Belajar Pintar Materi SMP, SMA, SMK
BelajarPintarV3
Matematika Minat
Vektor
MATERI
Konsep Vektor


Sebagai anak muda jaman sekarang, Sobat Pintar pasti familiar dengan gambar di atas, bukan?
Betul sekali! GPS pasti sering kita gunakan untuk mencari alamat rumah ya, Sobat.
Tahukah kalian bahwa GPS merupakan salah satu aplikasi dari materi matematika?
Yap! GPS memanfaatkan konsep vektor dalam menentukan sebuah lokasi.

Selain itu, vektor juga pernah kalian pelajari dalam materi fisika, bukan?
Nah! Vektor sendiri merupakan salah satu besaran yang ada di fisika selain besaran skalar.
Jika besaran skalar hanya memiliki nilai saja, vektor merupakan besaran yang memiliki nilai dan arah. Contoh dari besaran skalar adalah panjang, luas, volume, suhu, dll. Sedangkan contoh dari vektor yaitu kecepatan, percepatan, medan magnetik, dan lain sebagainya.
Vektor adalah ruas garis berarah yang memiliki besaran (nilai) dan arah tertentu. Secara geometris, suatu vektor dapat digambarkan sebagai ruas garis berarah dengan panjang ruas garis menyatakan besar vektor dan arah ruas garis menyatakan arah vektor.
Perhatikan contoh vektor berikut:

Seperti pada contoh vektor di atas, sebuah vektor dapat dinotasikan dengan beberapa ketentuan, diantaranya:

JENIS - JENIS VEKTOR
- Vektor nol : vektor yang besarnya nol satuan dan arahnya tak tentu
- Vektor posisi : posisi sebuah titik terhadap titik acuan tertentu yang dinyatakan dengan vektor posisi
- Vektor Basis : vektor yang panjangnya satu satuan dan arahnya searah sumbu koordinat
- Vektor Satuan : suatu vektor yang panjangnya satu satuan.
Secara aljabar, vektor dapat dinyatakan menjadi beberapa cara, yaitu :

Keterangan:
- Komponen x pada cektor kolom dan baris akan bernilai positif jika arah vektor ke kanan serta bernilai negatif jika arah vektor ke kiri. Sedangkan komponen y akan bernilai positif jika arah vektor ke atas dan bernilai negatif jika arah vektor ke bawah.
- Pada vektor basis, i : vektor satuan yang searah sumbu-x (absis), j : vektor satuan yang searah sumbu-y (ordinat), dan k : vektor satuan yang searah sumbu-z (aplikat). Sedangkan ax : komponen arah sumbu-x, ay : komponen arah sumbu-y, dan az : komponen arah sumbu z.
KESAMAAN DUA VEKTOR
Dua vektor dikatakan sama apabila memiliki panjang dan arah vektornya sama.
Misalkan diketahui vektor v dan u sebagai berikut:

Maka dapat disimpulkan bahwa u = v
Jika diketahui m merupakan vektor dari A ke B, sedangkan n merupakan vektor dari B ke A, maka:

Dapat disimpulkan bahwa m tidak sama dengan n.
Sifat Operasi Vektor

SIFAT-SIFAT OPERASI VEKTOR
- Komutatif, yaitu : a + b = b + a
- Asosiatif, yaitu : a + (b + c) = (a + b) + c
- Distributif, yaitu : k(a + b) = ka + kb
- Memiliki elemen identitas, yaitu : a + 0 = 0 + a = a
- Memiliki elemen invers, yaitu : a + (-a) = (-a) + a = 0
Bagaimana Sobat? Mudah sekali, bukan? Lanjut yuk!
Panjang Vektor (Modulus Vektor)

Panjang vektor dapat ditentukan menjadi 2 macam, yaitu panjang vektor dari dua titik dan panjang vektor dari sebuah titik terhadap vektor o.
Sebelum itu, sobat pintar perlu tahu nih bahwa vektor terbagi menjadi 2 macam bergantung koordinat dari vektornya, antara lain:
- vektor pada bidang (2 dimensi)
- vektor pada ruang (3 dimensi)
VEKTOR PADA BIDANG
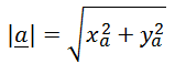
Vektor yang terletak pada bidang datar memiliki sumbu x dan sumbu y saja. Sehingga jika vektor a dituliskan dalam koordinat cartesius, yaitu (xa, ya).
Jika diketahui A(xa, ya), maka panjang vektor OA atau a, yaitu :

