Belajar Pintar Materi SMP, SMA, SMK
BelajarPintarV3
Matematika Minat
Lingkaran
MATERI
Bentuk Persamaan Lingkaran


Sobat Pintar masih ingat atau tidak, apa sih pengertian dari lingkaran itu?
Lingkaran adalah tempat kedudukan titik-titik yang berjarak sama dengan satu titik tertentu. Yang dimaksud titik tertentu adalah titik pusat, sedangkan jarak yang sama adalah jari-jari lingkaran.
Sama halnya dengan gelombang sinus yang memiliki persamaan, lingkaran juga memiliki persamaan.
Bagaimana persamaannya?
Persamaan lingkaran dapat ditentukan jika diketahui titik pusat dan jari-jari lingkarannya.
LINGKARAN DENGAN PUSAT DI TITIK O(0,0)

Perhatikan gambar di atas!
Lingkaran L berpusat di O(0, 0) dan berjari-jari r.
Misal titik P(x, y) adalah sebarang titik yang terletak pada lingkaran L, panjang ruas garis OP akan sama dengan jari-jari
Dapat dibentuk segitiga POQ siku-siku di Q, berdasarkan teorema pythagoras diperoleh:
OQ2 + PQ2 = OP2
Dari sini didapatkan persamaan lingkaran yang berpusat di titik O(0,0) dan berjari-jari r:

LINGKARAN DENGAN PUSAT DI TITIK M(a,b)

Perhatikan gambar di atas!
Lingkaran L berpusat di titik M(a, b) dengan jari-jari r.
Misal titik P(x, y) adalah sembarang titik yang terletak pada lingkaran L, maka
MP = r
MQ = x – a
PQ = y – b
Dengan informasi di atas dan segitiga PMQ, kita bisa menggunakan teorema pythagoras dan mendapatkan persamaan lingkaran yang berpusat di titik M(a, b) dan berjari-jari r
MQ2 + PQ2 = MP2

BENTUK UMUM PERSAMAAN LINGKARAN
Bentuk umum persamaan lingkaran yang berpusat di titik M(a,b) dengan jari-jari r dapat dicari dengan cara berikut:

Jadi, bentuk umum dari persamaan lingkaran, yaitu:

RUMUS PENTING
Jarak dua titik
Misalkan diketahui titik A(xa,ya) dan titik B(xb, yb), maka jarak titik AB, yaitu:

Jarak titik dengan garis
Misalkan diketahui titik C(xc, yc) dan garis Ax + By + C = 0, maka jarak titik C ke garis tersebut, yaitu:

Persamaan Garis Singgung Lingkaran
Jadi, panjang dari rantai yang dibutuhkan untuk menghubungkan engsel sepeda dengan roda belakang sepeda dapat kita cari dengan menggunakan rumus-rumus pada materi kali ini.
Langsung simak pembahasannya ya!
Sebelumnya, Sobat Pintar sudah mencari tahu kedudukan garis terhadap lingkaran, salah satunya adalah garis yang menyinggung lingkaran. Jika dalam mencari kedudukan garis terhadap lingkaran akan diketahui persamaan garisnya, pada materi kali ini kita akan mencari persamaan dari garis yang menyinggung lingkaran.
Garis singgung sendiri adalah garis yang memotong lingkaran hanya di satu titik. Dalam mencari persamaan garis singgung lingkaran, kita dapat menentukannya dengan cara-cara berikut:
PERSAMAAN GARIS SINGGUNG JIKA DIKETAHUI TITIK PADA LINGKARAN
Titik pada lingkaran dapat juga disebut dengan titik potong antara garis dengan lingkaran. Untuk menentukan persamaan garis singgung jika diketahui titik P(x1,y1) pada lingkaran dapat dicari bergantung persamaan lingkarannya, yaitu:

PERSAMAAN GARIS SINGGUNG JIKA DIKETAHUI GRADIENNYA
Persamaan garis singgung lingkaran jika diketahui gradiennya dapat ditentukan dengan rumus berikut:

PERSAMAAN GARIS SINGGUNG JIKA DIKETAHUI TITIK DI LUAR LINGKARAN
Terdapat 3 cara untuk menentukan persamaan garis singgung jika diketahui titik di luar lingkaran, tiga cara tersebut antara lain:
- Menggunakan diskriminan
- Lakukan pemisalan persamaan garis dengan gradien m dan melalui titik A(x1, y1)
y – y1 = m (x – x1)
y = mx – mx1 + y1 - Substitusi persamaan garis tersebut ke persamaan lingkaran sehingga diperoleh persamaan kuadrat dengan variabel x
- Karena garis menyinggung lingkaran, artinya diskriminan dari persamaan kuadrat tadi harus bernilai nol atau D = 0
- Cari nilai m, dan kembalikan nilai m ke persamaan garis singgung pada langkah awal
- Menggunakan rumus persamaan garis singgung dengan gradien diketahui
- Lakukan pemisalan persamaan garis dengan gradien m dan melalui titik A(x1, y1)
y – y1 = m (x – x1)
y = mx – mx1 + y1 - Lakukan pemisalan persamaan garis singgung lingkaran dengan gradien m

