Belajar Pintar Materi SMP, SMA, SMK
BelajarPintarV3
Fisika
Fluida
MATERI
Pengertian Fluida Dinamis

Apakah Sobat Pintar Tau, Apa Itu Fluida Dinamis?

Fluida dinamis adalah fluida (bisa berupa zat cair, gas) yang bergerak. Untuk memudahkan dalam mempelajari, fluida disini dianggap mempunyai kecepatan yang konstan terhadap waktu, tidak termampatkan (tidak mengalami perubahan volume), tidak kental, tidak turbulen (tidak mengalami putaran-putaran). Dalam kehidupan sehari-hari, banyak sekali hal yang berkaitan dengan fluida dinamis ini. Fluida dinamis merupakan fluida yang dianggap:
• Alirannya stasioner, tiap paket fluida memiliki arah aliran tertentu dan tidak terjadi turbulensi (pusaran-pusaran).
• Alirannya tunak (steady), aliran fluida memiliki kecepatan yang konstan terhadap waktu.
• Tidak kompresibel, jika diberi tekanan maka volumenya tidak berubah.
• Tidak mengalami gesekan, Pada saat mengalir, gesekan fluida dengan dinding dapat diabaikan.
Jenis aliran fluida dibagi menjadi dua jenis, yaitu:
- Aliran laminer, yakni aliran dimana paket fluida meluncur bersamaan dengan paket fluida di sebelahnya, setiap jalur paket fluida tidak berseberangan dengan jalur lainnya. Aliran laminer adalah aliran ideal dan terjadi pada aliran fluida dengan kecepatan rendah.
- Aliran turbulen, yaitu aliran dimana paket fluida tidak meluncur bersamaan dengan paket fluida di sebelahnya, setiap jalur paket fluida dapat berseberangan dengan jalur lainnya. Aliran turbulen ditandai dengan adanya pusaran-pusaran air (vortex atau turbulen) dan terjadi jika kecepatan alirannya tinggi.

Komponen Dalam Fluida Dinamis

Sobat Pintar, fluida dinamis memiliki beberapa komponen, diantaranya :
A. Debit
Debit yaitu volume fluida tiap satuan waktu yang mengalir dalam pipa. Dirumuskan sebagai berikut :
Q = A. v atau Q = V/t

B. Persamaan Kontinuitas
Persamaan kontinuitas berbunyi "pada fluida yang tak termampatkan, hasil kali antara kelajuan aliran fluida dalam suatu wadah dengan luas penampang wadah selalu konstan".

Jika suatu wadah memiliki penampang yang berbeda maka menurut persamaan kontinuitas berlaku :
Q1 = Q2
A1.v1 = A2. v2

C. Persamaan Bernoulli
Hukum Bernoulli adalah hukum yang berlandaskan pada hukum kekekalan energi yang dialami oleh aliran fluida. Hukum ini menyatakan bahwa jumlah tekanan (p), energi kinetik per satuan volume, dan energi potensial persatuan volume memiliki nilai yang sama pada setiap titik sepanjang suatu garis arus.
Hukum Bernoulli yang dirumuskan menggunakan dasar matematika, ditemukan oleh Daniel Bernoulli, seorang matematikawan Swiss yang menemukannya pada 1700-an.

Bila dituliskan dalam suatu persamaan yaitu sebagai berikut:


Penerapan Fluida Dinamis

Berikut merupakan penerapan fluida dinamis :
A. Teorema Toricelli (Laju Effluk)
Laju air yang menyembur dari lubang sama dengan air yang jatuh bebas dari ketinggian h. Laju air yang menyembur dari lubang dinamakan laju efflux. Fenomena ini dinamakan dengan teorema Torricelli.


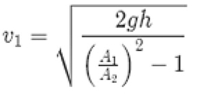
B. Venturimeter
Venturimeter adalah sebuah alat yang bernama pipa venturi. Pipa venturi merupakan sebuah pipa yang memiliki penampang bagian tengahnya lebih sempit dan diletakkan mendatar dengan dilengkapi dengan pipa pengendali untuk mengetahui permukaan air yang ada sehingga besarnya tekanan dapat diperhitungkan. Ada dua venturimeter yang akan kita pelajari, yaitu venturimeter tanpa manometer dan venturimeter menggunakan manometer yang berisi zat cair lain.
Venturimeter dengan manometer

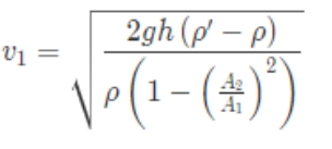
Prinsip kerja venturimeter dengan manometer hampir sama dengan tanpa manometer. Saat aliran zat cair dalam pipa dengan massa jenis masuk ke dalam venturimeter, dorongan aliran fluida menghasilkan perubahan ketinggian cairan raksa pada pipa “U”. Dari sini dengan menggunakan prinsip Bernoulli, kecepatan aliran zat cair dapat ditentukan yaitu menggunakan persamaan:

dengan p' merupakan massa jenis raksa dalam manometer.

