Belajar Pintar Materi SMP, SMA, SMK
BelajarPintarV3
Fisika
Elastisitas dan Hukum Hooke
MATERI
Komponen Elastisitas

A. Tegangan
Sekarang coba perhatikan gambar berikut. Terdapat sebuah batang tegar dipengaruhi oleh gaya tarikan sebesar F ke kanan di ujung kanan dan ke kiri di ujung kiri. Mari kita perhatikan bagian kecil dari batang yang panjangnya L. Bagian kecil batang ini dalam keadaan setimbang karena gaya di bagian kanan sama dengan gaya di bagian kirinya. Gaya-gaya baik di bagian kiri maupun di bagian kanan didistribusikan secara merata pada luasan penampang A.
Nah sobat, perbandingan gaya F terhadap luasan penampang A inilah yang dinamakan tegangan

Jadi, Tegangan merupakan Keadaan dimana suatu benda mengalami pertambahan panjang ketika diberi gaya dan luas penampang nya diberikan gaya yang sama.
B. Regangan
Nah sobat tadi kita sudah membahas tegangan, sekarang kita akan membahas regangan ! Gaya-gaya yang bekerja pada batang berusaha membuat bahan meregang. Perubahan panjang per panjang dinamakan regangan yang disimbolkan e.
Jadi, regangan merupakan perbandingan antara pertambahan panjang kawat dalam x meter dengan panjang awal kawat dalam x meter. Regangan dapat terjadi dikarenakan gaya yang diberikan pada benda ataupun kawat tersebut dihilangkan, sehingga kawat kembali ke bentuk awal.

Hubungan ini secara matematis dapat dituliskan seperti dibawah ini:

C. Modulus Elastisitas (Modulus Young)
Modulus Elastisitas adalah perbandingan antara tegangan dan regangan dari suatu benda. Modulus elastisitas dilambangkan dengan E. Modulus elastisitas disebut juga Modulus young. Adapun Modulus Young dapat ditentukan secara matematis dari rumus tegangan dan regangan. Berikut rumusnya:

Nilai modulus elastisitas hanya bergantung pada jenis bahan suatu benda, tidak bergantung pada ukuran maupun bentuk benda. Nah, berikut ini adalah nilai modulus elastisitas dari beberapa jenis bahan:

1.
Jawablah pertanyaan berikut ini!
Tali nilon berdiameter 2 mm ditarik dengan gaya 100 Newton. Tentukan tegangan tali!
A. 31,5 x 106 N/m2
B. 62,3 106 N/m2
C. 72,1 106 N/m2
D. 84,3 106 N/m2
E. 92,3 106 N/m2
JAWABAN BENAR
A.
31,5 x 106 N/m2
PEMBAHASAN

2.
Jawablah pertanyaan berikut ini!
Seutas tali mempunyai panjang mula-mula 100 cm ditarik hingga tali tersebut mengalami pertambahan panjang 2 mm. Tentukan regangan tali!
A. 0,001
B. 0,002
C. 0,003
D. 0,004
E. 0,005
JAWABAN BENAR
B.
0,002
PEMBAHASAN

3.
Jawablah pertanyaan berikut ini!
Seutas tali mempunyai panjang mula-mula 100 cm ditarik hingga tali tersebut mengalami pertambahan panjang 2 mm. Tentukan regangan tali!
A.

 
B.

C.

D.

E.

JAWABAN BENAR
D.

PEMBAHASAN


4.
Jawablah pertanyaan berikut ini!
Sebuah kawat yang panjangnya 100 cm ditarik dengan gaya 100 Newton. Yang menyebabkan pegas bertambah panjang 10 cm. Tentukan regangan kawat !
A. 0,1
B. 0,2
C. 0,3
D. 0,4
E. 0,5
JAWABAN BENAR
A.
0,1
PEMBAHASAN

5.
Jawablah pertanyaan berikut ini!
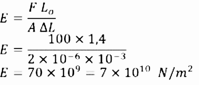
Sepotong kawat logam homogen dengan panjang 140 cm dan luas penampangnya 2 mm^2 ketika ditarik dengan gaya sebesar 100 N bertambah panjang 1 mm. Modulus elastik bahan kawat logam tersebut adalah….
A.

B.

C.

D.

E.

JAWABAN BENAR
C.
PEMBAHASAN
Diketahui:

Jawab:

Oops!!!
Yah, jawaban kamu meleset nih. Ingin melihat pembahasan soal ini?
BENAR!!!
Selamat!
Jawaban kamu benar. Ingin lihat pembahasan soal ini?
footer_v3
Bersama Aku Pintar temukan jurusan kuliah yang tepat
sesuai minat dan bakatmu.
Aku Pintar memiliki visi membuat pendidikan merata, mudah dijangkau, dan terjangkau dengan Program Journey Pintar yang merupakan sebuah program persiapan lengkap bagi siswa SMA/SMK/sederajat yang ingin masuk ke perguruan tinggi impiannya.
Kontak Kami
Grand Slipi Tower Lt. 42
Jl. S. Parman Kav 22-24
Jakarta Barat
© 2024 Aku Pintar. All Rights Reserved