Belajar Pintar Materi SMP, SMA, SMK
BelajarPintarV3
Fisika
Kalor
MATERI
Konduksi

Konduksi adalah perpindahan kalor yang terjadi tanpa perpindahan partikel zat. Ketika suatu materi dipanaskan, atom-atomnya menjadi lebih aktif karena mendapatkan energi. Getaran ini menyebabkan atom-atom tersebut bertumbukan dengan atom-atom tetangganya, sehingga energi berpindah dari satu atom ke atom lainnya.
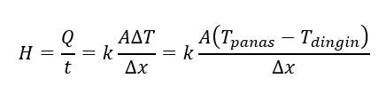
Khususnya pada logam, terjadi perpindahan kalor melalui elektron-elektron bebas yang ada pada atom logam. Elektron-elektron ini juga menerima energi tambahan, sehingga bergerak lebih cepat dan bertumbukan dengan elektron-elektron yang lebih jauh. Perpindahan kalor oleh elektron ini jauh lebih cepat dibandingkan perpindahan kalor yang diakibatkan oleh getaran antar atom. Materi yang dengan mudah menghantarkan kalor disebut konduktor, contohnya adalah logam. Sementara itu, materi yang kurang efisien dalam menghantarkan kalor disebut isolator, contohnya adalah plastik dan kayu. Laju perpindahan kalor secara konduksi, atau disebut juga laju kalor konduksi, sebanding dengan luas penampang benda dan perbedaan suhu antara titik yang lebih panas dan lebih dingin.
Konduksi merupakan salah satu mekanisme penting dalam perpindahan kalor, baik dalam benda padat maupun pada antarmuka antara benda padat. Proses konduksi banyak kita jumpai dalam kehidupan sehari-hari, misalnya ketika memasak menggunakan panci atau wajan dari logam, konduksi akan memanaskan seluruh permukaan wadah sehingga makanan dapat matang secara merata.
Persamaan yang menghubungkan beberapa besaran yang mempengaruhi laju kalor konduksi ditunjukkan dengan persamaan berikut:

Konveksi

Ketika kita mendekatkan tangan di atas api, kita merasakan panas karena udara di sekitar api dipanaskan. Proses perpindahan energi panas yang melibatkan perpindahan partikel disebut konveksi. Energi panas ini umumnya disalurkan oleh fluida, yang dapat berupa gas atau cairan, yang bergerak atau mengalir.
Konveksi terbagi menjadi dua jenis, yaitu konveksi bebas dan konveksi paksa. Konveksi bebas terjadi karena adanya perbedaan massa jenis pada bagian-bagian fluida yang berbeda. Ketika fluida dipanaskan, bagian yang dekat dengan sumber panas akan memuai sehingga massa jenisnya menjadi lebih rendah, menyebabkan bagian tersebut naik. Sebaliknya, bagian yang lebih dingin dan berat akan turun. Konveksi paksa, di sisi lain, memerlukan bantuan dari benda eksternal seperti kipas, pompa, atau pengaduk untuk mengatur pergerakan fluida.
Salah satu aplikasi konveksi adalah dalam cuaca. Perbedaan suhu dan kelembaban di atmosfer mempengaruhi pergerakan awan dan berdampak pada kondisi cuaca di suatu daerah. Pemanasan dari sinar matahari menyebabkan udara hangat naik dan udara dingin turun, menciptakan pola pergerakan angin dan kondisi cuaca yang berbeda-beda di berbagai wilayah.
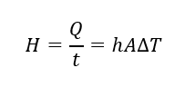
Persamaan yang menghubungkan beberapa besaran yang memengaruhi laju kalor konveksi ditunjukkan dengan persamaan:

Radiasi

Tangan kita tetap merasa panas walau tidak berada di atas api karena terjadi perpindahan kalor melalui proses radiasi. Radiasi adalah proses di mana setiap benda memancarkan dan menyerap energi termal dalam bentuk gelombang elektromagnetik, termasuk sinar inframerah.
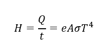
Proses radiasi dijelaskan oleh persamaan Stefan-Boltzmann yang menghubungkan beberapa besaran yang memengaruhi laju kalor radiasi. Emisivitas merupakan karakteristik suatu benda yang mempengaruhi kemampuannya dalam memancarkan dan menyerap radiasi. Permukaan yang hitam kusam, seperti arang, memiliki emisivitas mendekati 1, yang berarti dapat memancarkan dan menyerap radiasi dengan sangat baik. Di sisi lain, permukaan yang putih mengkilat memiliki emisivitas mendekati 0, menunjukkan bahwa benda tersebut kurang efisien dalam memancarkan dan menyerap radiasi.
Fenomena radiasi sering kita temui dalam kehidupan sehari-hari, dan salah satu contohnya adalah pemanfaatan oven untuk memasak makanan. Oven menggunakan radiasi panas untuk memanaskan dan memasak makanan. Selain itu, teknologi microwave juga mengandalkan radiasi elektromagnetik untuk memanaskan makanan dengan cepat dan efisien.
Persamaan yang menghubungkan beberapa besaran yang mempengaruhi laju kalor radiasi ditunjukkan oleh persamaan:

Aplikasi Perpindahan Kalor

Salah satu aplikasi penting dari perpindahan kalor adalah dalam termos. Termos adalah wadah isolasi yang dirancang khusus untuk mempertahankan suhu minuman atau makanan dalam kondisi panas atau dingin selama periode waktu yang lama.
Prinsip utama di balik efisiensi termos adalah meminimalkan perpindahan kalor melalui tiga mekanisme utama: konduksi, konveksi, dan radiasi.
- Pertama, lapisan isolasi di dalam termos, seperti kaca atau bahan plastik, berfungsi untuk mengurangi perpindahan panas melalui konduksi. Bahan isolasi memiliki konduktivitas termal yang rendah, sehingga menghalangi perpindahan panas antara bagian dalam dan luar termos.
- Kedua, untuk menghentikan konveksi, terdapat ruang hampa udara antara lapisan luar dan dalam termos. Udara di dalam ruang tersebut hampir tidak memiliki konvektivitas termal, sehingga mengurangi perpindahan panas melalui konveksi. Selain itu, sebagian besar termos modern juga menggunakan desain ganda dengan lapisan ganda atau vakum di dalamnya, yang juga membantu mengurangi konveksi.
- Terakhir, untuk mengurangi perpindahan panas melalui radiasi, termos dilengkapi dengan lapisan reflektif pada bagian dalam wadahnya. Lapisan ini berfungsi untuk memantulkan kembali sebagian besar radiasi panas yang dihasilkan oleh minuman atau makanan di dalamnya, sehingga mengurangi kehilangan panas.
Dengan kombinasi dari ketiga mekanisme ini, termos mampu mempertahankan suhu minuman atau makanan dalam kondisi panas atau dingin selama berjam-jam, bahkan hingga berhari-hari. Contoh penerapan termos adalah saat membawa minuman panas, seperti kopi atau teh, untuk dinikmati di perjalanan atau saat berkemah. Begitu juga ketika membawa minuman dingin, seperti air es atau jus, untuk tetap segar dan dingin dalam cuaca panas.
Termos menjadi solusi yang efisien dan praktis dalam mengatur perpindahan kalor, sehingga sangat membantu dalam mempertahankan suhu makanan atau minuman sesuai dengan preferensi kita, tanpa perlu khawatir tentang cepatnya berubah suhu atau perlu memanaskan atau mendinginkan ulang.
1.
Kerjakan soal berikut ini dengan benar!
Jika kita berada di dekat api unggun maka kalor akan merambat dari api ke tubuh kita melalui proses...
A. Radiasi dan Konveksi
B. Radiasi dan Konduksi
C. Konduksi dan Konveksi
D. Radiasi
E. Konveksi
JAWABAN BENAR
D.
Radiasi
PEMBAHASAN
Perpindahan panas dibedakan menjadi 3, yaitu :
- Konduksi (rambatan) adalah perpindahan panas melalui zat perantara tanpa diikuti perpindahan zat perantaranya.
Contoh : paku yang dipanaskan salah satu ujungnya akan terasa panas di ujung lainnya.
- Konveksi (aliran) adalah perpindahan panas melalui zat perantara yang diikuti perpindahan zat perantaranya.
Contoh : terjadinya angin darat dan angin laut, memasak sayur sehingga sayur terlihat naik turun.
- Radiasi (pancaran) adalah perpindahan panas yang tidak membutuhkan zat perantara.
Contoh : panas matahari sampai ke bumi.
Mengapa badan kita terasa hangat ketika berada dekat api unggun ?
Karena adanya perpindahan kalor dari api unggun ke tubuh kita secara radiasi. Walaupun di sekitar kita terdapat udara yang dapat memindahkan kalor secara konveksi, tetapi udara merupakan penghantar kalor yang buruk (isolator). Dengan demikian rasa hangat yang disebabkan oleh api unggun murni dari proses radiasi.
2.
Kerjakan soal berikut ini dengan benar!
Apa yang dimaksud dengan konduktor?
A. Zat yang mudah menghantar kalor
B. Zat yang sukar menghantar kalor
C. Zat yang melupakan penghantar kalor
D. Zat yang pergi dari penghantar kalor
E. Zat yang maha adil
JAWABAN BENAR
A.
Zat yang mudah menghantar kalor
PEMBAHASAN
Konduktor adalah zat yang mudah menghantar kalor
3.
Kerjakan soal berikut ini dengan benar!
Berikut adalah faktor yang mempengaruhi laju kalor konduksi, kecuali?
A. Beda suhu antara permukaan
B. Volume permukaan
C. Laju permukaan A
D. Ketebalan dinding
E. Konduktivitas Termal
JAWABAN BENAR
B.
Volume permukaan
PEMBAHASAN
Faktor-faktor yang mempengaruhi laju kalor konduksi:
- Beda suhu antara permukaan
- Ketebalan dinding d; makin tebal dinding, makin lambat perpindahan kalor.
- Luas permukaan A; semakin besar luas permukaan , maik cepat perpindahan kalor
- Konduktivitas termal zat, merupakan ukuran kemampuan zat menghantar kalor; semakin besar nilai k , semakin cepat perpindahan kalor. Nilai k terbesar dimiliki oleh logam karena logam tergolong konduktor yang sangat baik. Sedangkan nilai k terkecil dimiliki oleh udara dan bahan-bahan isolator.
4.
Kerjakan soal berikut ini dengan benar!
Apa yang dimaksud dengan konveksi?
A. Perpindahan Kalor oleh pergerakan fluida itu sendiri
B. Perpindahan kalor oleh perantara
C. Perpindahan kalor dengan massanya
D. Perpindahan kalor dengan massa jenis
E. Perpindahan kalor tanpa fluida
JAWABAN BENAR
A.
Perpindahan Kalor oleh pergerakan fluida itu sendiri
PEMBAHASAN
Konveksi adalah proses perpindahan kalor dari satu bagian fluida ke bagian lain fluida oleh pergerakan fluida itu sendiri
5.
Kerjakan soal berikut ini dengan benar!
Fungsi utama kalorimeter adalah?
A. Mengukur dan mendeteksi suhu pada suatu perubahan reaksi kimia.
B. Mengukur dan mendeteksi kalor pada suatu perubahan reaksi kimia.
C. Mengukur dan mendeteksi kalor pada suatu perubahan reaksi fisika.
D. Mengukur dan mendeteksi suhu pada suatu perubahan reaksi fisika.
E. Multifungsi
JAWABAN BENAR
B.
Mengukur dan mendeteksi kalor pada suatu perubahan reaksi kimia.
PEMBAHASAN
Fungsi utama kalorimeter adalah mengukur dan mendeteksi kalor pada suatu perubahan reaksi kimia.
Oops!!!
Yah, jawaban kamu meleset nih. Ingin melihat pembahasan soal ini?
BENAR!!!
Selamat!
Jawaban kamu benar. Ingin lihat pembahasan soal ini?
footer_v3
Bersama Aku Pintar temukan jurusan kuliah yang tepat
sesuai minat dan bakatmu.
Aku Pintar memiliki visi membuat pendidikan merata, mudah dijangkau, dan terjangkau dengan Program Journey Pintar yang merupakan sebuah program persiapan lengkap bagi siswa SMA/SMK/sederajat yang ingin masuk ke perguruan tinggi impiannya.
Kontak Kami
Grand Slipi Tower Lt. 42
Jl. S. Parman Kav 22-24
Jakarta Barat
© 2024 Aku Pintar. All Rights Reserved