Belajar Pintar Materi SMP, SMA, SMK
BelajarPintarV3
Fisika
Gelombang Cahaya
MATERI
Pengertian Interferensi Cahaya
Interferensi adalah paduan dua gelombang atau lebih menjadi satu gelombang baru. Interferensi terjadi jika terpenuhi dua syarat berikut ini :
- Kedua gelombang cahaya harus koheren, dalam arti bahwa kedua gelombang cahaya harus memiliki beda fase yang selalu tetap, oleh sebab itu keduanya harus memiliki frekuensi yang sama.
- Kedua gelombang cahaya harus memiliki amplitudo yang hampir sama.

​
​​
Interferensi Celah Ganda

Fenomena interferensi cahaya ditunjukkan oleh percobaan yang dilakukan oleh Thomas Young. Berkas cahaya yang melalui celah S1 dan S2 berasal dari celah sempit S0, tampak pada gambar dibawah ini.

Jika berkas cahaya melalui S1 dan S2, maka celah tersebut (S1 dan S2) akan berfungsi sebagai sumber cahaya baru dan menyebarkan sinarnya ke segala arah. Apabila cahaya dari celah S1 dan S2 berinterferensi, maka akan terbentuk suatu pola interferensi. Pola interferensi tersebut dapat ditangkap pada layar berupa pola garis terang dan gelap. Interferensi dapat terjadi karena adanya beda lintasan berkas cahaya dari S1 dan S2. Jika jarak antara kedua celah (d), jauh lebih kecil daripada jarak celah terhadap layar, l (d << l ), maka beda lintasan pada titik sembarang P adalah S2P – S1P = d sin
Interferensi Maksimum
Apabila dua gelombang bertemu, dan saling menguatkan, maka akan terjadi interferensi maksimum dan terbentuk pola garis terang. Pada celah ganda, interferensi ini akan terjadi apabila kedua gelombang memiliki fase yang sama (sefase), yaitu apabila keduanya berfrekuensi sama dan titik-titik yang bersesuaian berada pada tempat yang sama selama osilasi pada saat yang sama.


Jarak garis terang ke-n dari pusat terang dinyatakan dengan persamaan :

Karena l >> d, maka sudut sangat kecil, sehingga berlaku pendekatan :

Jadi, persamaan dapat dituliskan menjadi:


Interferensi Minimum
Interferensi maksimum terjadi jika dua gelombang bertemu dan saling menguatkan. Namun, jika dua gelombang tidak bertemu, dan akan saling meniadakan maka terjadi interferensi minimum, sehingga terbentuk pola garis gelap. Interferensi ini terjadi pada dua gelombang yang tidak sefase. Jarak garis gelap ke-n dari pusat terang adalah:

Bilangan n menyatakan orde atau nomor gelap, yang besarnya n = 1, 2, 3, ... . Untuk n = 1 disebut minimum orde ke-1.
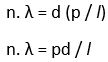
Mengingat sin = p / l
maka persamaan menjadi:

dengan p adalah jarak gelap ke-n dari pusat terang. Pada interferensi celah ganda, jarak dua garis terang yang berurutan sama dengan jarak dua garis gelap yang berurutan sehingga diperoleh:

Untuk dua garis terang mapun dua garis gelap berurutan dapat dikatakan ikatakan nilai n=1, sehingga jarak antara dua garis terang maupun jarak antara dua garis gelap berurutan dapat diperoleh dengan persamaan:

Interferensi pada Lapisan Tipis

Sobat Pintar, dalam kehidupan sehari-hari kita sering melihat fenomena yang ditimbulkan oleh interferensi cahaya. Sebagai contoh timbulnya garis-garis berwarna yang tampak pada lapisan tipis minyak tanah yang tumpah di permukaan air, warna-warni yang terlihat pada gelembung sabun yang mendapat sinar matahari, serta timbulnya warna-warni pada cakram padat (compact disc).

Pola interferensi pada lapisan tipis dipengaruhi oleh dua faktor, yaitu panjang lintasan optik dan perubahan fase sinar pantul.

Dari gambar diatas, sinar AB merupakan sinar monokromatik yang datang pada permukaan pelat tipis. Sebagian sinar AB dipantulkan oleh permukaan bidang batas udara dan pelat (sinar BE) dan sebagian lagi dibiaskan ke dalam medium pelat (sinar BC). Sinar BC dipantulkan oleh permukaan bidang batas pelat dan udara (sinar CD). Sinar CD dipantulkan oleh permukaan atas dan sebagian lagi dibiaskan keluar film (sinar DF). Sinar BE dan DF datang bersamaan di mata kita.
Sinar datang dengan sudut datang i pada lapisan tipis dengan ketebalan d dan indeks bias n, sehingga sinar mengalami pemantulan dan pembiasan dengan sudut bias r. Dengan mempertimbangkan kedua faktor di atas, dapat ditentukan syarat-syarat terjadinya interferensi berikut ini :
a. Syarat terjadinya interferensi maksimum (terang)

dengan m = 1, 2, 3, ....
b. Syarat terjadinya interferensi minimum (gelap)

dengan m = 0, 1, 2, ....
Cincin Newton

Cincin Newton adalah pola interferensi yang terbentuk oleh sebuah lensa yang sedikit cembung yang diletakkan di atas sebuah keping gelas datar. Bila cahaya monokromatik dipantulkan oleh kedua permukaan yang berdekatan ke mata pengamat dengan sudut tertentu, titik singgung lensa akan terlihat sebagai sebuah lingkaran gelap dikelilingi sederet cincin terang dan gelap.

