Belajar Pintar Materi SMP, SMA, SMK
BelajarPintarV3
Matematika Wajib
Fungsi
MATERI
Fungsi Komposisi

KONSEP OPERASI KOMPOSISI
Suatu fungsi dapat digabungkan menjadi fungsi yang baru dengan syarat tertentu yaitu operasi komposisi. Operasi komposisi dilambangkan dengan “o” (komposisi/bundaran).
Fungsi komposisi yang dapat dibentuk dari dua fungsi f(x) dan g(x), yaitu:
- (g o f) artinya fungsi f disubtitusikan pada fungsi g
- (f o g) artinya fungsi g disubtitusikan pada fungsi f

Jika f:A -> B dan g:B -> C, maka h:A -> C atau h: x -> g(f(x))
Jadi, secara sistematis dapat dirumuskan:
h(x) = (g o f)(x) = g(f(x))
Catatan:
Tidak semua fungsi dapat dikomposisikan. Dua fungsi dapat digabungkan apabila memenuhi syarat berikut:
- Jika daerah hasil f merupakan himpunan bagian dari daerah asal g

- Jika daerah hasil f dengan daerah asal g diiriskan, hasilnya bukan himpunan kosong

MENENTUKAN KOMPONEN FUNGSI APABILA DIKETAHUI ATURAN FUNGSINYA
Jika menentukan komposisi dari dua fungsi tinggal disubstitusikan, untuk menentukan salah satu fungsi jika diketahui komponen fungsinya dapat menggunakan cara-cara pada contoh berikut:
Jika diketahui f(x) dan g(x) pada R dengan f(x)=x2 – 4. Tentukan rumus fungsi g(x) jika diketahui :
- (f o g)(x) = 4x2 + 4x – 3
- (g o f)(x) = 2x2 – 7
Pembahasan
- (f o g)(x) = 4x2 + 4x – 3
f(g(x)) = 4x2 + 4x – 3
(g(x))2 – 4 = 4x2 + 4x – 3
(g(x))2 = 4x2 + 4x –3 + 4
(g(x))2 = 4x2 + 4x +1
(g(x))2 = (2x+1)2
g(x) = 2x+1
- Misal : g(x)=ax+b
g(f(x)) = 2x2 – 7
g(x2 – 4) = 2x2 – 7
a(x2 – 4) + b = 2x2 – 7
ax2 – 4a + b = 2x2 – 7
a = 2
– 4a + b = – 7
– 4.2 + b = – 7
– 8 + b = – 7
b = 8 – 7 = 1
Jadi, g(x) = ax+b = 2x+1
SIFAT-SIFAT OPERASI KOMPOSISI FUNGSI
Fungsi Komposisi memiliki beberapa sifat, diantaranya:
1). Tidak Berlaku Sifat Komutatif
(g o f)(x) tidak sama dengan (f o g)(x)
2). Berlaku Sifat Asosiatif
(f o (g o h))(x) = ((f o g) o h)(x)
3). Terdapat Fungsi Identitas f(x) = x
(f o I)(x) = (I o f)(x) = f(x)
Fungsi Invers

KONSEP FUNGSI INVERS
Invers disebut juga dengan balikan. Invers fungsi f disimbolkan dengan f-1. Secara matematis, invers dapat didefinisikan:
Jika f:A -> B yang mempunyai peta f(a) = b, maka invers dari fungsi f yaitu (f-1):B -> A yang mempunyai peta f(b)=a

Daerah asal dari fungsi f merupakan daerah hasil pada fungsi f-1. Sedangkan daerah asal dari fungsi f-1 merupakan daerah hasil pada fungsi f.
Jika digambarkan pada koordinat kartesius, grafik fungsi invers merupakan pencerminan dari grafik fungsinya terhadap garis y = x.

Catatan:
Jika f adalah fungsi dari A ke B, maka f-1 adalah fungsi invers f dari B ke A jika dan hanya jika f merupakan fungsi satu-satu (bijektif).
RUMUS FUNGSI INVERS
Jika suatu fungsi mempunyai invers, maka fungsi inversnya dapat dicari dengan menggunakan dua cara, yaitu:
- Membalik anak panah fungsi semula (apabila diagram panahnya diketahui)
- Menggunakan prinsip, jika y = f(x), maka x = f-1(y)
Langkah-langkah menentukan invers dengan prinsip jika y = f(x), maka x = f-1(y):
- Nyatakan persamaan fungsinya y = f(x)
- Carilah x dalam y, kemudian namakan persamaan tersebut dengan x = f-1(y)
- Ganti x dengan y dan y dengan x sehingga menjadi y = f-1(x)
Terdapat rumus cepat untuk menentukan invers dari beberapa bentuk fungsi, antara lain:

FUNGSI INVERS DARI FUNGSI KOMPOSISI

Berdasarkan diagram diatas, dapat dinyatakan:
Fungsi invers dari (g o f)(a) = c adalah (g o f)-1(c) = a
SIFAT-SIFAT FUNGSI INVERS
Jika f dan g merupakan dua fungsi yang memiliki invers dan komposisi fungsi, maka berlaku:
- (f-1)-1(x) = f(x)
- (f o f-1)(x) = (f-1 o f)(x) = I(x) = x; dengan I = fungsi identitas
- (f o g)-1(x) = (g-1 o f-1)(x)
Catatan:
(f o g) -1(x) tidak sama dengan (f o g-1)(x)
1.
Jawablah soal berikut!
Jika f(x)=2x+1 maka f-1(64)= ….
A. 1
B. 2
C. 3
D. 4
E. 5
JAWABAN BENAR
E.
5
PEMBAHASAN
f(x)=2x+1
y=2x+1
log y = x+1log y
x+1=2log y
x=2log y -1
f-1(x)=2log x -1
f-1(64)=2log 64 -1
=6-1
=5
2.
Jawablah soal berikut!

A.

B.

C.

D.

E.

JAWABAN BENAR
E.
PEMBAHASAN

3.
Jawablah soal berikut!
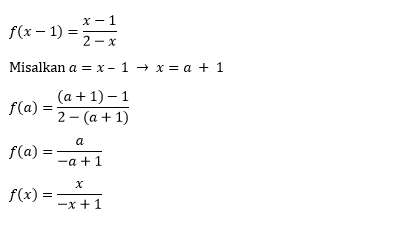
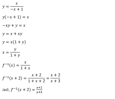
Jika (g o f)(x) = 4x2 + 4 , g(x) = x2 - 1, maka f(x - 2) adalah ….
A. 2x+1
B. 2x-1
C. 2x+2
D. 2x-2
E. 2x-3
JAWABAN BENAR
E.
2x-3
PEMBAHASAN
(g o f)(x)=4x2+4
f(x)2-1=4x2+4
f(x)2=4x2+4+1
f(x)=2x+1
f(x-2)=2(x-2)+1
f(x-2)=2x-4+1=2x-3
4.
Jawablah soal berikut!

A.

B.

C.

D.

E.

JAWABAN BENAR
A.
PEMBAHASAN

5.
Jawablah soal berikut!
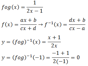
Jika f(x)=1/x dan g(x)=2x-1, maka titik (x,y) yang memenuhi y=(f o g)-1(-1) adalah ….
A. (0,2)
B. (1,0)
C. (2,-2)
D. (-1,0)
E. (-2,1)
JAWABAN BENAR
D.
(-1,0)
PEMBAHASAN

6.
Jawablah soal berikut!
Fungsi f:R -> R dan g:R -> R dinyatakan oleh g(x) = 3x+2 dan (f o g)(x)= 6x-4. Jika f-1 invers fungsi f, nilai f-1(-4) adalah...
A. 1
B. 2
C. 3
D. 4
E. 5
JAWABAN BENAR
B.
2
PEMBAHASAN
(f o g)(x)=6x – 4
f(g(x))=6x – 4
f(3x + 2)=... (3x + 2) ± ...
Coba kita lakukan oret2an pada ruas kanan agar menghasilkan 6x – 4
oret2an : 6x + 4 – 8
f(3x + 2)=2(3x + 2) – 8
f(x)=2x – 8
y=2x – 8
2x=y + 8
x=(y + 8)/2
f-1(x)=(x + 8)/2
f-1(-4)=(– 4 + 8)/2=(4)/2=2
Jadi, nilai f-1 (-4) adalah 2.
7.
Jawablah soal berikut!

A.

B.

C.

D.

E.
JAWABAN BENAR
C.
PEMBAHASAN


Oops!!!
Yah, jawaban kamu meleset nih. Ingin melihat pembahasan soal ini?
BENAR!!!
Selamat!
Jawaban kamu benar. Ingin lihat pembahasan soal ini?
footer_v3
Bersama Aku Pintar temukan jurusan kuliah yang tepat
sesuai minat dan bakatmu.
Aku Pintar memiliki visi membuat pendidikan merata, mudah dijangkau, dan terjangkau dengan Program Journey Pintar yang merupakan sebuah program persiapan lengkap bagi siswa SMA/SMK/sederajat yang ingin masuk ke perguruan tinggi impiannya.
Kontak Kami
Grand Slipi Tower Lt. 42
Jl. S. Parman Kav 22-24
Jakarta Barat
© 2024 Aku Pintar. All Rights Reserved