Belajar Pintar Materi SMP, SMA, SMK
BelajarPintarV3
Fisika
Gelombang, Bunyi, dan Cahaya
MATERI
Cepat Rambat Bunyi

Sobat Pintar! Musik adalah kombinasi dari frekuensi dan amplitudo benda-benda yang bergetar. Bunyi merambat melalui medium seperti padat, cair, atau gas, dan kecepatan bunyi dalam medium dipengaruhi oleh sifat elastisitas dan massa jenisnya.
- Cepat rambat bunyi pada zat padat dihitung dengan akar perbandingan modulus elastisitas (E) terhadap massa jenis (ro) bahan tersebut.

- Pada benda cair, cepat rambat bunyi dipengaruhi oleh modulus Bulk (B) dan massa jenis (ro) benda.

- Pada gas, kecepatan molekul dipengaruhi oleh suhu, dan modulus Bulk pada udara bergantung pada tekanan dan keadaan adibatik. Persamaan gas ideal juga berperan dalam menghitung cepat rambat bunyi pada gas.

Sumber Bunyi

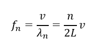
Alat musik seperti sasando, gitar, dan biola menggunakan sumber bunyi dawai. Ketika dawai dipetik, gelombang stasioner terbentuk dan menghasilkan berbagai frekuensi yang beresonansi dengan udara di sekitarnya. Frekuensi nada ke-n pada dawai dapat dihitung dengan persamaan

dan kecepatan bunyi (v) pada dawai tergantung pada tegangan dawai (F), massa dawai (m), dan panjang dawai (L), yang dijelaskan oleh persamaan

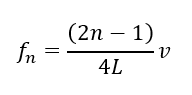
Seruling, terompet, dan alat musik tiup lainnya menggunakan sumber bunyi pipa organa. Pipa organa dapat terbuka atau tertutup pada ujungnya. Contoh alat musik pipa organa terbuka adalah pianika dan terompet.
Pada pipa organa tertutup, salah satu ujung kolom udara tertutup. Frekuensi tiap tingkatan nada pada pipa organa tertutup dapat dihitung dengan persamaan

Efek Doppler

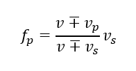
Astro dan Astrid mengukur frekuensi bunyi dari ambulans dari posisi yang berbeda. Astro mendengar frekuensi sirene sebesar 958 Hz, sementara Astrid mendengar 848,5 Hz. Frekuensi asli sumber bunyi adalah 900 Hz. Fenomena ini disebut efek Doppler. Efek ini terjadi karena panjang gelombang bunyi dari sumber akan berubah relatif terhadap pengamat saat mendekat atau menjauhi.
Secara umum, persamaan efek Doppler dapat dituliskan sebagai berikut:

Dengan:
vp = kecepatan gerak pengamat (m/s),
vs = kecepatan gerak sumber (m/s),
fs = frekuensi sumber bunyi (Hz),
fp = frekuensi yang didengar pengamat (Hz).
Kecepatan pengamat v akan positif (+) jika mendekati sumber dan negatif (-) jika menjauhi sumber, sedangkan v menunjukkan kecepatan gerak sumber, v akan positif (+) jika menjauhi pengamat dan negatif (-) jika mendekati pengamat.
Resonansi

Ternyata, seorang penyanyi memiliki kemampuan untuk memecahkan gelas dengan suaranya. Hal ini terjadi karena frekuensi suara penyanyi tersebut beresonansi dengan frekuensi alami gelas. Saat gelas bergetar sesuai dengan frekuensi suara penyanyi, susunan bahannya dapat pecah.
Resonansi adalah proses di mana suatu benda ikut bergetar karena frekuensi alaminya sama dengan frekuensi dari sumber bunyi. Fenomena ini sering terjadi dalam kehidupan sehari-hari, seperti saat jendela bergetar saat ada halilintar. Dalam alat musik seperti gitar, terdapat kotak resonansi di mana udara di dalamnya ikut bergetar saat dawai dipetik.
Jika frekuensi suara penyanyi dan gelas saling sesuai, gelas tersebut akan bergetar dengan amplitudo yang semakin besar, hingga akhirnya pecah. Fenomena ini menunjukkan betapa pentingnya pemahaman tentang resonansi dalam berbagai aspek kehidupan, termasuk dalam dunia musik dan ilmu material.
Pelayangan Bunyi

