Belajar Pintar Materi SMP, SMA, SMK
BelajarPintarV3
Fisika
Gelombang, Bunyi, dan Cahaya
MATERI
Interferensi Cahaya

Saat Sobat melihat pelangi di langit biru, ada beberapa fenomena cahaya yang bisa dijelaskan dengan sifat gelombang. Pelangi terjadi karena cahaya polikromatis (banyak warna) dari matahari mengalami penguraian menjadi cahaya monokromatis (satu warna) melalui pemantulan dan pembiasan pada tetesan air di atmosfer, seperti pada Gambar 5.29. Selain itu, langit terlihat biru karena cahaya mengalami hamburan oleh partikel-partikel atmosfer.
Salah satu fenomena cahaya yang menarik adalah interferensi cahaya, seperti yang terjadi pada gelembung sabun dan sayap kupu-kupu, seperti pada Gambar 5.31. Interferensi terjadi ketika cahaya dari dua sumber yang koheren (bersamaan) bersuperposisi, membentuk pola gelap dan terang. Pola terang terjadi ketika gelombang memiliki beda fase 0, lamda, 2 lamda, dan seterusnya, sementara pola gelap terjadi ketika gelombang memiliki beda fase lamda/2, 3lamda/2, 5lamda/2, dan seterusnya.
Percobaan interferensi cahaya dilakukan oleh Thomas Young, dan hasilnya dapat dijelaskan dengan persamaan berikut
- Interferensi konstruktif (saling menguatkan/membuat terang)

- Interferensi destruktif (saling melemahkan/membuat gelap)

yang menghubungkan lebar celah (d), sudut simpangan (0), dan panjang gelombang (A) dengan pola gelap/terang ke-n. Interferensi cahaya ini memiliki peran penting dalam menciptakan efek warna pada gelembung sabun, sayap kupu-kupu, dan banyak fenomena cahaya lainnya yang indah.
Difraksi Cahaya

Ketika Sobat melihat langit, terkadang cahaya menyebar melalui awan. Ini adalah contoh dari fenomena difraksi. Difraksi terjadi ketika gelombang melewati celah atau penghalang sempit dan mengalami pembelokan atau penyebaran.
Difraksi dibagi menjadi dua jenis, yaitu difraksi celah tunggal dan difraksi pada kisi.
- Difraksi celah tunggal: Ketika sebuah gelombang melewati celah sempit, gelombang akan menyebar dan membentuk pola difraksi. Pola ini memiliki daerah dengan intensitas tinggi dan rendah. Pola intensitas terendah pada difraksi celah tunggal dengan lebar celah (d) dan panjang gelombang (lamda) dapat dihitung menggunakan persamaan interferensi konstruktif
- Difraksi kisi: Kisi adalah sejumlah celah sangat sempit dengan jarak antar celah yang sama. Difraksi kisi banyak digunakan untuk penentuan struktur kristal pada suatu bahan. Hubungan antara konstanta kisi dan lebar kisi dapat dihitung dengan persamaan d = 1/N
Fenomena difraksi ini memiliki banyak aplikasi penting dalam ilmu kristalografi dan analisis struktur bahan.
Polarisasi

Pernahkah Sobat menonton film 3D di bioskop? Untuk menikmati efek 3D, kita menggunakan kacamata khusus yang disebut kacamata 3D. Kacamata ini memanfaatkan sifat gelombang yang disebut polarisasi.
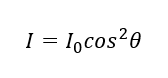
Polarisasi adalah fenomena penyerapan arah getaran dari gelombang transversal. Dalam hal ini, cahaya adalah gelombang transversal dan dapat dipolarisasikan, sedangkan bunyi tidak dapat mengalami polarisasi. Cahaya dari sinar matahari, misalnya, tidak terpolarisasi karena memiliki banyak arah getaran. Untuk menyaring arah getaran cahaya, digunakan alat yang disebut polarisator.
Intensitas cahaya yang diamati oleh pengamat akan berkurang setelah melewati polarisator, dan besarnya dapat dihitung menggunakan persamaan berikut:

