Belajar Pintar Materi SMP, SMA, SMK
BelajarPintarV3
Fisika
Energi Terbarukan
MATERI
Bentuk-bentuk Energi

Mari besama-sama mengulas bentuk-bentuk energi
- Energi Kinetik
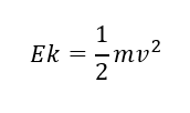
Energi yang dimiliki oleh benda bergerak lurus disebut energi kinetik. Secara matematis, dinyatakan dengan persamaan:

dengan
EK = energi kinetik (J)
m = massa benda (kg)
v = kecepatan benda (m/s)
Untuk menentukan energi kinetik dari suatu benda, Sobat memerlukan informasi massa benda dan kecepatan benda.
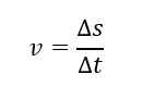
Kecepatan benda dinyatakan dengan persamaan:

dengan
delta s = perpindahan benda (m)
delta t = selang waktu (s)
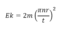
Pada kasus kincir air, tabung bambu yang berada pada ujung-ujung kincir bergerak pada lintasan lingkaran. Jarak yang ditempuh tabung bambu saat berputar adalah sebagai berikut:

substitusikan ke rumus kecepatan benda

Persamaan energi kinetik untuk kincir air yang berotasi adalah sebagai berikut:

dengan
EK = energi kinetik kincir yang berotasi (J)
m = massa kincir air (kg)
n = banyaknya putaran
r = jari-jari roda kincir (m)
t = waktu yang dibutuhkan untuk menempuh satu putaran (s)
- Energi Potensial Gravitasi
Di bawah pengaruh gaya gravitasi Bumi, benda akan memiliki energi yang tersimpan. Energi tersebut biasanya disebut dengan istilah Energi Potensial Gravitasi:
EP = mgh
dengan
EP = energi potensial gravitasi (J)
m = massa benda (kg)
g = percepatan gravitasi (10m/s2)
h = posisi benda pada ketinggian tertentu (m)
- Kalor
Ketika terjadi perubahan suhu pada benda, terdapat energi yang diserap atau dilepaskan oleh benda, yaitu kalor. Secara matematis kalor dinyatakan dengan persamaan berikut ini:

dengan
Q = kalor (J)
c = kalor jenis (J/kg.K)
m = massa benda (kg)
delta T = perubahasan suhu (K)
- Energi Listrik
Muatan listrik Q memiliki medan listrik, kemudian muatan listrik lainnya q dipindahkan dari satu tempat ke tempat yang lain dalam pengaruh medan listrik Q, maka muatan listrik q memiliki energi. Secara matematis dinyatakan dengan persamaan:
W = V I t
pada persamaan tersebut, berlaku Hukum Ohm
V = I R
dengan
W = energi listrik (J)
V = beda potensial atau tegangan listrik (volt)
I = kuat arus listrik (A)
R = hambatan listrik (ohm)
t = selang waktu (s)
1.
Kerjakan soal berikut ini dengan tepat!
Berikut ini contoh sumber energi tak terbarukan, kecuali ....
A. gas alam
B. batu bara
C. minyak bumi
D. ombak laut
E. solar
JAWABAN BENAR
D.
ombak laut
PEMBAHASAN
Energi tak terbarukan merupakan energi yang diperoleh dari sumber daya alam yang waktu pembentukannya sampai jutaan tahun. Hal ini karena, disamping waktu terbentuknya yang sangat lama, cara terbentuknya lingkungan tempat terkumpulkan bahan dasar sumber energi inipun tergantung dari proses dan keadaan geologi saat itu. Contoh dari energi tak terbarukan diantaranya gas alam, batu bara dan minyak bumi. Solar merupakan hasil olahan dari minyak bumi.
2.
Kerjakan soal berikut ini dengan tepat!
Manfaat dari penggunaan sumber energi terbarukan diantaranya, kecuali ...
A. ramah lingkungan
B. tersedia jumlah banyak
C. langka diperoleh
D. bebas polusi
E. Mudah dikembangkan
JAWABAN BENAR
A.
ramah lingkungan
PEMBAHASAN
Energi terbarukan memiliki manfaat yang baik yaitu bersifat ramah lingkungan. Hal ini karena energi terbarukan berasal langsung dari tenaga yang dihasilkan oleh proses alam, contohnya energi yang dihasilkan oleh sinar matahari proses penggelolaannya tidak akan mengeluarkan polusi. Selain itu, manfaat energi terbarukan diantaranya yakni membantu mengurangi ketergantungan dalam menggunakan bahan bakar fosil, tersedianya dalam jumlah banyak, mudah dikembangkan.
3.
Kerjakan soal berikut ini dengan tepat!
Perhatikan beberapa sumber energi berikut ini !
- Air terjun
- Angin
- Sinar matahari
- Batu bara
- Minyak bumi
Manakah yang terasuk sumber energi energi alternatif?
A. 1,2 dan 3
B. 1,2 dan 4
C. 1,3 dan 5
D. 1,2,3 dan 4
E. 1,2,3 dan 5
JAWABAN BENAR
B.
1,2 dan 4
PEMBAHASAN
Sumber energi alternatif merupakan sumber energi yang bisa diperbarui sehingga dalam penggunaannya dapat dengan cepat dan mudah didapatkan. Sumber energi ini adalah air terjun, angin, dan sinar matahari.
4.
Kerjakan soal berikut ini dengan tepat!
Apakah keuntungan daru sumber energi alternatif ?
A. prosesnya tidak berkelanjutan
B. ketersediaan nya terbatas
C. sudah dimanfaatkan secara maksimal
D. tidak mengakibatkan pencemaran lingkungan
E. tidak dapat diperbarui
JAWABAN BENAR
D.
tidak mengakibatkan pencemaran lingkungan
PEMBAHASAN
Salah satu keuntungan dari energi alternatif adalah tidak mengakibatkan pencemaran lingkungan. Misalnya pemanfaatan energi angin yang digunakan untuk PLTA
5.
Kerjakan soal berikut ini dengan tepat!
Sumber energi terbarukan berupa bahan bakar yang dihasilkan dari bahan-bahan organik merupakan jenis....
A. biofuel
B. biomassa
C. biodiesel
D. pasang surut
E. tenaga surya
JAWABAN BENAR
A.
biofuel
PEMBAHASAN
Biofuel atau bahan bakar hayati adalah sumber energi terbarukan berupa bahan bakar (baik padat, cair, dan gas) yang dihasilkan dari bahan-bahan organik.
Oops!!!
Yah, jawaban kamu meleset nih. Ingin melihat pembahasan soal ini?
BENAR!!!
Selamat!
Jawaban kamu benar. Ingin lihat pembahasan soal ini?
footer_v3
Bersama Aku Pintar temukan jurusan kuliah yang tepat
sesuai minat dan bakatmu.
Aku Pintar memiliki visi membuat pendidikan merata, mudah dijangkau, dan terjangkau dengan Program Journey Pintar yang merupakan sebuah program persiapan lengkap bagi siswa SMA/SMK/sederajat yang ingin masuk ke perguruan tinggi impiannya.
Kontak Kami
Grand Slipi Tower Lt. 42
Jl. S. Parman Kav 22-24
Jakarta Barat
© 2024 Aku Pintar. All Rights Reserved