Belajar Pintar Materi SMP, SMA, SMK
BelajarPintarV3
Matematika Minat
Polinomial
MATERI
Penjumlahan dan Pengurangan Polinomial


Operasi aljabar seperti penjumlahan dan pengurangan ternyata bisa lho dilakukan pada polinomial. Untuk menjumlah atau mengurang pada polinomial sobat pintar hanya perlu menjumlahkan atau mengurangkan antar koefisien suku-suku sejenis
Apasih yang dimaksud suku sejenis? Apakah x3 dan 3x suku-suku yang sejenis?
Suku-suku sejenis adalah suku-suku yang memiliki variabel berpangkat sama, jadi x3 dan 3x itu tidak sejenis yaa sobat. Contoh suku-suku sejenis adalah x4 dan 2x4 dimana kedua suku sama-sama memiliki variabel berpangkat 4.
Agar sobat pintar lebih paham kita coba ke contoh soal saja yaa.
Diketahui polinomial:
p(x) = 6x4 -8x2 +7x +10
q(x) = 10x2 +11x -12
Berapakah hasil penjumlahan dan pengurangan polinomial p(x) dan q(x)?
Pembahasan:
Penjumlahan polinomial p(x) dan q(x)
p(x) + q(x) = (6x4 -8x2 +7x +10) + (10x2 +11x -12)
p(x) + q(x) = 6x4 +(-8x2 +10x2) +(7x +11x) +(10 -12)
p(x) + q(x) = 6x4 +(-8 +10)x2 +(7 +11)x +(-2)
p(x) + q(x) = 6x4 +2x2 +18x -2
Pengurangan polinomial p(x) dan q(x)
p(x) - q(x) = (6x4 -8x2 +7x +10) - (10x2 +11x -12)
p(x) - q(x) = 6x4 -8x2 +7x +10 -10x2 -11x +12
p(x) - q(x) = 6x4 +(-8x2 -10x2) +(7x -11x) +(10 +12)
p(x) - q(x) = 6x4 +(-8-10)x2 +(7-11)x +22
p(x) - q(x) = 6x4 -18x2 -4x +22
Perkalian Polinomial

Selain penjumlahan dan pengurangan, operasi perkalian juga bisa diterapkan pada polinomial.
Perkalian polinomial dapat dilakukan dengan menggunakan sifat distributif seperti pada aljabar. Agar lebih jelas sobat pintar bisa memperhatikan penjelasan berikut.
Secara umum, perkalian polinomial adalah sebagai berikut
(axm +bx(m-1) + ...)g(x) = axmg(x) +bx(m-1)g(x) + ...
Agar lebih jelas lagi kita lanjutkan ke contoh soal berikut
Diketahui polinomial:
f(x) = x2 +x +1
g(x) = 4x3 -x +1
Tentukan f(x)·g(x)!
Pembahasan:
f(x)·g(x) = (x2 +x +1)(4x3 -x +1)
f(x)·g(x) = x2(4x3 -x +1) +x(4x3 -x +1)+ 1(4x3 -x +1)
f(x)·g(x) = 4x5 -x3 +x2 +4x4 -x2 +x +4x3 -x +1
f(x)·g(x) = 4x5 +4x4 +(-x3 +4x3) +(x2 -x2) +(x-x) +1
f(x)·g(x) = 4x5 +4x4 +3x3 +1
Kesamaan Polinomial

Sobat pintar, yang akan dibahas kali ini adalah kesamaan polinomial sobat.
Polinomial dikatakan sama jika kedua polinomial tersebut memiliki nilai yang sama untuk variabel x.
Bingung? Sebenarnya mudah sobat, cukup perhatikan penjelasan berikut.
Misal:
f(x) = anxn +a(n-1)x(n-1) +a(n-2)x(n-2) + ... +a1x1 +a0
g(x) = bnxn +b(n-1)x(n-1) +b(n-2)x(n-2) + ... +b1x1+b0
f(x) equivalen g(x), ditulis
![]()
jika dan hanya jika setiap koefisien dari variabel yang berpangkat sederajat adalah sama, seperti
an=bn, a(n-1)=b(n-1), a(n-2)=b(n-2), a1=b1, a0=b0
Masih bingung sobat? Perhatikan lagi contoh soal berikut yaa.
Diketahui polinomial Ax2 +Bx +C equivalen 7x2 -3x +2. Tentukan nilai A,B, dan C!
Pembahasan:
![]()
maka setiap koefisien dari variabel yang berpangkat sederajat sama, artinya
Koefisien x2: A=7
Koefisien x: B=-3
Konstanta: C=2
Jadi, A=7, B=-3, C=2
Nilai Polinomial

Nilai polinomial sebenarnya sudah tidak asing bagi sobat pintar semua karena nilai polinomial tidak berbeda dengan nilai fungsi.
Ada dua cara untuk mendapatkan nilai polinomial, yang pertama adalah metode substitusi yang pasti sudah sering kalian lakukan dan yang kedua adalah skema horner.
Metode Substitusi
Misal polinomial f(x)=anxn +a(n-1)x(n-1) +a(n-2)x(n-2) + ... +a1x1 +a0
maka nilai polinomial untuk x=k adalah f(k)=ankn +a(n-1)k(n-1) +a(n-2)k(n-2) + ... +a1k1 +a0
Contohnya:
Jika f(x)=2x2 -x +5. Nilai f(x) untuk x=3 adalah ....
Pembahasan:
f(x)=2x2 -x +5
f(3)=2(3)2 -3 +5
f(3)=2(9) +2
f(3)=18 +2 =20
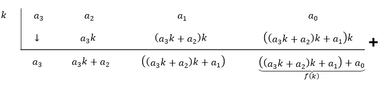
Skema Horner
Misal polinomial f(x)=a3x3 +a2x2 +a1x +a0, akan ditentukan nilainya untuk x=k, maka bisa disusun seperti berikut