Aplikasi Gelombang Cahaya

Teknologi televisi telah mengalami perkembangan pesat dan mengubah dunia. Dahulu, televisi berukuran besar dan boros energi, namun sekarang ukurannya lebih ramping dan hemat energi.
Salah satu teknologi yang mendukung efisiensi dan ukuran TV adalah Liquid Crystal Display (LCD). Pada teknologi LCD, cairan kristal dapat diatur posisinya untuk menyaring beberapa arah getar cahaya dan menampilkan arah getar yang diinginkan menggunakan prinsip polarisasi. LCD memanfaatkan sifat-sifat cahaya seperti refleksi, refraksi, difraksi, dan polarisasi untuk menghasilkan gambar yang diharapkan.
Selain LCD, teknologi Light Emitting Diode (LED) juga digunakan dalam layar televisi. LED menggunakan banyak lampu LED sebagai sumber cahaya yang kecerahannya dapat diatur secara elektronik. Cahaya dari LED dilewatkan melalui beberapa lapisan dan akan melewati layar Red, Green, Blue (RGB). Layar RGB terdiri dari jutaan elemen dengan warna merah, hijau, dan biru. Ketiga warna ini dikombinasikan secara elektronik untuk menampilkan gambar dengan kecerahan dan warna yang diharapkan.
1.
Kerjakan soal berikut ini dengan benar!
Sebuah prisma mempunyai sudut pembias 60o dan indeks biasnya1,5. Seberkas sinar datang pada salah satu sisi pembias prisma dengan sudut datang 60o, tentukan sudut deviasi yang terjadi pada prisma!
A. 23o
B. 26o
C. 30o
D. 39o
E. 41o
JAWABAN BENAR
D.
39o
PEMBAHASAN


2.
Kerjakan soal berikut ini dengan benar!
Salah satu sifat cahaya yang dimanfaatkan dalam pembuatan kaleidoskop yaitu . . . .
A. cahaya merambat lurus
B. cahaya dapat dibiaskan
C. cahaya dapat didispersikan
D. cahaya dapat dipolarisasikan
E. cahaya dapat dipantulkan
JAWABAN BENAR
E.
cahaya dapat dipantulkan
PEMBAHASAN
Dengan kaleidoskop dapat membuat aneka macam pola yang mengagumkan. Pola-pola ini diperoleh karena bayangan benda-benda dalam kaleidoskop mengalami pemantulan berkali-kali
3.
Kerjakan soal berikut ini dengan benar!
Seberkas cahaya dengan panjang gelombang 4000 A datang pada suatu kisi. Jika pita terang orde kedua membentuk sudut 30° terhadap garis normal, maka dalam 1 cm terdapat celah sebanyak … .
A. 4000
B. 4750
C. 5000
D. 5500
E. 6250
JAWABAN BENAR
E.
6250
PEMBAHASAN

4.
Kerjakan soal berikut ini dengan benar!
Prisma memiliki sudut pembias 12,6° dan memiliki indeks bias bahan 1,5. Berapakah besar sudut deviasi minimumnya apabila sebuah cahaya monokromatis mengenai bidang pembias prisma tersebut?
A. 6,3o
B. 9,3o
C. 11,4o
D. 14,5o
E. 21,3o
JAWABAN BENAR
A.
6,3o
PEMBAHASAN

5.
Kerjakan soal berikut ini dengan benar!
Prisma memiliki sudut pembias 18o. Jika indeks bias sinar merah adalah 1,46 dan indeks bias sinar ungu adalah 1,49. Berapakah besar sudut dispersi?
A. 0,54o
B. 0,48o
C. 0,34o
D. 0,28o
E. 0,20o
JAWABAN BENAR
A.
0,54o
PEMBAHASAN

Oops!!!
Yah, jawaban kamu meleset nih. Ingin melihat pembahasan soal ini?
BENAR!!!
Selamat!
Jawaban kamu benar. Ingin lihat pembahasan soal ini?
footer_v3
Bersama Aku Pintar temukan jurusan kuliah yang tepat
sesuai minat dan bakatmu.
Aku Pintar memiliki visi membuat pendidikan merata, mudah dijangkau, dan terjangkau dengan Program Journey Pintar yang merupakan sebuah program persiapan lengkap bagi siswa SMA/SMK/sederajat yang ingin masuk ke perguruan tinggi impiannya.
Kontak Kami
Grand Slipi Tower Lt. 42
Jl. S. Parman Kav 22-24
Jakarta Barat
© 2024 Aku Pintar. All Rights Reserved