Mungkin Sobat pernah mendengar bunyi peluit yang melengking dan seringkali terdengar suaranya pelan kemudian melengking. Fenomena ini dikenal sebagai pelayangan bunyi. Saat kita mendengarkan bunyi yang keras, sebenarnya terjadi kombinasi dari berbagai frekuensi dan fenomena ini dapat dijelaskan melalui prinsip superposisi gelombang atau interferensi.
Interferensi terjadi saat dua gelombang bertemu dan bergabung menjadi satu. Ketika dua gelombang berinterferensi konstruktif, yaitu memiliki beda fase n lamda, maka kita akan mendengar suara yang keras. Sedangkan jika gelombang memiliki beda fase n lamda/2, terjadi interferensi destruktif yang menghasilkan suara yang lemah.
Pelayangan bunyi dapat dihitung menggunakan persamaan:
fn = | f2 - f1 |
Fenomena interferensi dan pelayangan bunyi ini seringkali terjadi dalam kehidupan sehari-hari dan memberikan keindahan dan kompleksitas pada bunyi-bunyi yang kita dengar.
Intensitas dan Taraf Intensitas Bunyi

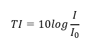
Telinga manusia memiliki batas atau ambang pendengaran yang berada dalam kisaran 10-12 watt/m2. Artinya, jika intensitas bunyi kurang dari batas tersebut, telinga manusia tidak akan dapat mendengar bunyi dari sumbernya. Untuk mengukur kekuatan bunyi, digunakan istilah Taraf Intensitas Bunyi (TI). Taraf intensitas bunyi merupakan logaritma perbandingan antara intensitas bunyi yang diukur dengan intensitas ambang pendengaran.
Persamaan untuk menghitung taraf intensitas bunyi adalah:

Di mana TI adalah taraf intensitas bunyi dalam satuan desibel (dB), I adalah intensitas bunyi yang diukur, dan I0 adalah intensitas ambang pendengaran.
Skala desibel digunakan karena intensitas bunyi yang bisa didengar oleh manusia mencakup rentang yang sangat luas, dari suara yang sangat lemah hingga suara yang sangat keras. Dengan menggunakan skala desibel, kita dapat mengukur dan membandingkan kekuatan bunyi dengan cara yang lebih praktis dan mudah dipahami.
Aplikasi Gelombang Bunyi