Contohnya:
Jika f(x)=3x3 +2x2 -x +4. Nilai f(x) untuk x=3 adalah ....
Pembahasan:

Jadi, nilai f(3)=100
1.
Kerjakan soal berikut dengan tepat!
Diketahui f(x) = x5 + x4 - 3x3 + 10x2 + 8x + 1 dan g(x) = x5 + x4 - 2x2 + 18x - 10. Nilai dari f(x)+g(x) adalah ....
A. 2x5 + 2x4 - 3x3 + 8x2 + 16x - 9
B. 2x5 + x4 - x3 + 8x2 + 16x - 9
C. x5 + 2x4 - 3x3 + 8x2 + 16x - 19
D. 12x5 + 2x4 - 3x3 + 18x2 + 16x - 9
E. 3x5 + 2x4 - 3x3 + 8x2 + 16x - 8
JAWABAN BENAR
A.
2x5 + 2x4 - 3x3 + 8x2 + 16x - 9
PEMBAHASAN

2.
Kerjakan soal berikut dengan tepat!
Diberikan suku banyak f(x) = 5x3 - 3x2 + 2x + 9 dan g(x) = -2x3 + 2x2 - 3x + 1, suku berpangkat tertinggi dari f(x) - g(x) adalah....
A. 8x3
B. 7x3
C. 6x3
D. 5x3
E. 3x3
JAWABAN BENAR
B.
7x3
PEMBAHASAN

3.
Kerjakan soal berikut dengan tepat!
Koefisien x2 dari perkalian dua polinomial berikut (x2 - 3x + 5)(x - 7) adalah ....
A. 10
B. 8
C. -8
D. -9
E. -10
JAWABAN BENAR
E.
-10
PEMBAHASAN
(x2 - 3x + 5)(x - 7) = x3 - 7x2 - 3x2 + 21x + 5x - 35
= x3 - 10x2 + 26x - 35
Jadi, koefisien dari x2 adalah – 10
4.
Kerjakan soal berikut dengan tepat!
Nilai A·B yang memenuhi kesamaan Ax2 +7x +5B equivalen 2x2 +7x -15 adalah ....
A. -7
B. -6
C. 0
D. 6
E. 7
JAWABAN BENAR
B.
-6
PEMBAHASAN
Sesuai dengan kesamaan polinomial maka
Koefisien x2: A=2
Koefisien x: 7=7
Konstanta: 5B=-15
B=-3
A·B=2·(-3)=-6
5.
Kerjakan soal berikut dengan tepat!

A. -2
B. -1
C. 0
D. 1
E. 2
JAWABAN BENAR
C.
0
PEMBAHASAN

6.
Kerjakan soal berikut dengan tepat!
Salah satu metode yang digunakan untuk menentukan nilai polinomial adalah ....
A. metode Horner
B. metode eliminasi
C. metode pemfaktoran
D. teorema Pythagoras
E. metode campuran
JAWABAN BENAR
A.
metode Horner
PEMBAHASAN
Nilai sebuah polinomial f(x) untuk x = h dapat kita cari tahu nilainya dengan menggunakan dua metode:
- Metode Substitusi
- Metode Horner
7.
Kerjakan soal berikut dengan tepat!
Diketahui f(x) = x3 – 3x2 + 7. Jika x = 5, maka nilai dari f(5) adalah ....
A. 43
B. 50
C. 57
D. 64
E. 75
JAWABAN BENAR
C.
57
PEMBAHASAN
Dengan menggunakan metode substitusi,
substitusikan x = 5 pada f(x)
f(x) = x3 – 3x2 + 7
f(5) = (5)3 – 3(5)2 + 7
f(5) = 125 – 75 + 7
f(5) = 57
8.
Kerjakan soal berikut dengan tepat!
Diketahui f(h) = h3 – 2h2 – 3h + 5. Jika h = 2, maka nilai dari f(h) adalah ....
A. -2
B. -1
C. 0
D. 1
E. 2
JAWABAN BENAR
B.
-1
PEMBAHASAN

Oops!!!
Yah, jawaban kamu meleset nih. Ingin melihat pembahasan soal ini?
BENAR!!!
Selamat!
Jawaban kamu benar. Ingin lihat pembahasan soal ini?
footer_v3
Bersama Aku Pintar temukan jurusan kuliah yang tepat
sesuai minat dan bakatmu.
Aku Pintar memiliki visi membuat pendidikan merata, mudah dijangkau, dan terjangkau dengan Program Journey Pintar yang merupakan sebuah program persiapan lengkap bagi siswa SMA/SMK/sederajat yang ingin masuk ke perguruan tinggi impiannya.
Kontak Kami
Grand Slipi Tower Lt. 42
Jl. S. Parman Kav 22-24
Jakarta Barat
© 2024 Aku Pintar. All Rights Reserved