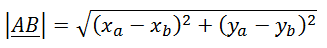
Jika diketahui A(xa, ya) dan B(xb, yb), maka panjang AB, yaitu :

VEKTOR PADA RUANG
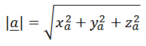
Vektor yang terletak pada bidang datar memiliki sumbu x, sumbu y, dan sumbu z. Sehingga jika vektor a dituliskan dalam koordinat cartesius, yaitu (xa, ya,za).
Jika diketahui A(xa, ya,za), maka panjang vektor OA atau a, yaitu :

Jika diketahui A(xa, ya, za) dan B(xb, yb, zb), maka panjang AB, yaitu :

Sudut Antar Vektor

Kita dapat mencari sudut yang dibentuk oleh dua vektor dengan menggunakan rumus berikut.

Sekarang kita tes pemahamanmu pada bagian latihan yuk!
1.
Perhatikan gambar vektor-vektor berikut!

Diketahui empat vektor di atas, pernyataan berikut yang benar adalah ....
A.

B.

C.

D.

E.

JAWABAN BENAR
D.
PEMBAHASAN
Berdasarkan gambar, terlihat bahwa vektor a dan vektor c memiliki arah dan kemiringan yang berbeda sehingga kedua vektor tidak sama. Selain itu, terlihat juga bahwa kemiringan dari vektor b dan vektor d sama serta panjang kedua vektor juga sama, karena sejajar, namun memiliki arah yang terbalik. Oleh karena itu, dapat disimpulkan bahwa

2.
Kerjakan soal berikut dengan tepat!

A.

B.

C.

D.

E.

JAWABAN BENAR
A.
PEMBAHASAN

3.
Kerjakan soal berikut dengan tepat!
Jika s = (3 -7), maka 2s adalah ....
A. (6 -7)
B. (6 7)
C. (6 -14)
D. (6 14)
E. (12 -14)
JAWABAN BENAR
C.
(6 -14)
PEMBAHASAN
s = (3 -7)
2s = 2(3 -7)
2s = (2.3 2.(-7))
2s = (6 -14)
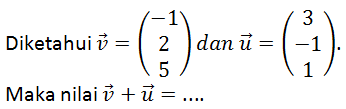
4.
Kerjakan soal berikut dengan tepat!
Diketahui A = (-3, 4) dan B = (5, -2). Panjang vektor AB adalah ....
A. 100
B. 64
C. 36
D. 14
E. 10
JAWABAN BENAR
E.
10
PEMBAHASAN

5.
Kerjakan soal berikut dengan tepat!
Jika u = (2 5 -4), maka panjang u yaitu ....
A.

B.

C.

D.

E.

JAWABAN BENAR
B.
PEMBAHASAN

6.
Kerjakan soal berikut ini dengan benar!

A.

B.

C.

D.

E.

JAWABAN BENAR
A.

PEMBAHASAN

7.
Kerjakan soal berikut ini dengan benar!

A. 30o
B. 45o
C. 60o
D. 90o
E. 120o
JAWABAN BENAR
D.
90o
PEMBAHASAN

Oops!!!
Yah, jawaban kamu meleset nih. Ingin melihat pembahasan soal ini?
BENAR!!!
Selamat!
Jawaban kamu benar. Ingin lihat pembahasan soal ini?
footer_v3
Bersama Aku Pintar temukan jurusan kuliah yang tepat
sesuai minat dan bakatmu.
Aku Pintar memiliki visi membuat pendidikan merata, mudah dijangkau, dan terjangkau dengan Program Journey Pintar yang merupakan sebuah program persiapan lengkap bagi siswa SMA/SMK/sederajat yang ingin masuk ke perguruan tinggi impiannya.
Kontak Kami
Grand Slipi Tower Lt. 42
Jl. S. Parman Kav 22-24
Jakarta Barat
© 2024 Aku Pintar. All Rights Reserved