Belajar Pintar Materi SMP, SMA, SMK
BelajarPintarV3
Fisika
Kalor
MATERI
Pengertian Kalor

Ketika sebuah sendok dingin dimasukkan ke dalam secangkir air teh panas, kedua benda tersebut akan mencapai kesetimbangan termal, sehingga suhu sendok dan air teh menjadi lebih hangat. Proses interaksi ini melibatkan perpindahan energi dari satu bahan ke bahan lainnya. Energi yang ditransfer dari satu benda ke benda lain akibat perbedaan suhu inilah yang disebut kalor.
Untuk membuktikan bahwa kalor merupakan salah satu bentuk energi, James Prescott Joule (1818-1889) melakukan percobaan dengan menggunakan alat yang sederhana. Percobaan tersebut melibatkan sebuah beban yang digantung dan sebuah batangan logam yang digunakan untuk mengaduk air dalam sebuah wadah.
Dalam percobaan ini, saat beban jatuh, energi potensialnya berubah menjadi energi kinetik yang diteruskan ke batangan logam yang berada di dalam air. Batangan logam berputar dan mengaduk air, dan akibat gesekan antara batangan logam dan air, suhu air meningkat. Artinya, terjadi perubahan energi kinetik menjadi kalor yang digunakan untuk meningkatkan suhu air. Dari percobaan ini, ditemukan bahwa untuk menaikkan suhu 1 gram air sebanyak 1 derajat C, diperlukan energi sebesar 4,2 joule.
Satuan energi tersebut, yaitu 4,2 joule (J), kemudian dinamai sebagai "1 kalori" (kal) atau dapat dinyatakan bahwa 1 J = 0,24 kal.
Dengan percobaan ini, Joule berhasil membuktikan bahwa kalor adalah bentuk energi yang dapat diukur dan dapat diubah menjadi bentuk energi kinetik lainnya. Pengukuran energi dalam bentuk kalori merupakan konsep penting dalam studi tentang termal dan termodinamika, membantu kita memahami bagaimana energi berpindah dan berubah bentuk dalam berbagai proses fisika.
Pengaruh Kalor terhadap Perubahan Suhu

Sobat Pintar, setiap materi tidak akan mengalami perubahan suhu yang sama ketika diberikan kalor dengan jumlah yang sama. Meskipun kenaikan suhunya sama besar, setiap materi akan menyerap kalor dengan besar yang berbeda. Hal ini dipengaruhi oleh kalor jenis (c), yang menunjukkan kemampuan materi menyerap kalor sehingga suhunya naik. Kalor jenis c menyatakan besar kalor yang diperlukan untuk menaikkan suhu 1 kilogram (kg) suatu benda sebesar 1 derajat C. Semakin besar massanya maka energi kalor yang dibutuhkan semakin besar untuk perubahan suhu tertentu.
Besar kalor Q yang dibutuhkan untuk mengubah suhu benda tertentu sebanding dengan massa m dan perubahan suhu
Q = mc delta T
Hubungan antara massa (m) dan kalor jenis (c) dapat dihubungkan dengan kapasitas kalor (C), yang merupakan jumlah kalor yang dibutuhkan untuk menaikkan suhu suatu zat sebesar 1 derajat C atau 1 Kelvin (K).
C = c m
Asas Black berlaku apabila dua zat yang memiliki suhu yang berbeda dicampurkan, maka zat yang memiliki suhu tinggi akan melepaskan kalor dan memberikannya pada zat yang memiliki suhu rendah sehingga suhu campuran dari kedua zat tersebut menjadi sama. Jika dua benda yang memiliki suhu berbeda saling berinteraksi akan terjadi perpindahan kalor. Kalor yang dilepaskan oleh suatu benda harus sama dengan kalor yang diterima oleh benda lain.
Qlepas = Qterima
Pengaruh Kalor pada Perubahan Wujud

Dalam kehidupan sehari-hari, kita sering melihat berbagai perubahan wujud zat yang disebabkan oleh interaksi dengan kalor dari lingkungan sekitar. Zat dapat berada dalam tiga wujud, yaitu padat, cair, dan gas. Ketika zat menerima atau melepaskan kalor, ia mengalami perubahan wujud. Proses perubahan wujud seperti melebur, membeku, menguap, mengembun, dan menyublim tidak mengalami perubahan suhu meskipun ada pelepasan atau penyerapan kalor.
Kalor yang diperlukan atau dilepaskan oleh suatu zat dalam perubahan wujudnya dinamakan kalor laten. Kalor laten dapat dihitung dengan rumus:
L = Q / m
di mana Q adalah kalor yang diserap atau dilepas, dan m adalah massa zat.
Berdasarkan perubahan wujudnya, kalor laten memiliki beberapa jenis. Jika zat berubah dari padat menjadi cair (melebur), kalor laten disebut kalor lebur. Ketika zat berubah dari cair menjadi uap (menguap), kalor laten disebut kalor uap. Besar kalor lebur sama dengan kalor beku, begitu juga dengan kalor uap dan kalor embun.
Penting untuk dicatat bahwa kalor diperlukan oleh suatu zat untuk mengalami perubahan wujud dan juga untuk mengalami kenaikan suhu.
Contoh grafik suhu terhadap kalor menunjukkan perubahan wujud spesimen air dengan wujud awal padat (es). Sobat dapat melihat bahwa es melebur menjadi air pada suhu 0 derajat C, dan air menjadi uap pada suhu 100 derajat C dengan tekanan udara sekitar 1 atm.
Pengaruh Kalor pada Pemuaian

