Belajar Pintar Materi SMP, SMA, SMK
BelajarPintarV3
Matematika Wajib
Integral
MATERI
Konsep Integral Tentu

Jika fungsi f terdefinisi pada interval [a,b] maka
disebut integral tertentu fungsi f dar a ke b. Dimana f(x) disebut integran, a disebut batas bawah, dan b disebut batas atas. Integral Tentu ini memiliki perbedaan dengan integral tak tentu yaitu sudah memiliki nilai tertentu karena sudah ditentukan batasannya.
Rumus dasar integral tentu :

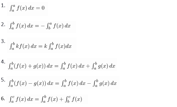
Sifat-Sifat Integral Tentu

Berikut merupakan sifat-sifat integral tentu :

1.
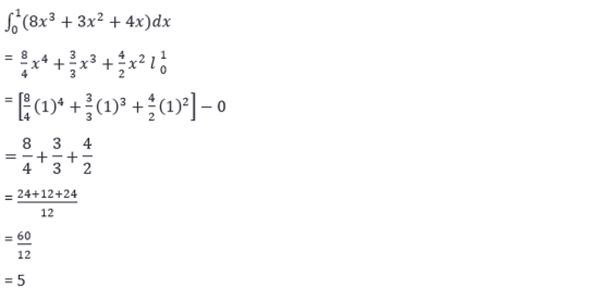
Jawablah soal berikut!
![]()
A. 15
B. 16
C. 17
D. 18
E. 19
JAWABAN BENAR
C.
17
PEMBAHASAN
Menggunakan rumus dasar integral tentu,
![]()
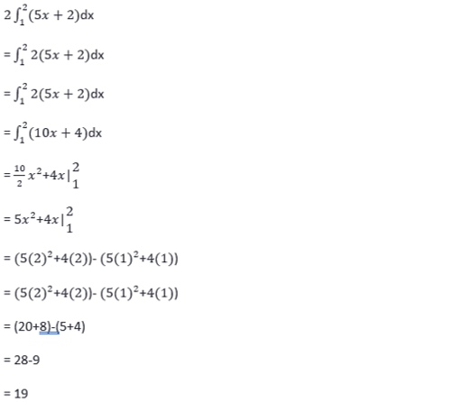
2.
Jawablah soal berikut!
![]()
A. 5
B. 4
C. 3
D. 2
E. 1
JAWABAN BENAR
A.
5
PEMBAHASAN
Menggunakan rumus dasar integral tentu,

Jadi, hasilnya adalah 5.
3.
Jawablah soal berikut!
![]()
A. 15
B. 16
C. 17
D. 18
E. 19
JAWABAN BENAR
E.
19
PEMBAHASAN
Berdasarkan sifat integral tentu,

Jadi, hasilnya adalah 19.
Oops!!!
Yah, jawaban kamu meleset nih. Ingin melihat pembahasan soal ini?
BENAR!!!
Selamat!
Jawaban kamu benar. Ingin lihat pembahasan soal ini?
footer_v3
Bersama Aku Pintar temukan jurusan kuliah yang tepat
sesuai minat dan bakatmu.
Aku Pintar memiliki visi membuat pendidikan merata, mudah dijangkau, dan terjangkau dengan Program Journey Pintar yang merupakan sebuah program persiapan lengkap bagi siswa SMA/SMK/sederajat yang ingin masuk ke perguruan tinggi impiannya.
Kontak Kami
Grand Slipi Tower Lt. 42
Jl. S. Parman Kav 22-24
Jakarta Barat
© 2024 Aku Pintar. All Rights Reserved