Belajar Pintar Materi SMP, SMA, SMK
BelajarPintarV3
Fisika
Energi Terbarukan
MATERI
Pengertian Usaha dan Energi

Dalam fisika, usaha merupakan proses perubahan Energi dan usaha ini selalu dihubungkan dengan gaya (F) yang menyebabkan perpindahan (s) suatu benda. Dengan kata lain, bila ada gaya yang menyebabkan perpindahan suatu benda, maka dapat dikatakan gaya tersebut melakukan usaha terhadap benda.
Sedangkan energi dihubungkan dengan gerak, yaitu kemampuan untuk melakukan kerja mekanik. Energi di alam adalah besaran yang kekal, dengan sifat-sifat sebagai berikut:
- Transformasi energi: energi dapat diubah menjadi energi bentuk lain, tidak dapat hilang misal energi pembakaran berubah menjadi energi penggerak mesin
- Transfer energi: energi dapat dipindahkan dari suatu benda kebenda lain atau dari sistem ke sistem lain, misal kita memasak air, energi dari api pindah ke air menjadi energi panas, energi panas atau kalor dipindah lagi ke uap menjadi energi uap
- Kerja: energi dapat dipindah ke sistem lain melalui gaya yang menyebabkan pergeseran, yaitu kerja mekanik
- Energi tidak dapat dibentuk dari nol dan tidak dapat dimusnahkan
Debit Air

Kincir air memiliki hubungan yang erat dengan konsep usaha dan energi.
Debit air merupakan jumlah volume air yang melewati suatu titik atau penampang dalam satuan waktu tertentu. Dalam konteks kincir air, debit air sangat penting karena kincir air memanfaatkan aliran air untuk menghasilkan energi mekanik.
Secara matematis dinyatakan:

dengan
Q = debit air (m3/s)
V = volume air (m3)
t = waktu (s)
Torsi

Aliran air dengan debit tertentu menyediakan gaya dorong yang dibutuhkan untuk memutar kincir air. Gaya dorong aliran air tersebut tegak lurus dengan kincir airnya. Gaya tersebut menyebabkan kincir air tersebut berputar disebut torsi. Secara matematis, torsi oleh gaya dorong aliran air sungai tersebut dinyatakan dengan persamaan berikut:

dengan
Torsi (N.m)
F = gaya dorong yang diberikan oleh aliran air (N)
r = jarak ujung kincir air terhadap poros kincir (m)
Gaya tersebut yang diberikan aliran air menyalurkan energi pada kincir tersebut. Oleh karena itu, Kalian dapat menyebutkan bahwa gaya dorong aliran air tersebut melakukan usaha.
Usaha

Melakukan usaha artinya cara memindahkan atau menyalurkan energi. Usaha dan energi memiliki satuan yang sama. Dalam SI satuannya adalah Joule (J).
Secara matematis, usaha yang dikerjakan oleh gaya dorong aliran air tersebut dinyatakan dengan persamaan:

dengan
W = usaha yang dikerjakan oleh gaya (J)
F = gaya (N)
delta s = perpindahan (m)
Daya

Seberapa lama waktu yang digunakan untuk melakukan usaha dinyatakan dengan besaran daya. Secara matematis, daya dinyatakan dengan persamaan matematis berikut ini:

