Belajar Pintar Materi SMP, SMA, SMK
BelajarPintarV3
Fisika
Hukum Newton tentang Gravitasi
MATERI
Sejarah


Sumber: softilmu.com
Hukum Kepler ditemukan oleh Johannes Kepler yang merupakan seorang matematikawan dan astronom asal Jerman. Sebelum Kepler mengemukakan hukumnya tentang gerak planet yang mengelilingi matahari, manusia zaman dahulu menganut paham geosentris yakni paham yang membenarkan bahwa bumi adalah pusat alam semesta. Menurut Claudius Ptolomeus seorang astronom Yunani, bumi berada di pusat tata surya dan matahari beserta planet-planet mengelilingi bumi pada lintasan melingkar.
Tahun 1543 astronom asal Polandia bernama Nicolaus Copernicus mengemukakan model heliosentris yakni bumi beserta planet-planet lainnya yang mengelilingi matahari pada lintasan melingkar. Namun kedua model tersebut masih memiliki kekurangan yaitu tidak ada keselarasan antara lintasan dan orbit planet. Kemudian pada tahun 1609 Kepler menemukan bentuk orbit yang lebih cocok yaitu berbentuk elips bukan lingkaran dan menjelaskannya dalam tiga Hukum Kepler.
Klasifikasi Hukum Kepler

Hukum Kepler I
Hukum ini menjelaskan bentuk lintasan orbit planet-planet yang bergerak mengelilingi matahari. Perhitungan Kepler membuktikan bahwa orbit-orbit tersebut berbentuk elips. Bentuk elips orbit ditentukan oleh nilai eksentrisitas (e) elips, semakin besar eksentrisitasnya maka bentuk elips akan semakin memanjang dan tipis. Sebaliknya, semakin kecil eksentrisitasnya maka bentuk elipsnya akan mendekati bentuk lingkaran. Nilai eksentrisitas elips yaitu lebih besar dari 0 dan lebih kecil dari 1.
“Semua planet bergerak dalam lintasan yang berbentuk elips ketika beredar mengelilingi matahari, yang matahari berada pada salah satu titik fokus elips."
Hukum Kepler II
Hukum ini menjelaskan bahwa kecepatan orbit suatu planet akan lebih lambat ketika planet berada pada titik terjauh dari matahari (titik aphelion) dan kecepatan orbit suatu planet akan lebih cepat ketika planet berada pada titik terdekat dengan matahari (titik perihelion). Jadi, kecepatan orbit maksimum planet ketika berada di titik perihelion dan kecepatan orbit minimum planet ketika berada di titik aphelion.
“Suatu gerak edar planet mengitari matahari menjangkau suatu bidang luas segitiga yang sama, dalam jangka waktu yang sama.”
Hukum Kepler III
Hukum ini menjelaskan periode revolusi planet-planet yang mengelilingi matahari. Planet memiliki periode orbit yang lebih panjang ketika planet tersebut letaknya jauh dari matahari dan planet memiliki periode orbit yang lebih pendek ketika planet tersebut letaknya dekat dari matahari.
“Perbandingan kuadrat waktu periode planet dengan pangkat tiga jarak planet tersebut ke matahari adalah sama untuk semua planet.”
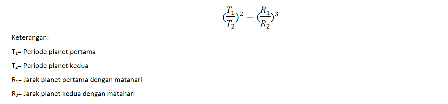
Secara matematis Hukum Kepler dapat ditulis sebagai berikut:

1.
Jawablah pertanyaan berikut ini!
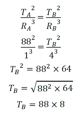
Dua planet A dan B mengorbit matahari. Perbandingan antara jarak planet A dengan planet B ke matahari RA : RB = 1 : 4. Apabila periode planet A mengelilingi matahari adalah 88 hari maka periode planet B adalah…
A. 500 hari
B. 704 hari
C. 724 hari
D. 825 hari
E. 850 hari
JAWABAN BENAR
B.
704 hari
PEMBAHASAN
Diketahui:
RA : RB = 1 : 4
TA = 88 hari
Dengan menggunakan hukum Kepler 3 diperoleh:


2.
Jawablah pertanyaan berikut ini!
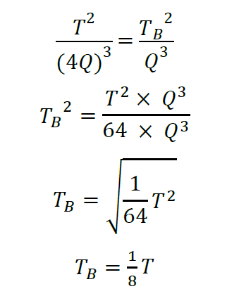
Planet A dan B masing-masing berjarak rata-rata sebesar P dan Q terhadap matahari. Planet A mengitari matahari dengan periode T. Jika P = 4Q, maka planet B mengitari matahari dengan periode…
A.

B.

C.

D.

E.

JAWABAN BENAR
C.
PEMBAHASAN
Diketahui:
RA = P = 4Q
RB = Q
TA = T
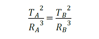
dengan menggunakan hukum 3 Kepler diperoleh:


3.
Jawablah pertanyaan berikut ini!
Dua planet A dan B mengorbit matahari. Perbandingan antara periode revolusi planet A dan B mengitari matahari adalah 8 : 1. Apabila jarak planet B ke matahari 1,5 SA (SA = Satuan Astronomi) maka jarak planet A ke matahari adalah…
A. 3,0 SA
B. 4,5 SA
C. 5,0 SA
D. 5,6 SA
E. 6,0 SA
JAWABAN BENAR
E.
6,0 SA
PEMBAHASAN
dengan menggunakan hukum 3 Kepler diperoleh hasil sebagai berikut:

4.
Jawablah pertanyaan berikut ini!
Jarak Bumi Matahari = 1 SA sedangkan jarak Mars Matahari 3 SA. Bila periode revolusi bumi adalah T, maka periode revolusi Mars adalah…
A. 4 T
B. 3 T
C. 2 T
D. 1,6 T
E. 1,2 T
JAWABAN BENAR
B.
3 T
PEMBAHASAN


5.
Jawablah pertanyaan berikut ini!
Data fisis planet A, planet B, dan planet Bumi terhadap Matahari terlihat seperti tabel dibawah ini

Perbandingan periode planet A dan B adalah…
A.

B.

C.

D.

E.

JAWABAN BENAR
A.
PEMBAHASAN
Menentukan periode planet A:

Menentukan periode planet B:

Perbandingan periode planet A dan B:

Oops!!!
Yah, jawaban kamu meleset nih. Ingin melihat pembahasan soal ini?
BENAR!!!
Selamat!
Jawaban kamu benar. Ingin lihat pembahasan soal ini?
footer_v3
Bersama Aku Pintar temukan jurusan kuliah yang tepat
sesuai minat dan bakatmu.
Aku Pintar memiliki visi membuat pendidikan merata, mudah dijangkau, dan terjangkau dengan Program Journey Pintar yang merupakan sebuah program persiapan lengkap bagi siswa SMA/SMK/sederajat yang ingin masuk ke perguruan tinggi impiannya.
Kontak Kami
Grand Slipi Tower Lt. 42
Jl. S. Parman Kav 22-24
Jakarta Barat
© 2024 Aku Pintar. All Rights Reserved