Secara umum, ketika materi dipanaskan, ia akan memuai, artinya ukurannya akan bertambah, dan ketika didinginkan, ia akan menyusut kembali. Pemuaian terjadi karena gerak atau getaran partikel-partikel materi meningkat, sehingga jarak antar partikel menjadi lebih besar.
Contoh pemuaian termal dapat kita lihat pada bensin. Ketika bensin berada dalam tangki bawah tanah pada siang hari, suhunya lebih rendah dibandingkan saat bensin sudah berada dalam tangki mobil. Ketika bensin memasuki tangki mobil yang lebih hangat, bahan bakar ini memuai lebih cepat, sehingga bensin dapat menetes keluar dari mobil.
Perubahan suhu dan jenis materi memengaruhi pemuaian secara signifikan. Setiap materi tidak memuai dengan ukuran yang sama ketika dipanaskan. Pemuaian panjang, luas, dan volume benda dapat terjadi, tergantung pada jenis benda dan perubahan suhu yang dialami.
Ketika mengamati pemuaian panjang, khususnya pada logam berbentuk kabel tipis, kita menggunakan model satu dimensi. Koefisien muai panjang adalah ukuran kemampuan materi untuk bertambah panjang akibat pemanasan dan dapat dihitung menggunakan persamaan:

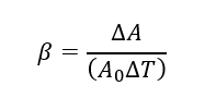
Untuk benda yang luasnya tidak dapat diabaikan, seperti pelat persegi tipis atau pelat berbentuk cakram, pemuaian luas harus diperhitungkan. Koefisien muai luas adalah ukuran mudah atau sulitnya pemuaian luas dan dapat dihitung dengan persamaan:

Hubungan antara koefisien muai panjang dan koefisien muai luas adalah beta = 2 alpha untuk jenis materi yang sama.
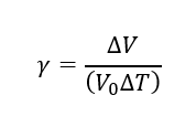
Selain pemuaian panjang dan luas, pemuaian volume juga dapat terjadi. Koefisien muai volume mengukur kemampuan materi untuk bertambah volume akibat pemanasan dan dapat dihitung dengan persamaan:

Untuk jenis materi yang sama, nilai gama = 3 alpha jika nilai alpha diketahui.
1.
Kerjakan soal berikut ini dengan benar!
Energi yg berpindah dari benda yg suhunya lebih tinggi ke benda yg suhunya lebih rendah ketika kedua benda bersentuhan disebut?
A. Kalor
B. Suhu
C. Massa Jenis
D. Termometer
E. Celcius
JAWABAN BENAR
A.
Kalor
PEMBAHASAN
Kalor adalah bentuk energi yang berpindah dari suhu tinggi ke suhu rendah.Jika suatu benda menerima / melepaskan kalor maka suhu benda itu akan naik/turun atau wujud benda berubah
2.
Kerjakan soal berikut ini dengan benar!
Air sebanyak 100 gram memiliki temperatur 25 derajat C dipanaskan dengan energi 1000 kalori. Berapakah temperatur air setelah pemanasan jika diketahui kalor jenis air 1kal/g derajat C?
A. 25
B. 35
C. 40
D. 45
E. 50
JAWABAN BENAR
B.
35
PEMBAHASAN

3.
Kerjakan soal berikut ini dengan benar!
Terdapat 20 gram air bersuhu 80 derajat C didinginkan hingga air tersebut bersuhu 10 derajat C. Berapakah kalor yang dilepaskan air tersebut? (kalor uap = 540 kal/gram, kalor jenis air = 1 kal/gram derajat C)
A. 1200 kal
B. 1400 kal
C. 1500 kal
D. 1600 kal
E. 1650 kal
JAWABAN BENAR
B.
1400 kal
PEMBAHASAN
Untuk menentukan kalor air maka digunakan Azas Black
Q = m.c.T
Q = 20.1.(80-10)
Q = 1400 kal
4.
Kerjakan soal berikut ini dengan benar!
Bagaimanakah perpindahan kalor secara ilmiah?
A. Kalor berpindah dari suhu rendah ke tinggi
B. Kalor berpindah dari suhu tinggi ke rendah
C. Kalor berpindah dari suhu bergerak ke diam
D. Kalor berpindah dari suhu tinggi saja
E. Kalor berpindah dari suhu rendah saja
JAWABAN BENAR
B.
Kalor berpindah dari suhu tinggi ke rendah
PEMBAHASAN
Secara alamiah, kalor berpindah dari benda bersuhu tinggi ke benda bersuhu rendah.
5.
Kerjakan soal berikut ini dengan benar!
Satuan kalor adalah?
A. Kilogram
B. Meter
C. Sekon
D. Newton
E. Kalori
JAWABAN BENAR
E.
Kalori
PEMBAHASAN
Satuan untuk menyatakan kalor adalah Joule (J) atau Kalori (kal)
Oops!!!
Yah, jawaban kamu meleset nih. Ingin melihat pembahasan soal ini?
BENAR!!!
Selamat!
Jawaban kamu benar. Ingin lihat pembahasan soal ini?
footer_v3
Bersama Aku Pintar temukan jurusan kuliah yang tepat
sesuai minat dan bakatmu.
Aku Pintar memiliki visi membuat pendidikan merata, mudah dijangkau, dan terjangkau dengan Program Journey Pintar yang merupakan sebuah program persiapan lengkap bagi siswa SMA/SMK/sederajat yang ingin masuk ke perguruan tinggi impiannya.
Kontak Kami
Grand Slipi Tower Lt. 42
Jl. S. Parman Kav 22-24
Jakarta Barat
© 2024 Aku Pintar. All Rights Reserved