Belajar Pintar Materi SMP, SMA, SMK
BelajarPintarV3
Matematika Wajib
Fungsi
MATERI
Fungsi


Sumber: Pngdownload.id
Sobat Pintar pasti pernah mengetahui cara kerja suatu mesin, bukan?
Jika bahan baku dimasukkan ke dalam mesin maka mesin akan memprosesnya dan menghasilkan suatu produk baru. Nah! Dalam materi matematika juga ada loh yang konsepnya sama dengan mesin.
Yap! Fungsi.
Fungsi memiliki konsep seperti mesin lho, sobat! Jadi daerah asal fungsi sebagai bahan bakunya dan daerah hasil sebagai produknya.
Kita pelajari lebih lanjut materi fungsi yuk!
RELASI
Sobat pintar masih ingat tidak apa itu relasi?
Relasi menyatakan hubungan antara anggota himpunan dengan anggota himpunan lain. Himpunan A dan Himpunan B dikatakan memiliki relasi jika terdapat anggota himpunan yang saling berpasangan dengan hubungan tertentu
Relasi antara dua himpunan dapat dinyatakan dengan tiga cara yaitu:
a) Diagram Panah

b) Himpunan Pasangan Berurutan
K = {(1,2),(2,4),(3,6),(4,8),(5,10)
c) Diagram Kartesius

FUNGSI
Fungsi (pemetaan) adalah relasi dari himpunan A ke himpunan B, jika terdapat setiap anggota berpasangan tepat satu anggota himpunan B. Semua anggota himpunan A disebut domain (daerah asal), semua anggota himpunan B disebut kodomain (daerah kawan) dan hasil dari pemetaan himpunan A dan himpunan B adalah daerah hasil (range). Sama seperti relasi, fungsi juga dapat dinyatakan dalam bentuk diagram panah, diagram kartesius, dan himpunan pasangan berurutan
Suatu fungsi secara sistematis dapat dituliskan:
f:x -> ax+b (fungsi f memetakan x ke ax+b)
atau
f(x) = ax+b (fungsi dalam x)
atau
y= ax+b (y adalah fungsi dari x)
Catatan
Jika f(x)=y, maka y merupakan bayangan x (image), sedangkan x merupakan prabayangan dari y (pra-image)
Fungsi dapat disajikan dalam bentuk:
- diagram panah
- diagram cartesius
- himpunan pasangan berurutan
DOMAIN, KODOMAIN DAN RANGE FUNGSI
Jika f adalah suatu fungsi dari A ke B, maka himpunan A disebut domain (daerah asal) dan himpunan B disebut kodomain (daerah kawan). Sedangkan himpunan B yang berpasangan (himpunan C) disebut range (hasil) fungsi f.
Aturan yang memasangkan anggota himpunan A dengan anggota-anggota himpunan B disebut aturan fungsi f.

Domain suatu fungsi dapat ditetapkan secara jelas (eksplisit). Jika domain tidak ditetakan dengan jelas, maka digunakan kesepakatan bahwa domainnya merupakan himpunan bilangan real.
Syarat yang harus dipenuhi agar suatu fungsi terdefinisi (memiliki daerah hasil di himpunan bilangan real), yaitu:
- fungsi dalam akar

- fungsi pecahan

- fungsi pecahan, dimana penyebutnya merupakan fungsi lain dalam bentuk akar

- fungsi logaritma
Jika f(x) = g(x) log h(x), maka h(x)>0, g(x)>0 dan g(x) tidak sama dengan 1
GRAFIK FUNGSI
Suatu fungsi dari himpunan A ke himpunan B dapat dbuat grafik pemetaannya dengan menggunakan diagram cartesius. Grafik suatu fungsi dapat berupa garis lurus maupun kurva.
Langkah-langkah menggambar grafik fungsi pada koordinat cartesius, yaitu:
- Tentukan domain (jika belum diketahui secara pasti, pilih beberapa bilangan bulat disekitar nol)
- Tentukan pasangan berurutan dari fungsi tersebut
- Gambar pasangan berurutan sebagai titik pada koordinat cartesius
- Hubungkan titik-titik yang sudah digambar pada koordinat cartesius
Berdasarkan grafik suatu fungsi, dapat ditentukan domain dan range nya. Domain fungsi terletak pada sumbu x, sedangkan kodomain fungsi terletak pada sumbu y.
OPERASI ALJABAR FUNGSI
Pada dua atau lebih fungsi dapat dilakukan operasi aljabar seperti penjumlahan, pengurangan, perkalian dan pembagian.
Operasi aljabar yang berlaku pada fungsi, antara lain:

