Belajar Pintar Materi SMP, SMA, SMK
BelajarPintarV3
Fisika
Gelombang, Bunyi, dan Cahaya
MATERI
Jenis - Jenis Gelombang

Halo Sobat Pintar! Gelombang adalah fenomena yang menjalar dan sering kita temui dalam kehidupan sehari-hari, seperti riakan di permukaan air, cahaya, dan bunyi. Internet juga menggunakan gelombang radio untuk menghantarkan informasi.
Gelombang memiliki muka gelombang yang merupakan tempat sekumpulan titik dengan fase yang sama. Panjang gelombang (λ), amplitudo (A), periode (T), dan frekuensi (f) adalah beberapa besaran yang terkait dengan gelombang.
Jenis-jenis gelombang berdasarkan arah getaran dan arah rambatnya antara lain gelombang longitudinal dan gelombang transversal. Gelombang longitudinal memiliki arah getaran berimpit dengan arah rambatnya, seperti gelombang bunyi. Gelombang transversal memiliki arah getaran tegak lurus dengan arah rambatnya, seperti gelombang pada tali dan cahaya. Ada juga gelombang seismik (gempa) yang memiliki arah getaran tegak lurus dan searah dengan arah rambatannya.
Gelombang juga dapat dibedakan berdasarkan perantara rambatannya menjadi gelombang mekanik dan gelombang elektromagnetik. Gelombang mekanik memerlukan medium untuk merambat, seperti bunyi dan gempa, sementara gelombang elektromagnetik tidak memerlukan medium, seperti cahaya dan gelombang radio.
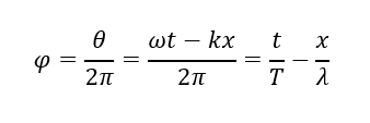
Beda Fase Gelombang

Sobat Pintar! Gelombang adalah getaran yang merambat, dan simpangan gelombang dapat dinyatakan dengan fase. Fase gelombang tidak memiliki kuantitas pasti karena tergantung pada posisi dan waktu dari titik yang diamati.
Fase gelombang dapat dinyatakan dengan persamaan:

Beda fase antara dua titik dalam gelombang bisa sama dengan 0, 2 phi, 4 phi, ..., atau 0, 2 lamda, 4 lamda, ..., dan bisa juga berlawanan dengan phi, 3 phi, ..., atau lamda, 3 lamda, ..., dengan n = 0, 1, 2, 3, ....
Penting untuk memahami konsep beda fase dalam mempelajari sifat-sifat gelombang pada cahaya dan bunyi.
Prinsip - Prinsip dalam Gelombang

Sobat Pintar! Kombinasi nada dalam lagu, warna dalam lukisan, dan teknologi internet semuanya mengandalkan sifat-sifat gelombang. Untuk memahami perilaku gelombang, terdapat beberapa prinsip yang perlu kita kenali.
- Prinsip Superposisi: Ketika dua gelombang atau lebih bertemu pada titik dan waktu yang sama dalam medium yang sama, mereka akan bersuperposisi dan membentuk gelombang baru dengan simpangan yang berbeda. Namun, kedua gelombang harus saling koheren atau memiliki frekuensi dan bentuk yang sama.
- Prinsip Huygens-Fresnel: Prinsip Huygens menyatakan bahwa setiap titik yang dilewati oleh sumber gelombang akan menghasilkan muka gelombang dengan panjang gelombang yang sama seperti gelombang sumbernya. Prinsip ini menjelaskan fenomena interferensi dan difraksi pada gelombang cahaya dan bunyi.
- Intensitas gelombang bergantung pada energi yang berasal dari sumber gelombang dan berbanding lurus dengan kuadrat amplitudo gelombang. Intensitas ini juga berkurang dengan kuadrat jarak dari titik ke sumber gelombang. Semakin jauh dari sumber bunyi atau cahaya, intensitasnya semakin melemah.
1.
Kerjakan soal berikut ini dengan benar!
Perbedaan gelombang transversal dengan longitudinal terletak pada ....
A. frekuensi
B. amplitudo
C. panjang gelombang
D. arah getar
E. periode
JAWABAN BENAR
D.
arah getar
PEMBAHASAN
Berdasarkan arah getaran nya, gelombang dapat dibedakan menjadi dua yaitu gelombang longitudinal dan gelombang transversal.
2.
Kerjakan soal berikut ini dengan benar!
Berikut yang merupakan gelombang longitudinal, kecuali:
A. gelombang suara
B. gelombang seismik
C. gelombang cahaya
D. gelombang plasma
E. gelombang slinki
JAWABAN BENAR
C.
gelombang cahaya
PEMBAHASAN
Berikut yang merupakan gelombang longitudinal antara lain : 1. Gelombang Suara 2. Gelombang Plasma. 3. Gelombang P Seismik 4. Gelombang Slingki (Pegas)
3.
Kerjakan soal berikut ini dengan benar!

Pada gambar tersebut merupakan contoh kasus yang menerapkan sifat golombang cahaya ....
A. dispersi
B. interferensi
C. difraksi
D. refleksi
E. refraksi
JAWABAN BENAR
C.
difraksi
PEMBAHASAN
Gambar tersebut merupakan contoh kasus yang menerapkan sifat gelombang cahaya difraksi yakni kecenderungan gelombang yang dipancarkan dari sumber melewati celah yang terbatas untuk menyebar ketika merambat.
4.
Kerjakan soal berikut ini dengan benar!
Cahaya termasuk gelombang transversal karena...
A. arah gerak gelombang tegak lurus dengan arah getaran
B. cahaya membutuhkan medium untuk berpindah
C. cahaya tidak membutuhkan medium untuk berpindah
D. arah gerak gelombang searah dengan arah getaran
E. cahaya dapat merambat ke segala arah
JAWABAN BENAR
A.
arah gerak gelombang tegak lurus dengan arah getaran
PEMBAHASAN
Cahaya termasuk gelombang transversal karena arah gerak gelombang tegak lurus dengan arah getaran
5.
Kerjakan soal berikut ini dengan benar!
Berikut adalah sifat gelombang cahaya yang tidak dimiliki oleh gelombang bunyi adalah....
A. interferensi
B. difraksi
C. refleksi
D. refraksi
E. polarisasi
JAWABAN BENAR
E.
polarisasi
PEMBAHASAN
Polarisasi pada cahaya alamiah (tidak terpolarisasi) apabila dilewatkan pada sebuah kristal maka arah getar cahaya yang keluar dari kristal sedangkan gelombang bunyi tidak mengalami sifat polarisasi.
Oops!!!
Yah, jawaban kamu meleset nih. Ingin melihat pembahasan soal ini?
BENAR!!!
Selamat!
Jawaban kamu benar. Ingin lihat pembahasan soal ini?
footer_v3
Bersama Aku Pintar temukan jurusan kuliah yang tepat
sesuai minat dan bakatmu.
Aku Pintar memiliki visi membuat pendidikan merata, mudah dijangkau, dan terjangkau dengan Program Journey Pintar yang merupakan sebuah program persiapan lengkap bagi siswa SMA/SMK/sederajat yang ingin masuk ke perguruan tinggi impiannya.
Kontak Kami
Grand Slipi Tower Lt. 42
Jl. S. Parman Kav 22-24
Jakarta Barat
© 2024 Aku Pintar. All Rights Reserved