Prinsip gelombang bunyi memiliki beragam aplikasi dalam kehidupan sehari-hari, salah satunya adalah NDT (Non-destructive testing). NDT digunakan untuk menguji atau memeriksa cacat pada material tanpa harus merusaknya. Teknik ini menggunakan frekuensi ultrasonik, yaitu frekuensi di atas 20.000 Hz.
Pada NDT, sinyal ultrasonik dipancarkan ke material yang akan diperiksa. Ketika sinyal ini mengenai benda asing atau cacat dalam material, maka layar atau alat yang digunakan akan menunjukkan adanya sinyal yang tidak sesuai. Dengan demikian, NDT memungkinkan kita untuk mendeteksi dan menganalisis cacat atau kekurangan pada bahan tanpa harus merusaknya.
Selain dalam bidang industri, NDT juga memiliki penerapan penting dalam dunia medis. Di bidang medis, teknik ini dapat digunakan untuk mendeteksi adanya benda asing atau cacat di dalam tubuh manusia. Misalnya, dalam prosedur pencitraan seperti ultrasonografi, frekuensi ultrasonik digunakan untuk melihat gambaran struktur internal tubuh dan mendeteksi potensi masalah kesehatan.
Pemanfaatan prinsip pemantulan gelombang ultrasonik ini membantu dalam diagnosis, pemantauan, dan penanganan berbagai kondisi medis dengan non-invasif atau minimal invasif, yang berarti mengurangi risiko bagi pasien dan memungkinkan tindakan medis yang lebih tepat dan efektif.
1.
Kerjakan soal berikut ini dengan benar!
Peristiwa yang merupakan bukti cahaya merambat lurus yaitu . . . .
A. memantulnya cahaya pada cermin
B. cahaya menembus benda bening
C. terbentuknya pelangi pada saat hujan
D. rambatan cahaya matahari yang lurus ketika melewati genting kaca
E. bentuk bayangan pada spion
JAWABAN BENAR
D.
rambatan cahaya matahari yang lurus ketika melewati genting kaca
PEMBAHASAN
Cahaya matahari arah rambatannya menurut garis lurus ketika melewati genting kaca.
2.
Kerjakan soal berikut ini dengan benar!
Terjadi 2 kejadian berikut:
- cahaya merambat lurus
- cahaya mengenai benda gelap
Dari kejdian tersebut, apa yang akan terjadi?
A. bayang-bayang benda
B. pembelokan cahaya oleh benda
C. dispersi cahaya
D. pemantulan cahaya
E. penembusan cahaya kepada benda
JAWABAN BENAR
A.
bayang-bayang benda
PEMBAHASAN
Ketika sebentuk cahaya merambat lurus dan mengenai benda, maka akan terbentuk bayang-bayang dari benda tersebut.
3.
Kerjakan soal berikut ini dengan benar!
Bayangan yang dibentuk oleh cermin datar mempunyai sifat . . . .
A. bayangan bersifat nyata
B. bayangan terbalik
C. bayangan lebih kecil daripada benda aslinya
D. bayangan lebih besar daripada benda aslinya
E. jarak benda ke cermin sama dengan jarak bayangan ke cermin
JAWABAN BENAR
E.
jarak benda ke cermin sama dengan jarak bayangan ke cermin
PEMBAHASAN
Bayangan pada cermin datar mempunyai sifat-sifat berikut.
- Ukuran (besar dan tinggi) bayangan sama dengan ukuran benda.
- Jarak bayangan ke cermin sama dengan jarak benda ke cermin.
- Kenampakan bayangan berlawanan dengan benda. Misalnya tangan kirimu akan menjadi tangan kanan bayanganmu.
- Bayangan tegak seperti bendanya.
- Bayangan bersifat semu atau maya. Artinya, bayangan dapat dilihat dalam cermin, tetapi tidak dapat ditangkap oleh layar.
4.
Kerjakan soal berikut ini dengan benar!
Peristiwa yang merupakan akibat pembiasan cahaya yaitu . . . .
A. terbentuknya warna pada gelembung sabun
B. dasar sungai yang airnya jernih tampak lebih dangkal daripada yang sebenarnya
C. terbentuknya bayangan oleh cermin
D. terjadinya halo cincin
E. sampainya cahaya matahari di permukaan bumi
JAWABAN BENAR
B.
dasar sungai yang airnya jernih tampak lebih dangkal daripada yang sebenarnya
PEMBAHASAN
Pembiasan cahaya sering kamu jumpai dalam kehidupan sehari-hari. Misalnya dasar sungai terlihat lebih dangkal daripada kedalaman sebenarnya. Gejala pembiasan juga dapat dilihat pada pensil yang dimasukkan ke dalam gelas yang berisi air.
5.
Kerjakan soal berikut ini dengan benar!
Apabila cahaya merambat dari udara ke air, cahaya tersebut akan dibiaskan dengan arah . . . .
A. menjauhi garis normal
B. mendekati garis normal
C. menjauhi garis normal
D. sejajar garis normal
E. berlawanan arah dengan garis normal
JAWABAN BENAR
B.
mendekati garis normal
PEMBAHASAN
Apabila cahaya merambat dari zat yang kurang rapat ke zat yang lebih rapat, cahaya akan dibiaskan mendekati garis normal. Misalnya cahaya merambat dari udara ke air.
Oops!!!
Yah, jawaban kamu meleset nih. Ingin melihat pembahasan soal ini?
BENAR!!!
Selamat!
Jawaban kamu benar. Ingin lihat pembahasan soal ini?
footer_v3
Bersama Aku Pintar temukan jurusan kuliah yang tepat
sesuai minat dan bakatmu.
Aku Pintar memiliki visi membuat pendidikan merata, mudah dijangkau, dan terjangkau dengan Program Journey Pintar yang merupakan sebuah program persiapan lengkap bagi siswa SMA/SMK/sederajat yang ingin masuk ke perguruan tinggi impiannya.
Kontak Kami
Grand Slipi Tower Lt. 42
Jl. S. Parman Kav 22-24
Jakarta Barat
© 2024 Aku Pintar. All Rights Reserved