Belajar Pintar Materi SMP, SMA, SMK
BelajarPintarV3
Fisika
Vektor
MATERI
Menguraikan Vektor Menjadi Vektor Komponennya

Sobat Pintar, dalam beberapa kasus, seringkali kalian menjumlahkan beberapa vektor yang lebih dari dua buah. Secara grafis, metode yang digunakan adalah metode poligon, seperti yang telah disinggung sebelumnya. Akan tetapi, bagaimanakah cara menentukan besar dan arah vektor resultannya?

Salah satu metode yang digunakan adalah metode uraian, seperti yang akan dibahas pada sub bab berikut ini.
Sebuah vektor dapat diuraikan menjadi dua buah vektor yang saling tegak lurus. Vektor-vektor baru hasil uraian disebut vektor-vektor komponen.
Ketika sebuah vektor telah diuraikan menjadi vektor-vektor komponennya, vektor tersebut dianggap tidak ada karena telah diwakili oleh vektor-vektor komponennya. Sebagai contoh, ketika Sobat menguraikan sekarung beras 50 kg menjadi dua karung dengan masing-masing 20 kg dan 30 kg, apakah karung yang berisi 50 kg tetap ada?

Gambar diatas memperlihatkan sebuah vektor A yang diuraikan menjadi dua buah vektor komponen, masing-masing berada pada sumbu-x dan sumbu-y. Ax adalah komponen vektor A pada sumbu-x dan Ay adalah komponen vektor A pada sumbu-y. Besar setiap komponen vektor A dapat ditulis sebagai berikut.

Sementara itu, dengan menggunakan Dalil Pythagoras diperoleh hubungan :

Selanjutnya, hubungan antara Ax dan Ay diberikan oleh :

Menjumlahkan Vektor Melalui Vektor-Vektor Komponennya


Menjumlahkan sejumlah vektor dapat dilakukan dengan menguraikan setiap vektor menjadi komponen-komponennya ke sumbu-x dan sumbu-y pada koordinat kartesius. Metode seperti ini disebut metode uraian.
Berikut adalah tahapan-tahapan untuk mencari besar dan arah vektor resultan dengan metode uraian.
- Buat koordinat kartesius x-y.
- Letakkan titik tangkap semua vektor pada titik asal (0,0). Hati-hati, arah vektor tidak boleh berubah.
- Uraikan setiap vektor, yang tidak berimpit dengan sumbu-x atau sumbu-y, menjadi komponen-komponennya pada sumbu-x dan sumbu-y.
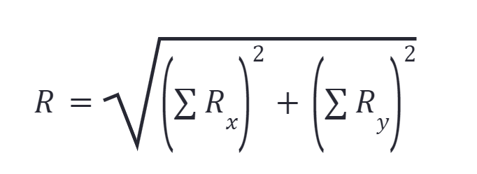
- Tentukanlah resultan vektor-vektor komponen pada setiap sumbu.
Besar vektor resultannya

dan arahnya terhadap sumbu-x positif

Sobat Pintar masih bingung dengan materi diatas? Yuk diskusi dibawah ini ya, dan jangan lupa kerjakan latihan nya juga...
1.
Sobat Pintar, yuk kerjakan soal di bawah ini dengan benar!
Terdapat dua buah gaya saling tegak lurus, besarnya masing-masing 12 N dan 16 N.Berapakah besar resultan kedua gaya tersebut?
A. 5 N
B. 10 N
C. 15 N
D. 20 N
E. 25 N
JAWABAN BENAR
D.
20 N
PEMBAHASAN
Hanya terdapat dua vektor dan kedua vektor saling tegak lurus sehingga penyelesaiannya menggunakan rumus Pythagoras.
FR2 = F12 + F22
FR2 = 122 + 162
FR2 = 20 N
2.
Sobat Pintar, yuk kerjakan soal di bawah ini dengan benar!
Besar dan arah vektor A= 8i + 8j adalah ....
A. 8 satuan pada 45o
B. 8 akar 2 satuan pada 45o
C. 16 satuan pada 45o
D. 18 satuan pada 45o
E. 64 satuan pada 45o
JAWABAN BENAR
B.
8 akar 2 satuan pada 45o
PEMBAHASAN

3.
Sobat Pintar, yuk kerjakan soal di bawah ini dengan benar!
Dua buah vektor satu sama lain membentuk sudut 60o. Besar kedua vektor tersebut sama, yakni 5 satuan. Tentukanlah resultan nya!
A.
![]()
B.
![]()
C.
![]()
D.
![]()
E.
![]()
JAWABAN BENAR
C.
![]()
PEMBAHASAN

4.
Sobat Pintar, yuk kerjakan soal di bawah ini dengan benar!
Dua buah vektor satu sama lain membentuk sudut 60o. Besar kedua vektor tersebut sama, yakni 5 satuan. Tentukanlah selisih nya!
A. 5 satuan
B. 7 satuan
C. 8 satuan
D. 9 satuan
E. 10 satuan
JAWABAN BENAR
A.
5 satuan
PEMBAHASAN

5.
Sobat Pintar, yuk kerjakan soal di bawah ini dengan benar!
Tiga orang siswa sedang menarik balok dengan gaya masing-masing sebagai berikut!

Berapakah resultan gaya pada balok tersebut?
A. 6 N
B. 10 N
C. 14 N
D. 18 N
E. 22 N
JAWABAN BENAR
B.
10 N
PEMBAHASAN
Fx = 10 N- 4N = 6 N ke arah kanan
Fy = 8 N
Karena tegak lurus sehingga untuk menentukan resultan gaya nya, kita menggunakan Phytagoras
C2 = A2 + B2
R2 = 62 + 82
R = 10 N
Oops!!!
Yah, jawaban kamu meleset nih. Ingin melihat pembahasan soal ini?
BENAR!!!
Selamat!
Jawaban kamu benar. Ingin lihat pembahasan soal ini?
footer_v3
Bersama Aku Pintar temukan jurusan kuliah yang tepat
sesuai minat dan bakatmu.
Aku Pintar memiliki visi membuat pendidikan merata, mudah dijangkau, dan terjangkau dengan Program Journey Pintar yang merupakan sebuah program persiapan lengkap bagi siswa SMA/SMK/sederajat yang ingin masuk ke perguruan tinggi impiannya.
Kontak Kami
Grand Slipi Tower Lt. 42
Jl. S. Parman Kav 22-24
Jakarta Barat
© 2024 Aku Pintar. All Rights Reserved