Belajar Pintar Materi SMP, SMA, SMK
BelajarPintarV3
Matematika
Trigonometri
Daftar Materi
MATERI
Aturan perbandingan
Hubungan perbandingan sudut (lancip) dengan panjang sisi-sisi suatu segitiga siku-siku dinyatakan dalam definisi berikut.

1. Sinus C didefinisikan sebagai perbandingan panjang sisi di depan sudut dengan sisi miring segitiga, ditulis

2. Cosinus C didefinisikan sebagai perbandingan panjang sisi di samping sudut dengan sisi miring segitiga

3. Tangen C didefinisikan sebagai perbandingan panjang sisi di depan sudut dengan sisi di samping sudut, ditulis

4. Cosecan C didefinisikan sebagai perbandingan panjang sisi miring segitiga dengan sisi di depan sudut, ditulis
atau 
5. Secan C didefinisikan sebagai perbandingan panjang sisi miring segitiga dengan sisi di samping sudut, ditulis
atau 
6. Cotangen C didefinisikan sebagai perbandingan sisi di samping sudut dengan sisi di depan sudut, ditulis
atau 
Sudut Istimewa
Pada saat mempelajari teori trigonometri, secara tidak langsung kamu harus menggunakan beberapa teori geometri. Dalam geometri, khususnya dalam kajian konstruksi sudah tidak asing lagi dengan penggunaan besar sudut
Pada subbab ini, sobat pintar akan menyelidiki dan menghitung nilai perbandingan trigonometri untuk ukuran sudut 
berikut adalah Nilai perbandingan trigonometri untuk sudut-sudut istimewa


jadi, sobat pintar perlu untuk memahami sudut sudut istimewa ini, atau bahkan sobat pintar perlu untuk menghafalnya
1. 
A. 5k
B. 25k
C. 15k
D. 7k
E. 9k
JAWABAN BENAR
A.
5k
PEMBAHASAN


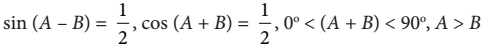
2. Diketahui
. Tentukan nilai sudut A dan B
A. A =
B = 
B. A =
B = 
C. A =
B = 
D. A =
B = 
E. A =
B = 
JAWABAN BENAR
A.
A =
B =
PEMBAHASAN
Oops!!!
Yah, jawaban kamu meleset nih. Ingin melihat pembahasan soal ini?
BENAR!!!
Selamat!
Jawaban kamu benar. Ingin lihat pembahasan soal ini?
footer_v3
Bersama Aku Pintar temukan jurusan kuliah yang tepat
sesuai minat dan bakatmu.
Aku Pintar memiliki visi membuat pendidikan merata, mudah dijangkau, dan terjangkau dengan Program Journey Pintar yang merupakan sebuah program persiapan lengkap bagi siswa SMA/SMK/sederajat yang ingin masuk ke perguruan tinggi impiannya.
Kontak Kami
Grand Slipi Tower Lt. 42
Jl. S. Parman Kav 22-24
Jakarta Barat
© 2024 Aku Pintar. All Rights Reserved