Belajar Pintar Materi SMP, SMA, SMK
BelajarPintarV3
Matematika Wajib
Barisan dan Deret
MATERI
Barisan Aritmetika


Sumber: m4th-lab.net
Barisan dan deret yang sudah kita pelajari sebelumnya akan kita bahas kembali pada materi kali ini.
Seperti yang Sobat Pintar ketahui bahwa suatu barisan ataupun deret terbentuk oleh aturan tertentu yang dikelompokkan menjadi dua, yaitu: Aritmetika dan Geometri.
Kita akan belajar mengenai barisan dan deret aritmetika terlebih dahulu ya, Sobat Pintar.
Barisan Aritmetika adalah barisan bilangan yang memiliki beda atau selisih tetap antara dua suku yang berurutan.
Rumus untuk menentukan suku ke-n dari barisan aritmetika dapat dituliskan:
Un = a + (n – 1)b
Keterangan:
Un = Suku ke-n
a = suku pertama
b = beda / selisih
n = banyaknya suku.
Beda atau selisih dari barisan aritmetika dapat dicari dengan cara:
b = Un – Un-1
Deret Aritmetika

Deret Aritmetika adalah penjumlahan suku-suku pada pada barisan aritmetika.
Deret Aritmetika dapat dinyatakan:
U1 + U2 + U3 + U4 + ...
Rumus untuk menentukan jumlah suku ke-n pada deret aritmetika, yaitu:

Keterangan:
Sn = jumlah n suku pertama
n = banyaknya suku
a = suku pertama
b = beda/selisih
Un = suku ke-n.
Contoh soal :
Mencari suku ke-n
Diketahui barisan aritmetika seperti berikut : 1, 3, 5, 7, 9, ....
Tentukan suku kesepuluh dari barisan di atas!
Jawab:
Diketahui : a = 1 dan b = 2.
Un = a + (n-1)b
U10 = 1 + (10-1)2
U10 = 1 + (9)2
U10 = 1 + 18
U10 = 19.
Mencari jumlah suku ke-n
Diketahui deret aritmetika seperti berikut : 2 + 5 + 8 + ... .
Tentukan jumlah 10 suku pertama dari deret di atas!
Jawab:
Diketahui : a = 2 dan b = 3.
Sn = n/2 (2a + (n – 1)b)
S10 = 10/2 (2(2) + (10 – 1)3)
S10 = 5 (4+ 27)
S10 = 5 (31)
S10 = 155.
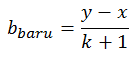
Suku Tengah dan Sisipan Bilangan pada Barisan Aritmetika

Suku tengah dari suatu barisan aritmetika yang berhingga dapat dicari dengan menggunakan rumus berikut:

dengan U2k-1 adalah letak suku tengah
Jika dalam suatu barisan aritmetika disisipkan k bilangan maka akan diperoleh beda yang baru, dapat ditentukan dengan cara berikut:

dengan y dan x adalah dua bilangan yang akan disisipkan k buah bilangan.
1.
Jawablah soal berikut!
Dari suatu barisan aritmetika, suku ketiga adalah 36, jumlah suku kelima dan ketujuh adalah 144. Jumlah sepuluh suku pertama deret tersebut adalah ….
A. 840
B. 660
C. 640
D. 630
E. 315
JAWABAN BENAR
B.
660
PEMBAHASAN
Diketahui barisan aritmatika :
U3 = a + 2b = 36 ................................(1)
U5 + U7 = 144
(a + 4b) + (a + 6b) = 144
2a + 10b = 144
a + 5b = 72 ..........................................(2)
Dari persamaan (1) dan (2), diperoleh a = 12 dan b = 12
Jumlah 10 suku pertama deret tersebut adalah
S10 =10/2 (2.12+(10-1)12)
=5(24+108)
= 5×132
=660
2.
Jawablah soal berikut!
Diketahui suatu barisan aritmatika dengan U3 + U9 + U11 = 75. Suku tengah barisan tersebut adalah 68 dan banyak sukunya 43, maka U43 adalah ....
A. 218
B. 208
C. 134
D. 132
E. 131
JAWABAN BENAR
E.
131
PEMBAHASAN
Diketahui barisan aritmatika :
U3 + U9 + U11 = 75
(a + 2b) + (a + 8b) + (a + 10b) = 75
3a + 20b = 75 .........................................(1)
Karena banyak suku barisan tersebut 43, maka suku tengahnya adalah suku ke (43 + 1)/2, yaitu: U22.
U22 = a + 21b = 68 ................................(2)
Dari persamaan (1) dan (2) diperoleh
a = 5 dan b = 3
U43 = a + 42b
U43 = 5 + 42(3)
U43 = 131
3.
Jawablah soal berikut!
Suku ketiga dan ketujuh dari suatu barisan aritmatika adalah 92 dan 76. Maka suku ke-15 pada barisan tersebut adalah....
A. 140
B. 100
C. 56
D. 44
E. 40
JAWABAN BENAR
D.
44
PEMBAHASAN
U3=92 ,U_7=76
Un=a+(n-1)b
U3=a+(3-1)b
92=a+2b………………(1)
U7=a+(7-1)b
76=a+6b…………..(2)
Menggunakan eliminasi dan substitusi pada persamaan (1) dan (2) untuk mencari nilai a dan b

