Belajar Pintar Materi SMP, SMA, SMK
BelajarPintarV3
Matematika IPA
Statistika
MATERI
Quartil
Seperti yang sudah dibahas sebelumnya sobat pintar, bahwa median membagi data yang telah diurutkan menjadi dua bagian yang sama banyak. Adapun kuartil adalah membagi data yang telah diurutkan menjadi empat bagian yang sama banyak.

Keterangan :
Xmin = data terkecil
Xmax = data terbesar
Q1 = kuartil ke - 1
Q2 = kuartil ke - 2
Q3 = kuartil ke - 3
1. Kuartil data tunggal
Urutkan data dari yang kecil ke yang besar, kemudian tentukan kuartil dengan rumus sebagai berikut:

Contoh:
Tentukan Q1, Q2, dan Q3 dari data : 3, 4, 7, 8, 7, 4, 8, 4, 6, 9, 10, 8, 3, 7, 12.
Jawab:
Langkah 1:
urutkan data dari kecil ke besar sehingga diperoleh 3, 3, 4, 4, 4, 6, 7, 7, 7, 8, 8, 8, 9, 10, 12.
Langkah 2:
Letak data Q1 = 1(15+1)/4 = 4
Jadi Q1 terletak pada data ke-empat yaitu 4
Langkah 3:
Letak data Q2 = 2(15+1)/4 = 8
Jadi Q2 terletak pada data ke-delapan yaitu 7
Langkah 4:
Letak data Q1 = 3(15+1) / 4 = 12
Jadi Q3 terletak pada data ke-duabelas yaitu 8
2. Kuartil data kelompok
Nilai kuartil dirumuskan sebagai berikut:

Keterangan:
Qi = kuartil ke-i (1, 2, atau 3)
L = tepi bawah kelas kuartil ke-i
n = banyaknya data
F = frekuensi kumulatif kelas sebelum kelas kuartil
c = lebar kelas
f = frekuensi kelas kuartil
1.
Nilai kuartil atas dari data pada tabel berikut adalah ....

A. 71,5
B. 72,0
C. 73,5
D. 75,5
E. 76,5
JAWABAN BENAR
D.
75,5
PEMBAHASAN
Lengkapi tabel di atas dengan kolom frekuensi kumulatif (Fk)

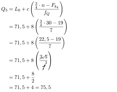
Kelas kuartil atas berada pada data urutan ke 3/4 x 30 = 22,5 ~ 23, yaitu pada kelas dengan interval 72 - 79
Diketahui :
L0 = 72 - 0,5 = 71,5
c = 79 - 72 + 1 = 8
n = 30
Fk = 19
fQ = 7
Dengan demikian, diperoleh

Jawaban : D
2.
Nilai kuartil atas dari data pada tabel berikut adalah ....

A. 69,50
B. 70,00
C. 70,50
D. 70,75
E. 71,75
JAWABAN BENAR
D.
70,75
PEMBAHASAN
Lengkapi tabel di atas dengan kolom frekuensi kumulatif (Fk)

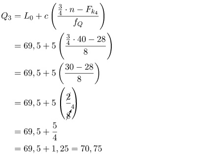
Kelas kuartil atas berada pada data urutan ke : 3/4 x 40 = 30, yaitu pada kelas dengan interval 70 - 74.
Diketahui :
L0 = 70 - 0,5 = 69,5
c = 74 - 70 + 1 = 5
n = 40
Fk = 28
fQ = 8
Dengan demikian, diperoleh

Jawaban : D
Oops!!!
Yah, jawaban kamu meleset nih. Ingin melihat pembahasan soal ini?
BENAR!!!
Selamat!
Jawaban kamu benar. Ingin lihat pembahasan soal ini?
footer_v3
Bersama Aku Pintar temukan jurusan kuliah yang tepat
sesuai minat dan bakatmu.
Aku Pintar memiliki visi membuat pendidikan merata, mudah dijangkau, dan terjangkau dengan Program Journey Pintar yang merupakan sebuah program persiapan lengkap bagi siswa SMA/SMK/sederajat yang ingin masuk ke perguruan tinggi impiannya.
Kontak Kami
Grand Slipi Tower Lt. 42
Jl. S. Parman Kav 22-24
Jakarta Barat
© 2024 Aku Pintar. All Rights Reserved