Belajar Pintar Materi SMP, SMA, SMK
BelajarPintarV3
Fisika
Elastisitas dan Hukum Hooke
Daftar Materi
MATERI
Susunan Seri

Sobat pintar, sifat pegas saat ini banyak digunakan dalam kehidupan sehari-hari, misalnya pada kendaraan bermotor dan neraca pegas,. Nah, Sobat dua pegas atau lebih yang dirangkai dapat menggunakan pegas pengganti. Tetapan pegas pengganti dapat dirangkai secara seri dan pararel
Pada susunan pegas, baik susunan seri, paralel, atau kombinasi keduanya, besarnya konstanta pegas merupakan konstanta pegas pengganti. Pada gambar tersebut, terdapat tiga pegas dengan konstanta gaya k1, k2, dan k3 yang disusun seri.
Pada ujung susunan pegas bekerja gaya F, maka masing-masing pegas mendapat gaya yang sama besar yaitu F. Berdasarkan Hukum Hooke, pertambahan panjang masing-masing pegas adalah:
F = k1.x1 -Ã x1 = F/ k1
F = k2.x2 -Ã x2 = F/ k2
F = k3.x3 -Ã x3 = F/ k3
Sehingga pertambahan panjang total susunan pegas :
ks = konstanta seri
Susunan Paralel

Tiga buah pegas masing- masing dengan konstanta gaya k1, k2, dan k3, disusun paralel dan pada ujung ketiga pegas bekerja gaya F. Selama gaya F bekerja, pertambahan masing-masing pegas besarnya sama yakni :
x1 = x2 = x3
karena :
F = F1 + F2 + F3
Maka :
Kp.x = k1.x1+k2.x2+k3.x3
Sehingga :
Kp = konstanta pegas
1.
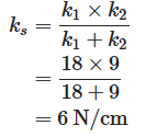
Dua pegas dengan kosntanta masing-masing 18 N/m dan 9 N/m. Hitung konstanta pegas pengganti jika kedua pegas disusun secara seri
A. 2 N/cm
B. 4 N/cm
C. 6 N/cm
D. 8 N/cm
E. 10 N/cm
JAWABAN BENAR
C.
6 N/cm
PEMBAHASAN

2.
Dua pegas dengan kosntanta masing-masing 18 N/m dan 9 N/m. Hitung konstanta pegas pengganti jika kedua pegas disusun secara paralel
A. 9 N/m
B. 18 N/m
C. 27 N/m
D. 36 N/m
E. 45 N/m
JAWABAN BENAR
C.
27 N/m
PEMBAHASAN

3.
Jawablah pertanyaan berikut ini!
Diketahui panjang sebuah pegas 25 cm. Sebuah balok bermassa 20 gram digantungkan pada pegas sehingga pegas bertambah panjang 5 cm. Tentukan modulus elastisitas jika luas penampang pegas 100 cm!
A. 90 N/m2
B. 100 N/m2
C. 110 N/m2
D. 120 N/m2
E. 130 N/m2
JAWABAN BENAR
B.
100 N/m2
PEMBAHASAN

Ditanya:

4.
Jawablah pertanyaan berikut ini!
Sebuah pegas panjangnya 20 cm. Jika modulus elastisitas pegas 40 N/m^2 dan luas ketapel 1 m^2. Tentukan besar gaya yang diperlukan agar pegas bertambah panjang 5 cm?
A. 120 N
B. 130 N
C. 140 N
D. 150 N
E. 160 N
JAWABAN BENAR
E.
160 N
PEMBAHASAN


5.
Jawablah pertanyaan berikut ini!
Pegas dengan konstanta sebesar 200 N/m diberi gaya sebesar 50 N. Tentukan pertambahan panjang pegas!
A. 0,25 m
B. 0,30 m
C. 0,35 m
D. 0,40 m
E. 0,45 m
JAWABAN BENAR
A.
0,25 m
PEMBAHASAN

Oops!!!
Yah, jawaban kamu meleset nih. Ingin melihat pembahasan soal ini?
BENAR!!!
Selamat!
Jawaban kamu benar. Ingin lihat pembahasan soal ini?
footer_v3
Bersama Aku Pintar temukan jurusan kuliah yang tepat
sesuai minat dan bakatmu.
Aku Pintar memiliki visi membuat pendidikan merata, mudah dijangkau, dan terjangkau dengan Program Journey Pintar yang merupakan sebuah program persiapan lengkap bagi siswa SMA/SMK/sederajat yang ingin masuk ke perguruan tinggi impiannya.
Kontak Kami
Grand Slipi Tower Lt. 42
Jl. S. Parman Kav 22-24
Jakarta Barat
© 2024 Aku Pintar. All Rights Reserved