Belajar Pintar Materi SMP, SMA, SMK
BelajarPintarV3
Matematika Wajib
Induksi Matematika
MATERI
Notasi Sigma


Sumber : Utusanindo.com
Berapa jumlah siswa dalam kelas kalian, Sobat Pintar?
Apakah jumlahnya sama dengan kelas sebelah atau berbeda? Kalau jumlah seluruh siswa di sekolahmu, berapa Sobat? Pasti banyak sekali! Materi yang akan kita bahas akan berhubungan dengan penjumlahan.
Halo, Sobat Pintar! Kali ini kita akan membahas mengenai notasi sigma. Apa itu notasi sigma?
Notasi sigma merupakan huruf kapital “S” pada bahasa Yunani dari kata “Sum” yang berarti jumlah.

dibaca “Sigma ak dari k = 1 sampai n sama dengan a1 ditambah a2 ditambah a3 dan seterusnya sampai ditambah an”
Keterangan:
a1 = Suku pertama
a2 = Suku kedua, dst
an = Suku ke-n
k=1 merupakan batas bawah notasi sigma
n merupakan batas atas notasi sigma
ak= fungsi yang dijumlahkan dari batas bawah sampai batas atas
Menurut kalian, apa yang akan terjadi jika batas atas atau batas bawahnya digeser?
Jika batas atas k=n digeser menjadi k=n-1 dengan batas bawah tetap k=1, maka banyaknya suku akan berkurang, yaitu terdapat n-1 suku yang dijumlahkan (begitu pula sebaliknya)
Sifat-Sifat Notasi Sigma

Bentuk penjumlahan yang dituliskan dengan notasi sigma memiliki beberapa sifat seperti berikut ini

1.
Jawablah pertanyaan berikut dengan tepat!
Deret 3 + 6 + 9 + 12 + 15 + 18 + 21 + 24 + 27 + 30 dapat dituliskan dengan notasi sigma ….
A.

B.

C.

D.

E.

JAWABAN BENAR
B.
PEMBAHASAN

2.
Jawablah soal berikut dengan tepat!
Deret 7 + 9 + 11 + 13 + 15 + 17 + 19 + 21 dapat dituliskan dengan notasi sigma ….
A.

B.

C.

D.

E.

JAWABAN BENAR
D.
PEMBAHASAN

3.
Jawablah pertanyaan di bawah ini dengan tepat!

A. 25
B. 35
C. 45
D. 55
E. 65
JAWABAN BENAR
D.
55
PEMBAHASAN

4.
Jawablah pertanyaan berikut ini!

A. 100
B. 75
C. 50
D. 45
E. 30
JAWABAN BENAR
B.
75
PEMBAHASAN

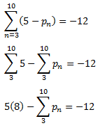
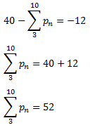
5.
Jawablah soal berikut ini dengan benar!

A. 52
B. 47
C. 36
D. 28
E. 15
JAWABAN BENAR
A.
52
PEMBAHASAN

karena interval 3 sampai 10 adalah 8, maka dikalikan 8

6.

A. 30
B. 40
C. 50
D. 60
E. 70
JAWABAN BENAR
C.
50
PEMBAHASAN

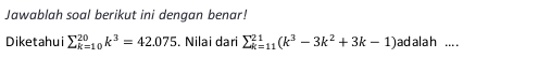
7.

A. 126.225
B. 84.150
C. 56.100
D. 42.075
E. 14.025
JAWABAN BENAR
D.
42.075
PEMBAHASAN

Oops!!!
Yah, jawaban kamu meleset nih. Ingin melihat pembahasan soal ini?
BENAR!!!
Selamat!
Jawaban kamu benar. Ingin lihat pembahasan soal ini?
footer_v3
Bersama Aku Pintar temukan jurusan kuliah yang tepat
sesuai minat dan bakatmu.
Aku Pintar memiliki visi membuat pendidikan merata, mudah dijangkau, dan terjangkau dengan Program Journey Pintar yang merupakan sebuah program persiapan lengkap bagi siswa SMA/SMK/sederajat yang ingin masuk ke perguruan tinggi impiannya.
Kontak Kami
Grand Slipi Tower Lt. 42
Jl. S. Parman Kav 22-24
Jakarta Barat
© 2024 Aku Pintar. All Rights Reserved