Belajar Pintar Materi SMP, SMA, SMK
BelajarPintarV3
Fisika
Rangkaian Arus Bolak Balik
MATERI
Arus Dan Tegangan Bolak-Balik

Arus bolak-balik atau alternating current (AC) merupakan arus dan tegangan listrik yang besarnya berubah terhadap waktu dan mengalir dalam dua arah. Arus bolak-balik biasanya dimanfaatkan untuk peralatan elektronik.
Pada arus bolak-balik sobat akan dapat mengetahui nilai maksimum dan frekuensi osilasi yang dihasilkan oleh sumbernya. Arus dan tegangan listrik bolak-balik berbentuk sinusoidal. Secara matematis, dirumuskan sebagai berikut.
![]()
atau
![]()
Dimana
![]()

Nilai efektif arus atau tegangan bolak-balik adalah nilai arus dan tegangan bolak-balik yang menghasilkan efek panas (kalor) yang sama dengan suatu nilai arus dan tegangan searah. Apabila tegangan dan kuat arus diukur dengan alat ukur arus bolak-balik seperti voltmeter, ampere meter AC, atau multimeter, maka nilai yang ditunjukkan oleh alat tersebut sebenarnya adalah besar nilai efektifnya.
Hubungan matematis antara arus dan tegangan maksimum dan efektif sebagai berikut.

atau

Keterangan:
Ief = Kuat arus listrik efektif (A)
Vef = Tegangan listrik efektif (Volt)
Im = Kuat arus listrik maksimum (A)
Vm = Tegangan listrik maksimum (V)
Rangkaian Arus Bolak Balik

Sobat pintar, tahukah kamu ternyata rangkaian arus bolak-balik terdiri dari beberapa jenis yaitu rangkaian resistor, induktor, dan kapasitor?
Bagaimana keadaan rangkaian-rangkaian tersebut saat dialiri arus bolak-balik? Yuk simak pembahasan berikut ini!
A. Rangkaian Resistor
Rangkaian resistor adalah rangkaian yang hanya mengandung hambatan (R) saja.
Rangkaian resistor jika dihubungkan dengan arus bolak balik maka akan menghasilkan penurunan potensial listrik dalam rangkaian atau kata lain sebagai pembatas arus yang masuk. Nah jika sudah dibatasi, pada rangkaian V dan I berada pada keadaan sefase, yang artinya mencapai nilai maksimum pada saat yang sama.

Sebuah resistor dihubungkan dengan sumber tegangan bolak-balik, besarnya tegangan pada resistor sama dengan tegangan sumber, yaitu:
![]()
Arus yang mengalir melalui resistor adalah:

B. Rangkaian Induktor
Sebuah induktor juga memiliki nilai hambatan yang biasa disebut reaktansi induktif saat dialiri arus bolak balik. Nilai hambatan induktor ini bergantung pada frekuensi sudut dari arus bolak-balik.
![]()


Besarnya tegangan pada ujung-ujung induktor sama dengan tegangan sumber, sehingga berlaku:
![]()
Arus yang mengalir melalui resistor adalah:

C. Rangkaian Kapasitor
Rangkaian kapasitor merupakan rangkaian yang unik dimana rangkaian ini dapat menyimpan energi listrik sementara.
Kapasitor jika dialiri arus bolak balik akan menimbulkan resistansi semu atau biasa disebut reaktansi kapasitif. Besar nilai reaktansi kapasitif bergantung pada besarnya nilai kapasitansi kapasitor dan frekuensi sudut arus atau dapat dirumuskan sebagai:



Dalam rangkaian kapasitor pada arus AC mempunyai sifat bahwa arus mendahului tegangan saat mencapai nilai maksimumnya.
Tegangan pada kapasitor
![]()
Arus yang mengalir pada kapasitor
![]()
Rangkaian RLC

Rangkaian arus bolak-balik adalah sebuah rangkaian listrik yang terdiri dari satu atau beberapa komponen elektronika yang dihubungkan dengan sumber arus bolak-balik. Komponen elektronika tersebut dapat berupa resistor R (hambatan murni), induktor L atau kapasitor C.

