Belajar Pintar Materi SMP, SMA, SMK
BelajarPintarV3
Matematika Minat
Fungsi Eksponen dan Logaritma
MATERI
Konsep Logaritma


Sobat udah pada tau dong, kalau gempa itu adalah gelombang atau getaran yang merambat dan aktivitasnya bisa direkam pakai seismograf?
Tapi, kamu tau nggak sih gimana caranya seseorang menentukan intensitas gempa?
Jadi, intensitas gempa itu bisa diukur dengan skala ritcher. Skala ini menggunakan prinsip dari logaritma dengan basis 10.

Nah, pas banget nih kan, setelah membahas mengenai berbagai macam bentuk eksponen, kita akan belajar tentang kebalikan dari eksponen (perpangkatan), yaitu logaritma.
Kenapa bisa disebut kebalikannya?
Karena kalau eksponen kita harus mencari hasil dari bilangan yang dipangkatkan, sedangkan pada logaritma kita harus mencari besar pangkatnya.
Yuk kita pelajari bersama materi logaritma!
Logaritma merupakan suatu operasi yang berkebalikan dengan eksponen (perpangkatan). Logaritma dapat didefinisikan sebagai berikut:

Catatan:
- b disebut bilangan pokok
- Jika bilangan pokoknya bernilai 10, biasanya tidak ditulis, misal 10log y = log y
- Jika bilangan pokoknya e (bilangan euler, e = 2,718281828...), maka bentuk logaritmanya ditulis dengan ln (dibaca: lon, merupakan logaritma natural), misal elog y = ln y
Sifat-Sifat Logaritma

Oleh karena bentuk logaritma masih berhubungan dengan pangkat, maka sifat-sifat logaritma dapat diturunkan dari sifat bilangan berpangkat, yaitu:
PERKALIAN LOGARITMA

PEMBAGIAN LOGARITMA

LOGARITMA DENGAN PANGKAT

Sifat perpangkatan logaritma dapat diturunkan menjadi beberapa sifat berikut:

MENGUBAH BASIS LOGARITMA

Berdasarkan sifat di atas, dapat diturunkan sifat berikut:

PERPANGKATAN LOGARITMA

Persamaan Logaritma

Sebelum ke pembahasan persamaan logaritma, make sure sobat harus sudah paham konsep awal logaritma ya!
Yuk langsung aja kita mulai pembahasan persamaan logaritma!
Persamaan logaritma yaitu persamaan yang memuat bentuk logaritma dengan basis atau numerus, atau keduanya memuat variabel. Bentuknya sama seperti bentuk umum logaritma, tapi pada persamaan logaritma, bentuk logaritmanya ada dua di ruas kiri dan kanan lalu dihubungkan menggunakan tanda sama dengan.
Nggak jauh beda dari materi eksponen, persamaan logaritma juga punya beberapa bentuk yang bikin Sobat pintar lebih gampang untuk mengidentifikasi nilai peubahnya.
Nah, ini nih sobat bentuk-bentuk persamaan logaritma

Gambar di atas ini bisa kalian tulis di buku catatan ya! Yuk lanjut materi selanjutnya
Pertidaksamaan Logaritma

Seperti biasa ya, Sobat, kalau ada persamaan pasti ada pertidaksamaan. Nah, sekarang akan kita bahas pertidaksamaan logaritma

Jangan lupa untuk paham dan hafal tentang sifat-sifat logaritma ya!
Secara khusus, pertidaksamaan logaritma memiliki sifat tersendiri dengan adanya syarat tertentu yang memenuhi. Sifat pertidaksamaan logaritma antara lain:


Nah! Itu semua materi dari pertidaksamaan logaritma Sobat Pintar!
Sekarang kita tes pemahamanmu di latihan fungsi logaritma yuk!
1.
Jawablah soal berikut!
Hasil dari 3log 27 +3log 9 - 3log 3 adalah ....
A. 1
B. 2
C. 3
D. 4
E. 5
JAWABAN BENAR
D.
4
PEMBAHASAN

2.
Jawablah soal berikut!

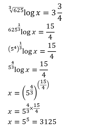
A. 3125
B. 625
C. 125
D. 25
E. 5
JAWABAN BENAR
A.
3125
PEMBAHASAN

3.
Jawablah soal berikut!
Jika 5log 3 =a dan 3log 2 =b, maka 12log 75 sama dengan ....
A.

B.

C.

D.

E.

JAWABAN BENAR
D.
PEMBAHASAN

4.
Jawablah soal berikut ini dengan benar!
![]()
A. 3
B. 9
C. 16
D. 36
E. 64
JAWABAN BENAR
B.
9
PEMBAHASAN

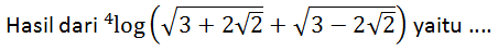
5.
Jawablah soal berikut!

A. 1/4
B. 1/3
C. 1/2
D. 2/3
E. 3/4
JAWABAN BENAR
E.
3/4
PEMBAHASAN

6.
Jawablah soal berikut ini!
Jika log (9x+4)1/2 - log 81x-5 = 0 , maka nilai x yang memenuhi persamaan itu adalah ....
A. 14
B. 10
C. 8
D. 4
E. 2
JAWABAN BENAR
C.
8
PEMBAHASAN

7.
Jawablah soal berikut ini dengan tepat!
Penyelesaian pertidaksamaan 2log (x+1) < 3 adalah ....
A. -1 < x < 7
B. 1 < x < 7
C. 1 < x < -7
D. -1 < x < -7
E. -1 < x < 8
JAWABAN BENAR
A.
-1 < x < 7
PEMBAHASAN

Oops!!!
Yah, jawaban kamu meleset nih. Ingin melihat pembahasan soal ini?
BENAR!!!
Selamat!
Jawaban kamu benar. Ingin lihat pembahasan soal ini?
footer_v3
Bersama Aku Pintar temukan jurusan kuliah yang tepat
sesuai minat dan bakatmu.
Aku Pintar memiliki visi membuat pendidikan merata, mudah dijangkau, dan terjangkau dengan Program Journey Pintar yang merupakan sebuah program persiapan lengkap bagi siswa SMA/SMK/sederajat yang ingin masuk ke perguruan tinggi impiannya.
Kontak Kami
Grand Slipi Tower Lt. 42
Jl. S. Parman Kav 22-24
Jakarta Barat
© 2024 Aku Pintar. All Rights Reserved