dengan
P = daya (Watt)
W = usaha (Joule)
t = waktu (s)
Dalam kehidupan sehari-hari, energi tidak selalu dinyatakan dalam satuan SI, Joule. Satuan energi, kaitannya dengan daya, biasa dinyatakan dalam kilowatt.jam (kWh).
1 kWh = 1.000 W x 60 menit
1 kWh = 1.000 W x 3.600 s
1 kWh = 3,6 x 106 W.s
1 kWh = 3,6 x 106 J
1.
Kerjakan soal berikut dengan tepat!
Pernyataan berikut yang merupakan definisi yang benar tentang energi adalah...
A. Kemampuan suatu objek untuk melakukan pekerjaan.
B. Jumlah gerakan yang dimiliki oleh suatu objek.
C. Ukuran dari suatu gaya yang bekerja pada suatu objek.
D. Kecepatan suatu objek dalam melakukan perpindahan.
E. Massa suatu objek dikalikan dengan percepatan yang diberikan padanya.
JAWABAN BENAR
A.
Kemampuan suatu objek untuk melakukan pekerjaan.
PEMBAHASAN
Jawaban yang benar adalah A. Kemampuan suatu objek untuk melakukan pekerjaan. Energi didefinisikan sebagai kemampuan suatu objek untuk melakukan pekerjaan.
Pilihan B mengacu pada gerak, pilihan c mengacu pada gaya, pilihan d mengacu pada kecepatan, dan pilihan e mengacu pada hukum kedua Newton.
2.
Kerjakan soal berikut dengan tepat!
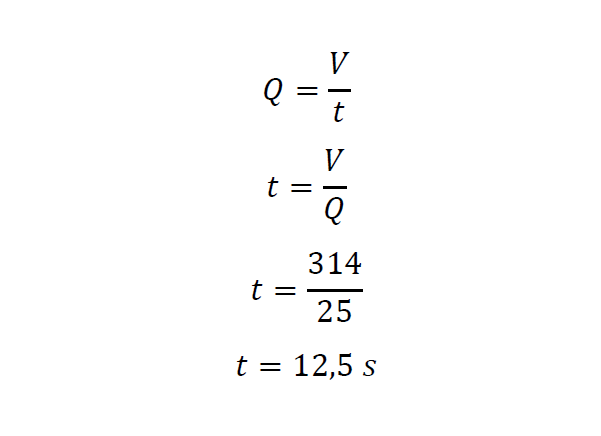
Astrid mengisi wadah dengan debit air sebesar 25 cm3/detik. sedangkan volume wadah yang diisi air adalah 314 cm3. Hitunglah berapa waktu yang diperlukan Astrid untuk mengisi penuh wadah tersebut!
A. 10 detik
B. 12,5 detik
C. 15 detik
D. 17,5 detik
E. 20 detik
JAWABAN BENAR
B.
12,5 detik
PEMBAHASAN
Untuk menghitung waktu yang diperlukan, kita hanya perlu membagi volume wadah dengan debit airnya.

Sehingga, waktu yang diperlukan untuk mengisi wadah sebesar 314cm3 dengan debit air 25cm3/detik adalah 12,5 detik.
3.
Kerjakan soal berikut dengan tepat!
Sebuah batang AB mempunyai panjang 10 meter dengan porosnya berada di titik B dan diberikan gaya 20 N dengan sudut membentuk siku-siku. Besar torsi yang dialami batang AB adalah…
A. 50 Nm
B. 100 Nm
C. 150 Nm
D. 200 Nm
E. 250 Nm
JAWABAN BENAR
D.
200 Nm
PEMBAHASAN
Dikarenakan membentuk sudut siku-siku, maka α = 90 derajat. Dengan begitu, maka besar torsinya yaitu:

4.
Kerjakan soal berikut ini dengan tepat!
Diantara sumber energi berikut yang dipertimbangkan sebagai energi tak terbarukan adalah energi …
A. Bahan bakar fosil
B. Panas bumi
C. Pasang surut
D. Angin
E. Sinar matahari
JAWABAN BENAR
A.
Bahan bakar fosil
PEMBAHASAN
Energi tak terbarukan adalah energi yang asalnya dari sumber-sumber yang terbatas jumlahnya di Bumi prosesnya tidak berkelanjutan sehingga pada saatnya sumber energi ini akan habis. Energi tak terbarukan antara lain energi fosil (minyak bumi, gas alam, dan batu bara).
5.
Kerjakan soal berikut ini dengan tepat!
Sumber energi yang memiliki kelebihan tidak mencemari lingkungan adalah …
A. Sumber energi tak terbarukan
B. Sumber energi terbarukan
C. Sumber daya alam
D. Sumber daya manusia
E. Sumber energi listrik
JAWABAN BENAR
B.
Sumber energi terbarukan
PEMBAHASAN
Sumber energi terbarukan adalah sumber energi yang bisa diperbarui sehingga dalam penggunaannya dapat dengan cepat dan mudah didapatkan. Sumber energi terbarukan ini ketersediannya tidak terbatas dan dapat dimanfaatkan secara terus-menerus. Sumber energi ini memiliki kelebihan tidak mencemari lingkungan.
Oops!!!
Yah, jawaban kamu meleset nih. Ingin melihat pembahasan soal ini?
BENAR!!!
Selamat!
Jawaban kamu benar. Ingin lihat pembahasan soal ini?
footer_v3
Bersama Aku Pintar temukan jurusan kuliah yang tepat
sesuai minat dan bakatmu.
Aku Pintar memiliki visi membuat pendidikan merata, mudah dijangkau, dan terjangkau dengan Program Journey Pintar yang merupakan sebuah program persiapan lengkap bagi siswa SMA/SMK/sederajat yang ingin masuk ke perguruan tinggi impiannya.
Kontak Kami
Grand Slipi Tower Lt. 42
Jl. S. Parman Kav 22-24
Jakarta Barat
© 2024 Aku Pintar. All Rights Reserved