Untuk memudahkan analisa pada rangkaian RLC digunakan diagram fasor (diagram fase vector) seperti gambar di bawah ini:

Dengan menganalisa gambar diagram fasor di atas dapat diperoleh
Tegangan efektif

Impedansi

Sehingga Kuat Arus I yang mengalir pada rangkaian seri RLC tersebut dapat ditulis dengan persamaan:

Keterangan:
I = Kuat arus listrik yang mengalir pada rangkaian (A)
V= Tegangan efektif yang bekerja pada masing-masing komponen (Volt)
Z = Impedansi atau hambatan total pada rangkaian RLC (Ohm)
1.
Kerjakan soal berikut ini dengan tepat!
Pada output layar di osiloskop pada percobaan rangkaian listrik arus bolak-balik diperoleh gambar berikut

Hitung arus sesaat ketika sudut fase theta = 30 derajat dari suatu arus AC berdasarkan gambar di atas!
A. 20 x 10-3 A
B. 25 x 10-3 A
C. 30 x 10-3 A
D. 35 x 10-3 A
E. 40 x 10-3 A
JAWABAN BENAR
C.
30 x 10-3 A
PEMBAHASAN

2.
Kerjakan soal berikut ini dengan tepat!
Apabila jarum voltmeter AC menunjukkan angka 215 volt, tentukan besarnya tegangan bolak-balik yang terukur...
A. 301 volt
B. 212 volt
C. 125 volt
D. 105 volt
E. 90 volt
JAWABAN BENAR
A.
301 volt
PEMBAHASAN
Tegangan yang terukur dalam voltmeter adalah tegangan efektif, sehingga diperoleh Vef = 215 volt. Sehingga dapat ditulis

3.
Kerjakan soal berikut ini dengan tepat!
Sebuah rangkaian listrik yang terdiri dari satu atau beberapa komponen elektronika yang dihubungkan dengan sumber arus bolak-balik disebut rangkaian …
A. Rangkaian arus searah
B. Rangkaian bolak-balik
C. Rangkaian arus dua arah
D. Rangkaian berarus
E. Rangkaian maju mundur
JAWABAN BENAR
B.
Rangkaian bolak-balik
PEMBAHASAN
Rangkaian arus bolak-balik adalah sebuah rangkaian listrik yang terdiri dari satu atau beberapa komponen elektronika yang dihubungkan dengan sumber arus bolak-balik. Komponen elektronika tersebut dapat berupa resistor R (hambatan murni), induktor L atau kapasitor C.
4.
Kerjakan soal berikut ini dengan tepat!
Rangkaian yang hanya mengandung hambatan saja disebut rangkaian …
A. Rangkaian resistor
B. Rangkaian kapasitor
C. Rangkaian induktor
D. Rangkaian seri
E. Rangkaian paralel
JAWABAN BENAR
A.
Rangkaian resistor
PEMBAHASAN
Rangkaian resistor adalah rangkaian yang hanya mengandung hambatan (R) saja.
Rangkaian resistor jika dihubungkan dengan arus bolak balik maka akan menghasilkan penurunan potensial listrik dalam rangkaian atau kata lain sebagai pembatas arus yang masuk. Nah jika sudah dibatasi, pada rangkaian V dan I berada pada keadaan sefase, yang artinya mencapai nilai maksimum pada saat yang sama.
5.
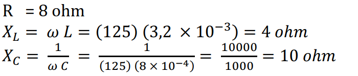
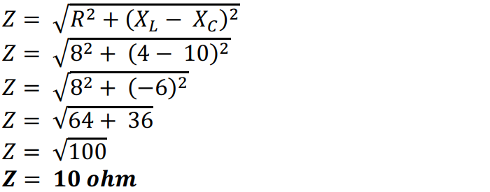
Perhatikan gambar rangkaian seri RLC berikut!

Berdasarkan rangkaian seri RLC di atas, tentukan arus I maksimum yang mengalir pada rangkaian tersebut dan sifat rangkaian tersebut
A. 12 A, induktif
B. 12 A, kapasisitf
C. 12 A, resistif
D. 10 A, induktif
E. 10 A, kapasitif
JAWABAN BENAR
B.
12 A, kapasisitf
PEMBAHASAN



Dengan demikian arus yang mengalir maksimum pada rangkaian tersebut dapat ditulis

Jadi besarnya arus yang mengalir pada rangkaian tersebut adalah 12 Ampere. Karena dari pembahasan di atas diperoleh nilai XC > XL, maka rangkaian seri RLC tersebut bersifat Kapasitif
Oops!!!
Yah, jawaban kamu meleset nih. Ingin melihat pembahasan soal ini?
BENAR!!!
Selamat!
Jawaban kamu benar. Ingin lihat pembahasan soal ini?
footer_v3
Bersama Aku Pintar temukan jurusan kuliah yang tepat
sesuai minat dan bakatmu.
Aku Pintar memiliki visi membuat pendidikan merata, mudah dijangkau, dan terjangkau dengan Program Journey Pintar yang merupakan sebuah program persiapan lengkap bagi siswa SMA/SMK/sederajat yang ingin masuk ke perguruan tinggi impiannya.
Kontak Kami
Grand Slipi Tower Lt. 42
Jl. S. Parman Kav 22-24
Jakarta Barat
© 2024 Aku Pintar. All Rights Reserved