Contoh Soal Operasi Fungsi
CONTOH SOAL 1: Penjumlahan Dua Fungsi
Jawablah soal berikut ini!

Pembahasan
(f+g)(x)=f(x)+g(x)
=(x2+2x-3)+(x-1)
=x2+3x-4
Jadi, nilai (f+g)(x) adalah x2+3x-4
CONTOH SOAL 2: Selisih Dua Fungsi
Jawablah soal berikut ini!

Pembahasan
(f-g)(x)=f(x)-g(x)
= (2x-6)-(x-4)
=x-2
Jadi, nilai (f-g)(x) adalah x-2
CONTOH SOAL 3: Perkalian Dua Fungsi
Jawablah soal berikut ini!

Pembahasan
(f×g)(x)=f(x)×g(x)
=(x+5)×(3x-7)
=3x2+8x-35
Jadi, nilai (f×g)(x) adalah 3x2+8x-35
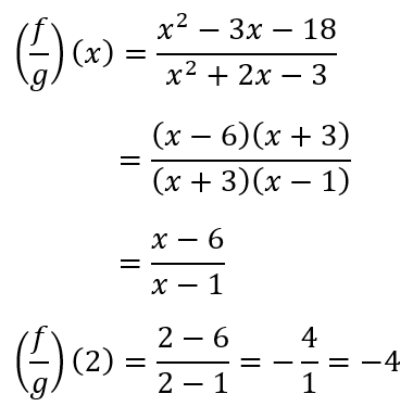
CONTOH SOAL 4: Pembagian Dua Fungsi
Jawablah soal berikut ini!

Pembahasan

Jenis-Jenis Fungsi

Fungsi Linear
Pasti sobat tidak asing lagi kan dengan fungsi linear. Fungsi linear merupakan suatu fungsi yang memiliki variabel dengan pangkat tertinggi satu atau suatu fungsi yang grafiknya merupakan garis lurus.
Bentuk umum fungsi linear:
f(x) =ax+b
Yuk kita simak, bagaimana langkah untuk menentukan grafik serta menentukan domain dan range dari fungsi kuadrat
Grafik Fungsi Linear
Langkah-langkah menggambar grafik fungsi linear
- Menentukan titik potong fungsi dengan sumbu X (y=0) sehingga dipeoleh koordinat A(x,0)
- Menentukan titik potong fungsi dengan sumbu Y(x=0) sehingga diperoleh koorinat B(0,y)
- Menghubungkan kedua titik A dan B sehingga membentuk garis lurus
Menentukan Domain dan Range
Untuk memudahkan menentukan domain dan range dari fungsi f(x) = ax2+bx+c maka akan dibuat sketsanya terlebih dahulu

Fungsi Kuadrat
Fungsi kuadrat adalah suatu fungsi yang memiliki variabel dengan pangkat tertinggi dua. Bentuk umum fungsi kuadrat adalah

Grafik Fungsi Kuadrat
Langkah-langkah menggambar grafik fungsi kuadrat.
- Menentukan titik potong dengan sumbu X. Titik potong dengan sumbu X diperoleh jika y = 0 atau ax2+bx+c
- Menentukan titik potong dengan sumbu Y. Titik potong dengan sumbu Y diperoleh jika x = 0.
- Menentukan koordinat titik balik.
a). Persamaan sumbu simetri: x=-b/2a
b). Nilai ekstrem: y= -D/4a
Menentukan Domain dan Range
Untuk memudahkan menentukan domain dan range dari fungsi f(x) = ax2+bx+c maka akan dibuat sketsanya terlebih dahulu