Substitusikan b ke persamaan (1)
92=a+2.(-4)
92=a-8
a=92+8=100
Jadi U15 = a+(15-1)b
U15 = 100+(14)(-4)
U15 = 100 - 56 = 44
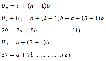
4.
Jawablah soal berikut!
Jumlah suku kedua dan kelima barisan artimatika adalah 29. Jika suku ke 8 = 37, maka suku ke 21 adalah ....
A. 102
B. 101
C. 100
D. 99
E. 98
JAWABAN BENAR
A.
102
PEMBAHASAN
U2+U5=29 ,U8=37

Menggunakan eliminasi dan substitusi pada persamaan (1) dan (2) untuk mencari nilai a dan b

Substitusikan b ke persamaan (2)
37=a+7.5
37=a-35
a=37-35=2
Jadi U21=a+(21-1)b
U15=2+20×5
U15=2+100=102
5.
Jawablah soal berikut!
Seorang penjahit akan diberikan upah sebesar Rp 25.000,00 pada pakaian pertama yang dihasilkan. Penjahit akan mendapatkan tambahan upah setiap menghasilkan pakaian baru dalam sehari. Jika dalam sehari penjahit bisa menyelesaikan 10 pakaian, Ia akan menerima upah Rp 475.000,00. Upah yang diterima penjahit jika Ia hanya bisa menyelesaikan 6 pakaian adalah ....
A. Rp 350.000,-
B. Rp 300.000,-
C. Rp 275.000,-
D. Rp 250.000,-
E. Rp 225.000,-
JAWABAN BENAR
A.
PEMBAHASAN

6.
Jawablah soal berikut!
Dari suatu barisan aritmetika, suku ketiga adalah 9, jumlah suku kelima dan ketujuh adalah 36. Jumlah sepuluh suku pertama deret tersebut adalah ….
A. 145
B. 150
C. 155
D. 160
E. 165
JAWABAN BENAR
E.
165
PEMBAHASAN
Diketahui barisan aritmatika :
U3 = a + 2b = 9 ................................(1)
U5 + U7 = 36
(a + 4b) + (a + 6b) = 36
2a + 10b = 36
a + 5b = 18 ..........................................(2)
Dari persamaan (1) dan (2), diperoleh a = 3 dan b = 3
Jumlah 10 suku pertama deret tersebut adalah
S10 =10/2 (2.3+(10-1)3)
=5(6+27)
= 5×33
= 165
7.
Jawablah soal berikut!
Diketahui suatu barisan aritmatika dengan U3 + U9 + U11 = 46. Suku tengah barisan tersebut adalah 44 dan banyak sukunya 43, maka U43 adalah ....
A. 84
B. 86
C. 88
D. 90
E. 92
JAWABAN BENAR
B.
86
PEMBAHASAN
Diketahui barisan aritmatika :
U3 + U9 + U11 = 46
(a + 2b) + (a + 8b) + (a + 10b) = 46
3a + 20b = 46 .........................................(1)
Karena banyak suku barisan tersebut 43, maka suku tengahnya adalah suku ke (43 + 1)/2, yaitu: U22.
U22 = a + 21b = 44 ................................(2)
Dari persamaan (1) dan (2) diperoleh
a = 2 dan b = 2
U43 = a + 42b
U43 = 2 + 42(2)
U43 = 86.
Oops!!!
Yah, jawaban kamu meleset nih. Ingin melihat pembahasan soal ini?
BENAR!!!
Selamat!
Jawaban kamu benar. Ingin lihat pembahasan soal ini?
footer_v3
Bersama Aku Pintar temukan jurusan kuliah yang tepat
sesuai minat dan bakatmu.
Aku Pintar memiliki visi membuat pendidikan merata, mudah dijangkau, dan terjangkau dengan Program Journey Pintar yang merupakan sebuah program persiapan lengkap bagi siswa SMA/SMK/sederajat yang ingin masuk ke perguruan tinggi impiannya.
Kontak Kami
Grand Slipi Tower Lt. 42
Jl. S. Parman Kav 22-24
Jakarta Barat
© 2024 Aku Pintar. All Rights Reserved