- Samakan kedua garis singgung untuk mendapat nilai m
- Kembalikan nilai m ke pemisalan awal
- Menggunakan bantuan persamaan garis kutub
- Cari persamaan garis kutub titik A(x1, y1) dengan rumus

- Substitusi persamaan garis ke kutub ke persamaan lingkaran untuk mendapatkan titik potong garis kutub dan lingkaran
- Dari titik potong yang sudah didapatkan sobat pintar bisa menggunakan rumus garis singgung dengan titik pada lingkaran
Ketiga cara ini akan lebih mudah dipahami jika sobat pintar perhatikan contoh soal berikut:
Tentukan persamaan garis singgung pada lingkaran x2 + y2 = 25 yang melalui titik (–1, 7) di luar lingkaran!
Cara 1:

Cara 2:

Cara 3:

1.
Kerjakan soal berikut ini dengan tepat!
Sebuah lingkaran memiliki persamaan x2+y2=16, jari-jari lingkaran tersebut adalah ....
A. 1
B. 2
C. 4
D. 6
E. 16
JAWABAN BENAR
C.
4
PEMBAHASAN

2.
Kerjakan soal berikut ini dengan tepat!
Diketahui sebuah lingkaran berjari-jari 6. Jika lingkaran tersebut berpusat di titik (-3,5), maka bentuk umum persamaan lingkaran tersebut adalah ....
A. x2 + y2 – 6x – 10y – 2 = 0
B. x2 + y2 + 6x + 10y + 2 = 0
C. x2 + y2 – 6x + 10y – 2 = 0
D. x2 + y2 + 6x – 10y – 2 = 0
E. x2 + y2 – 10x + 6y + 2 = 0
JAWABAN BENAR
D.
x2 + y2 + 6x – 10y – 2 = 0
PEMBAHASAN
Pusat (-3,5), r = 6
(x – a)2 + (y – b)2 = r2
(x – (-3))2 + (y – 5)2 = 62
(x + 3)2 + (y – 5)2 = 36
x2 + 6x + 9 + y2 – 10y + 25 – 36 = 0
x2 + y2 + 6x – 10y – 2 = 0
3.
Kerjakan soal berikut ini dengan tepat!
Sebuah lingkaran memiliki persamaan x2 + y2 + 8x + 12y + 3 = 0, pusat dan jari-jari lingkaran tersebut berturut-turut adalah ....
A. (4,6) dan 7
B. (-4,-6) dan 7
C. (8,12) dan 3
D. (-8,-12) dan 3
E. (-4,12) dan 7
JAWABAN BENAR
B.
(-4,-6) dan 7
PEMBAHASAN

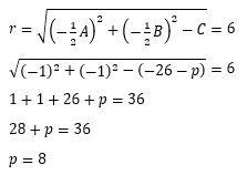
4.
Kerjakan soal berikut dengan tepat!
Diketahui lingkaran x2 + y2 + 2x + 2y – 26 – p = 0, lingkaran tersebut berjari-jari 6. Nilai p adalah ....
A. 5
B. 6
C. 7
D. 8
E. 9
JAWABAN BENAR
D.
8
PEMBAHASAN

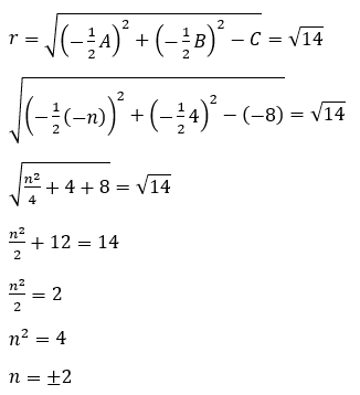
5.
Kerjakan soal berikut dengan tepat!

A. –1
B. 0
C. 1
D. 2
E. 3
JAWABAN BENAR
D.
2
PEMBAHASAN

Latihan 6
Type here..
Latihan 7
Type here..
Latihan 8
Type here..
Latihan 9
Type here..
Latihan 10
Type here..
Oops!!!
Yah, jawaban kamu meleset nih. Ingin melihat pembahasan soal ini?
BENAR!!!
Selamat!
Jawaban kamu benar. Ingin lihat pembahasan soal ini?
footer_v3
Bersama Aku Pintar temukan jurusan kuliah yang tepat
sesuai minat dan bakatmu.
Aku Pintar memiliki visi membuat pendidikan merata, mudah dijangkau, dan terjangkau dengan Program Journey Pintar yang merupakan sebuah program persiapan lengkap bagi siswa SMA/SMK/sederajat yang ingin masuk ke perguruan tinggi impiannya.
Kontak Kami
Grand Slipi Tower Lt. 42
Jl. S. Parman Kav 22-24
Jakarta Barat
© 2024 Aku Pintar. All Rights Reserved