Gambar 1. Cincin Newton untuk Memperagakan Interferensi
Pola interferensi cincin Newton ini terjadi jika cahaya dengan panjang gelombang , datang dari atas dengan arah tegak lurus. Jika R adalah jari-jari kelengkungan lensa dan r adalah jari-jari kelengkungan gelap dan terang hasil interferensi, maka akan terjadi hal-hal berikut ini :

Gambar 2. Pola Interferensi Cincin Newton terjadi jika cahaya datang dari atas dengan arah tegak lurus.
a. Interferensi maksimum (lingkaran terang), jika:
; n = 1, 2, 3, ....
dengan rt adalah jari-jari lingkaran terang ke-n.
b. Interferensi minimum (lingkaran gelap), jika:
; n = 0, 1, 2, ....
dengan rg adalah jari-jari lingkaran gelap ke-n.
1.
Pada percobaan interferensi gelombang cahaya young, saat jarak antara dua celahnya dimanipulasi menjadi dua kali jarak semula, jarak antara dua orde garis gelap yang berurutan menjadi sebesar….
A. 2 kali semula
B. 4 kali semula
C. 1/4 kali semula
D. 1/2 kali semula
E. tetap seperti semula
JAWABAN BENAR
D.
1/2 kali semula
PEMBAHASAN

2.
Dalam melakukan percobaan Young, untuk memperkecil jarak dua garis terang yang berdekatan dapat dilakukan dengan cara :
- memperbanyak orde garis terang
- memperbesar jarak antar dua celah
- menjauhkan layar dari celah
- mengganti cahaya yang panjang gelombangnya lebih kecil
A. 1, 2, 3 dan 4 benar
B. 1, 2, 3 benar
C. 1 dan 3 benar
D. 2 dan 4 benar
E. 4 benar
JAWABAN BENAR
D.
2 dan 4 benar
PEMBAHASAN
Memperbesar jarak antar dua celah dan mengganti cahaya yang panjang gelombangnya lebih kecil dapat memperkecil jarak dua garis terang yang berdekatan pada percobaan Young
3.
Sinar secara tegak lurus mengenai dua celah sempit yang terpisah jarak 0,02 cm. Garis terang ketiga terletak 0,75 mm dari garis terang pusat pada layar yang terletak pada jarak 1 m di depan celah tersebut. Panjang gelombang sinar yang mengenai dua celah tersebut adalah….
A. 2,5 x 10 mm
B. 5,0 x 10 mm
C. 1,5 x 10 mm
D. 2,5 x 10 mm
E. 5,0 x 10 mm
JAWABAN BENAR
C.
1,5 x 10 mm
PEMBAHASAN

4.
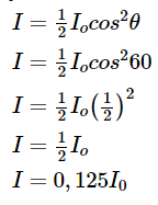
Sudut kedua ssumbu polarisasi pada kedua polaroid adalah 60o. Tentukan intensitas cahaya yang diteruskan oleh polaroid pertama Io !
A. 0,125 Io
B. 0,250 Io
C. 0,5 Io
D. 1,5 Io
E. 2,0 Io
JAWABAN BENAR
A.
0,125 Io
PEMBAHASAN

5.
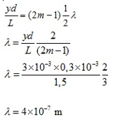
Berkas sinar monokromatis dilewatkan pada sebuah celah sempit dengan lebar celah 0,3 mm sinar mengalami difraksi terang kedua terukur berjarak 3 mm dari terang pusat, jarak celah ke layar 1,5 meter. Besar panjang gelombang sinar yang dipakai ?
A. 2 x 10-7 m
B. 4 x 10-7 m
C. 6 x 10-7 m
D. 8 x 10-7 m
E. 9 x 10-7 m
JAWABAN BENAR
B.
4 x 10-7 m
PEMBAHASAN

Oops!!!
Yah, jawaban kamu meleset nih. Ingin melihat pembahasan soal ini?
BENAR!!!
Selamat!
Jawaban kamu benar. Ingin lihat pembahasan soal ini?
footer_v3
Bersama Aku Pintar temukan jurusan kuliah yang tepat
sesuai minat dan bakatmu.
Aku Pintar memiliki visi membuat pendidikan merata, mudah dijangkau, dan terjangkau dengan Program Journey Pintar yang merupakan sebuah program persiapan lengkap bagi siswa SMA/SMK/sederajat yang ingin masuk ke perguruan tinggi impiannya.
Kontak Kami
Grand Slipi Tower Lt. 42
Jl. S. Parman Kav 22-24
Jakarta Barat
© 2024 Aku Pintar. All Rights Reserved