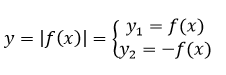
Fungsi Mutlak
Fungsi nilai mutlak adalah suatu fungsi yang aturannya memuat nilai mutlak. Nilai mutlak suatu bilangan real x, dinyatakan dengan |x|, didefinisikan sebagai:

Bagaimana caranya untuk menggambar grafik nilai mutlak?
Untuk menggambar grafik fungsi nilai mutlak y=|f(x)| berdasarkan
Pengertian nilai mutlak diatas, yakni

Diperlukan langkah-langkah sebagai berikut :
(1) Menentukan nilai x untuk f(x) = 0, yakni nilai x yang menjadi batas perubahan positif ke negatif atau sebaliknya.
(2) Pada daerah positif, gambar grafik fungsi y1 = f(x)
(3) Untuk daerah negatif, gambar grafik fungsi y2 = –f(x).
Kita akan mencoba menggambar grafik fungsi f(x) = |x|, dengan mengikuti langkah-langkah di atas.
Nilai x yang menjadi batas perubahan positif ke negatif atau sebaliknya adalah x = 0, yaitu pusat titik O(0, 0). Sehingga daerah sebelah kanan x = 0 merupakan daerah positif dengan fungsi y1 = x dan daerah sebelah kiri x = 0 merupakan daerah negatif dengan fungsi y1 = –x. Gambar grafiknya adalah sebagai berikut :

Berdasarkan definisi dan gambar grafik di atas dapat disimpulkan bahwa harga |x| pada dasarnya menyatakan bersar simpangan dari titik x = 0
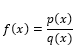
Fungsi Rasional
Fungsi rasional merupakan fungsi yang mempunyai bentuk umum

Dimana p(x) dan q(x) adalah fungsi polinom dengan q(x) tidak sama dengan 0
Menggambar Grafik dan menentukan Domain serta Range dari fungsi Rasional

1). Langkah-Langlah Menggambar Grafik Fungsi

2). Menentukan Domain dan Range

3). Garis dengan Hiperbola Ortogonal


1). Langkah-Langlah Menggambar Grafik Fungsi

2) Menentukan Domain dan Range

FUNGSI IRASIONAL
Fungsi irasional adalah fungsi yang domainnya terletak dibawah tanda akar atau suatu fungsi yang variabel bebasnya terdapat dibawah tanda akar. Bentuk umum fungsi Irasional adalah

Contoh fungsi irasional

a). Bentuk-Bentuk Fungsi Irasional

b). Langkah Menggambar Sketsa Grafik Fungsi Irasional
- Menentukan syarat di bawah akar
- Mengkuadratkan kedua ruas dari persamaan yang diberikan
- Persamaan yang diperoleh diubah dalam bentuk x = f(y)
- Mengambil titik uji pada sumbu y
- Substitusikan titik uji persamaan x = f(y)
- Setelah memperoleh titik-titik (x,y) gambarkan sketsa grafiknya
- Grafiknya adalah sebagai berikut

Sifat-Sifat Fungsi

1) Fungsi Injektif (Satu-Satu atau Into)
Fungsi f: A -> B dikatakan fungsi injektif apabila, Jika dan hanya jika anggota kodomain hanya dipasangkan satu kali dengan anggota domain.
Lalu, Pada fungsi injektif, anggota himpunan daerah kodomain boleh tidak memiliki pasangan, namun semua anggota kodomain yang terpasangkan hanya ada satu, tidak boleh ada yang lebih dari satu.

2) Fungsi Surjektif (Pada atau Onto)
Fungsi surjektif adalah fungsi dengan semua elemen kodomain berelasi dengan elemen domain. Ciri-ciri fungsi surjektif adalah anggota kodomainnya boleh memiliki pasangan lebih dari satu namun tidak boleh ada anggota kodomain yang tidak dipasangkan. Fungsi surjektif biasanya dipenuhi apabila jumlah anggota kodomain sama atau lebih sedikit dari anggota domain.

3). Fungsi Bijektif
Fungsi bijektif adalah fungsi yang memenuhi sifat injektif dan surjektif. Fungsi bijektif juga disebut fungsi korespondensi satu-satu, karena elemen domain dan kodomain semuanya berelasi satu-satu.