Venturimeter tanpa manometer



C. Tabung Pitot
Alat ukur yang dapat kita gunakan untuk mengukur kelajuan gas adalah tabung pitot. Perhatikan gambar berikut:

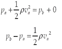
Gas (misalnya udara) mengalir melalui lubang-lubang. Lubang-lubang ini sejajar dengan arah aliran dan dibuat cukup jauh di belakang sehingga kelajuan dan tekanan gas di luar lubang-lubang tersebut mempunyai nilai seperti halnya dengan aliran bebas. Jadi, v1 = v (kelajuan gas) dan tekanan pada kaki kiri manometer tabung pitot sama dengan tekanan aliran gas (Pa).
Lubang dari kaki kanan manometer tegak lurus terhadap aliran sehingga kelajuan gas berkurang sampai ke nol (vb2 = 0). Pada titik ini gas berada dalam keadaan diam. Tekanan pada kaki kanan manometer sama dengan tekanan di titik 2 (P2). Beda ketinggian titik a dan b dapat diabaikan (h1 = h2), sehingga perbedaan tekanan yang terjadi menurut persamaan Bernoulli adalah sebagai berikut:

Oleh karena itu, kecepatan aliran gas va = v dapat dirumuskan sebagai berikut:

D. Penyemprot
Pada alat penyemprot alat nyamuk dan parfum, saat batang penghisap ditekan, udara akan mengalir dengan kecepatan tinggi dan melewati di mulut pipa. Akibatnya, tekanan diujung mulut pipa menjadi kecil. Perbedaan tekanan ini mengakibatkan cairan didalam tangki naik dan dihamburkan dengan halus oleh aliran udara dari tabung pengisap.
E. Pesawat Terbang
Gaya angkat pesawat terbang bukan karena mesin, tetapi pesawat bisa terbang karena memanfaatkan hukum bernoulli yang membuat laju aliran udara tepat di bawah sayap, karena laju aliran di atas lebih besar maka mengakibatkan tekanan di atas pesawat lebih kecil daripada tekanan pesawat di bawah.
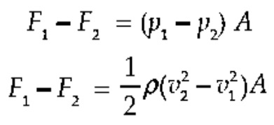
Penampang sayap pesawat terbang mempunyai bagian belakang yang lebih tajam dan sisi bagian atas yang lebih melengkung daripada sisi bagian bawahnya. Perhatikan gambar dibawah. Garis arus pada sisi bagian atas lebih rapat daripada sisi bagian bawahnya.

Artinya, kelajuan aliran udara pada sisi bagian atas pesawat v2 lebih besar daripada sisi bagian bawah sayap v1. Sesuai dengan asas Bernoulli, tekanan pada sisi bagian atas p2 lebih kecil daripada sisi bagian bawah p1 karena kelajuan udaranya lebih besar. Dengan A sebagai luas penampang pesawat, maka besarnya gaya angkat dapat kita ketahui melalui persamaan berikut:


Pesawat terbang dapat terangkat ke atas jika gaya angkat lebih besar daripada berat pesawat. Jadi, suatu pesawat dapat terbang atau tidak tergantung dari berat pesawat, kelajuan pesawat, dan ukuran sayapnya. Makin besar kecepatan pesawat, makin besar kecepatan udara. Hal ini berarti gaya angkat sayap pesawat makin besar.
Demikian pula, makin besar ukuran sayap makin besar pula gaya angkatnya. Supaya pesawat dapat terangkat, gaya angkat harus lebih besar daripada berat pesawat (F1 –F2) > m g.
Jika pesawat telah berada pada ketinggian tertentu dan pilot ingin mempertahankan ketinggiannya (melayang di udara), maka kelajuan pesawat harus diatur sedemikian rupa sehingga gaya angkat sama dengan berat pesawat (F1 – F2) = m g.
1.
Jawablah pertanyaan berikut ini!
Berikut sifat-sifat fluida dinamis, kecuali?....
A. Tidak Kompresibel
B. Aliran turbulen
C. Tidak ada gesekan
D. Aliran tunak
E. Aliran stasioner
JAWABAN BENAR
B.
Aliran turbulen
PEMBAHASAN
- Tidak kompresibel, jika diberi tekanan maka volumenya tidak berubah.
- Tidak mengalami gesekan, Pada saat mengalir, gesekan fluida dengan dinding dapat diabaikan.
- Alirannya stasioner, tiap paket fluida memiliki arah aliran tertentu dan tidak terjadi turbulensi (pusaran-pusaran).
- Alirannya tunak (steady), aliran fluida memiliki kecepatan yang konstan terhadap waktu.
2.
Jawablah pertanyaan berikut ini!
Apa itu Fluida Dinamis?.....
A. Fluida (bisa berupa zat cair, gas) yang tak bergerak
B. Fluida (bisa berupa zat cair, gas) yang bergerak
C. Fluida (bisa berupa zat cair, gas) yang diam
D. Fluida (bisa berupa zat cair, gas) yang berdiri
E. Fluida (bisa berupa zat cair, gas) yang mati
JAWABAN BENAR
B.
Fluida (bisa berupa zat cair, gas) yang bergerak
PEMBAHASAN
Fluida dinamis adalah fluida (bisa berupa zat cair, gas) yang bergerak. Untuk memudahkan dalam mempelajari, fluida disini dianggap mempunyai kecepatan yang konstan terhadap waktu, tidak termampatkan (tidak mengalami perubahan volume), tidak kental, tidak turbulen (tidak mengalami putaran-putaran).
3.
Jawablah pertanyaan berikut ini!
Sebutkan Komponen dalam fluida dinamis!
A. Debit, Kontinuitas dan Bernoulli
B. Debit, Archimedes dan Bernoulli
C. Debit, Bernoulli dan Volume
D. Debit, Kontinuitas dan Archimedes
E. Debit, Kontinuitas dan Volume
JAWABAN BENAR
A.
Debit, Kontinuitas dan Bernoulli
PEMBAHASAN
Komponen Fluida dinamis antara lain adalah debit, persamaan Kontinuitas dan persamaan hukum Bernoulli
4.
Jawablah pertanyaan berikut ini!
Sebuah cairan mengalir melewati pipa mendatar yang luas penampangnya makin mengecil. Pada ujung pipa yang besar air memiliki kelajuan 3,0 m/s dan kelajuan air diujung pipa kecil adalah 5,0 m/s. jika beda tekanan antara kedua ujung pipa adalah 2,8 kPa, maka kerapatan cairan yang mengalir dalam pipa adalah .... kg/m3
A. 750
B. 650
C. 550
D. 450
E. 350
JAWABAN BENAR
E.
350
PEMBAHASAN

5.
Jawablah pertanyaan berikut ini!
Ketika batang penghisap M ditekan, udara dipaksa keluar dari tabung pompa dengan kecepatan v melalui lubang pada ujungnya. P menyatakan tekanan dan v menyatakan kecepatan alir cairan obat nyamuk, maka pernyataan yang benar dari prinsip kerja penyemprot nyamuk tersebut adalah ....
A. P1 < P2, maka v1 < v2
B. P1 < P2, maka v1 > v2
C. P1 > P2, maka v1 > v2
D. P1 > P2, maka v1 < v2
E. P1 = P2, maka v1 = v2
JAWABAN BENAR
D.
P1 > P2, maka v1 < v2
PEMBAHASAN
Kecepatan berbanding terbalik dengan tekanan sehingga:
V2 > V1
P2 < P1
Oops!!!
Yah, jawaban kamu meleset nih. Ingin melihat pembahasan soal ini?
BENAR!!!
Selamat!
Jawaban kamu benar. Ingin lihat pembahasan soal ini?
footer_v3
Bersama Aku Pintar temukan jurusan kuliah yang tepat
sesuai minat dan bakatmu.
Aku Pintar memiliki visi membuat pendidikan merata, mudah dijangkau, dan terjangkau dengan Program Journey Pintar yang merupakan sebuah program persiapan lengkap bagi siswa SMA/SMK/sederajat yang ingin masuk ke perguruan tinggi impiannya.
Kontak Kami
Grand Slipi Tower Lt. 42
Jl. S. Parman Kav 22-24
Jakarta Barat
© 2024 Aku Pintar. All Rights Reserved