalah ....
A. Rp. 1.270.000,-
B. Rp. 1.340.000,-
C. Rp. 1.405.000,-
D. Rp. 1.475.000,-
E. Rp. 1.625.000,-
JAWABAN BENAR
D.
Rp. 1.475.000,-
PEMBAHASAN
perhatikan tabel berikut :

Kelas persentil ke-70 terletak di kelas yang memuat datum ke 70/100 x n = 700/100 x 100 = 70, yaitu pada kelas dengan rentang 141 - 147
Tepi bawah kelas persentil ke-70, Lo = 141 - 0,5 = 140,5
Lebar kelas c = 7
Frekuensi kumulatif sebelum kelas persentil ke-70, Fk = 40
Frekuensi kelas persentil ke-70, f = 30
untuk itu diperoleh

jadi persentil ke-70 dari data tersebut adalah Rp. 1.475.000,-
Jawaban : D
Oops!!!
Yah, jawaban kamu meleset nih. Ingin melihat pembahasan soal ini?
BENAR!!!
Selamat!
Jawaban kamu benar. Ingin lihat pembahasan soal ini?
footer_v3
Bersama Aku Pintar temukan jurusan kuliah yang tepat
sesuai minat dan bakatmu.
Aku Pintar memiliki visi membuat pendidikan merata, mudah dijangkau, dan terjangkau dengan Program Journey Pintar yang merupakan sebuah program persiapan lengkap bagi siswa SMA/SMK/sederajat yang ingin masuk ke perguruan tinggi impiannya.
Kontak Kami
Grand Slipi Tower Lt. 42
Jl. S. Parman Kav 22-24
Jakarta Barat
© 2024 Aku Pintar. All Rights Reserved