1.
Jawablah soal berikut!

A.

B.

C.

D.

E.

JAWABAN BENAR
B.
PEMBAHASAN

2.
Jawablah soal berikut!

A. 4
B. 3
C. 1
D. -3
E. -4
JAWABAN BENAR
E.
-4
PEMBAHASAN

3.
Jawablah soal berikut!
Jika (f+g)(x)=3x2+4x-6 dan g(x)=x2+4x. Maka f(x) adalah ....
A. 2x2+6
B. x2-6
C. 4x2-6
D. 2x2-6
E. 4x2+6
JAWABAN BENAR
D.
2x2-6
PEMBAHASAN
(f+g)(x)=3x2+4x-6
f(x)+g(x)=3x2+4x-6
f(x)+x2+4x=3x2+4x-6
f(x)= 3x2+4x-6-(x2+4x)
f(x)= 2x2-6
4.
Jawablah soal berikut!

A.

B.

C.

D.

E.

JAWABAN BENAR
B.
PEMBAHASAN

5.
Jawablah soal berikut!
Jika f(x)=4x, maka untuk setiap x berlaku f(x+1)-f(x)= ….
A. f(x)
B. 2f(x)
C. 3f(x)
D. f(x-1)
E. 3f(x-1)
JAWABAN BENAR
C.
3f(x)
PEMBAHASAN
f(x+1)-f(x)=4(x+1)-4x
=4×4x-4x
=3×4x
=3f(x)
6.
Jawablah soal berikut!
Grafik fungsi f(x) = x2-4x+3
A.

B.

C.

D.

E.

JAWABAN BENAR
E.
PEMBAHASAN
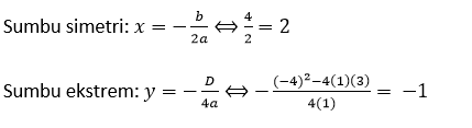
Langkah awal adalah menentukan titik potong sumbu x dan sumbu y
Titik potong dengan sumbu x, y=0
y=x2-4x+3
<=> 0 = x2-4x+3
<=> 0 = (x-3)(x-1)
<=> x=3 atau x=1
Jadi, titik potong sumbu y adalah (3,0) dan (1,0)
Selanjutnya, menentukan titik potong sumbu y, x=0
y = 02-4(0)+3
<=> y=3
Jadi, titik potongsumbu x (0,3)
Setelah itu, menentukan koordinat titik balik

Jadi, titik baliknya adalah (2,-1)
Maka, grafik fungsi kuadratnya adalah

7.
Jawablah soal berikut!
Grafik fungsi f(x)=2x-1 adalah....
A.

B.

C.

D.

E.

JAWABAN BENAR
B.
PEMBAHASAN
Menentukan titik potong grafik dengan sumbu x dan sumbu y
Titik potong sumbu x
y=2x-1
<=> 0 = 2x-1
<=> 2x = 1
<=> x = 1/2
Jadi, titik potong sumbu x adalah (1/2, 0)
Titik potong sumbu y
y=2x-1
<=> y = 2(0) -1
<=> y = -1
Jadi, titik potong sumbu y adalah (0,-1)
maka, grafik fungsi linearnya adalah

Oops!!!
Yah, jawaban kamu meleset nih. Ingin melihat pembahasan soal ini?
BENAR!!!
Selamat!
Jawaban kamu benar. Ingin lihat pembahasan soal ini?
footer_v3
Bersama Aku Pintar temukan jurusan kuliah yang tepat
sesuai minat dan bakatmu.
Aku Pintar memiliki visi membuat pendidikan merata, mudah dijangkau, dan terjangkau dengan Program Journey Pintar yang merupakan sebuah program persiapan lengkap bagi siswa SMA/SMK/sederajat yang ingin masuk ke perguruan tinggi impiannya.
Kontak Kami
Grand Slipi Tower Lt. 42
Jl. S. Parman Kav 22-24
Jakarta Barat
© 2024 Aku Pintar. All Rights Reserved