Belajar Pintar Materi SMP, SMA, SMK
BelajarPintarV3
Matematika Wajib
Peluang
MATERI
Peluang Kejadian

Setelah kita mempelajari istilah-istilah dalam peluang, sekarang kita masuk ke dalam definisi dari Peluang.
Hayo, Sobat Pintar tahu engga apa itu peluang? Rumus dasar Peluang juga apaaa yaa? Daripada penasaran, langsung disimak aja yaa Sobat.
Semangat Sobat!
Misalkan A suatu kejadian yang merupakan himpunan bagian dari ruang sampel S. Artinya setiap anggota A juga merupakan anggota dari S (A subset S).

Maka peluang dapat dirumuskan sebagai berikut:


Terdapat beberapa kejadian khusus, yaitu:

Berdasarkan penjelasan diatas, maka besar nilai peluang suatu kejadian A adalah

Frekuensi Harapan

Frekuensi harapan dari kejadian A merupakan banyaknya kejadian A yang diharapkan terjadi dalam beberapa kali percobaan.
Frekuensi harapan kejadian A didefinisikan sebagai berikut:
F(A) = n x P(A)
Keterangan:
F(A) = frekuensi harapan kejadian A
n = banyaknya percobaan yang dilakukan
P(A) = peluang kejadian A
Peluang Komplemen Suatu Kejadian

Komplemen dari suatu kejadian A memiliki arti bahwa kejadian A tidak terjadi. Komplemen kejadian A dapat dinyatakan dengan A’.
Peluang kejadian bukan A (Komplemen A) dapat dirumuskan sebagai berikut.
P(A')=1 - P(A)
Keterangan:
P(A') = komplemen A
P(A) = peluang kejadian A
Gimana Sobat? Mudah bukan?
Agar Sobat Pintar semakin mengerti, yuk kita latihan soal dulu!
1.
Kerjakan soal berikut dengan tepat!
Tiga buah piring dipilih secara acak dari 10 piring yang 4 diantaranya rusak maka peluang kejadian terambilnya tidak ada piring yang rusak adalah ….
A. 1/2
B. 1/3
C. 1/4
D. 1/5
E. 1/6
JAWABAN BENAR
E.
1/6
PEMBAHASAN
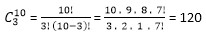
Untuk memilih 3 piring dari 10 piring (n(S)) yaitu:

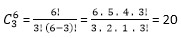
Misalkan A adalah kejadian terambilnya tidak ada piring yang rusak. Karena terdapat 4 piring rusak, maka terdapat 6 piring yang tidak rusak.
Jadi kemungkinan terambilnya tidak ada piring yang rusak (n(A)) yaitu :

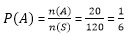
Dengan demikian, peluang terambilnya tidak ada piring yang rusak adalah

2.
Kerjakan soal berikut dengan tepat!
Tiga buah koin dilempar sebanyak satu kali, peluang munculnya satu gambar dan dua angka adalah ….
A. 3/8
B. 2/8
C. 1/8
D. 1/2
E. 5/8
JAWABAN BENAR
A.
3/8
PEMBAHASAN
S = {(AAA), (AAG), (AGA), (GAA), (AGG), (GAG), (GGA), (GGG)}
n(S) = 8
A = Kejadian munculnya satu gambar dan dua angka
A = {(AAG), (AGA), (GAA)}
n(A) = 3
Jadi, Peluang muncul satu gambar dan dua angka adalah

3.
Kerjakan soal berikut dengan tepat!
Diketahui: A:{9,7,6,5,4,3,2,1}. Lima anggota A diambil secara acak. Peluang terambilnya lima anggota tersebut bejumlah genap adalah ….
A. 1/2
B. 25/56
C. 5/12
D. 1/4
E. 5/56
JAWABAN BENAR
B.
25/56
PEMBAHASAN
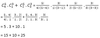
A = {9,7,6,5,4,3,2,1}
Himpunan A terdiri dari 3 bilangan genap dan 5 bilangan ganjil
Ruang Sampelnya ialah terambil 5 bilangan dari 8 bilangan

5 anggota yang mungkin terambil agar berjumlah genap terdiri dari:
4 Bilangan Ganjil dan 1 Bilangan Genap
2 Bilangan Ganjil dan 3 Bilangan Genap
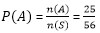
Banyaknya Kejadian 5 bilangan yang terambil berjumlah genap :

Peluang terambilnya lima anggota tersebut bejumlah genap adalah

4.
Kerjakan soal berikut dengan tepat!
Peluang Tim A juara yaitu ½ sedangkan peluang Tim A tidak juara adalah ….
A. ¼
B. ½
C. ¾
D. 0
E. 1
JAWABAN BENAR
B.
½
PEMBAHASAN
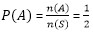
Diketahui : P(A) = ½
P(A)' = 1 - P(A) = 1 - ½ = ½
5.
Kerjakan soal berikut dengan tepat!
Lima mata uang logam dilempar undi sebanyak 32 kali. Frekuensi harapan muncul dua gambar dan tiga angka adalah ….
A. 5
B. 10
C. 15
D. 20
E. 30
JAWABAN BENAR
B.
10
PEMBAHASAN

6.
Kerjakan soal berikut dengan tepat!
Pada percobaan melempar sebuah uang koin logam dan sebuah dadu sebanyak 120 kali, frekuensi harapan munculnya uang koin yang muncul adalah angka dan dadu yang muncul merupakan bilangan prima adalah ….
A. 20
B. 30
C. 40
D. 50
E. 60
JAWABAN BENAR
B.
30
PEMBAHASAN
Ruang Sampel pelemparan sebuah uang koin logam = {A , G}
A = Munculnya Angka dari pelemparan sebuah uang koin logam
n(A) = 1
Peluang Munculnya Angka dari pelemparan sebuah uang koin logam :

Ruang Sampel dari pelemparan sebuah dadu = {1 , 2 , 3 , 4 , 5 , 6}
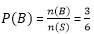
B = Munculnya bilangan prima pada pelemparan sebuah dadu = {2 , 3 , 5}
n(B) = 3
Peluang Munculnya Bilangan Prima pada pelemparan sebuah dadu :

Peluang munculnya uang koin yang muncul adalah angka dan dadu yang muncul merupakan bilangan prima adalah

Frekuensi harapan munculnya uang koin yang muncul adalah angka dan dadu yang muncul merupakan bilangan prima adalah

Jadi, frekuensi harapan munculnya uang koin yang muncul adalah angka dan dadu yang muncul merupakan bilangan prima adalah 30.
7.
Kerjakan soal berikut dengan tepat!
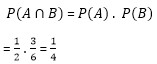
Diketahui sebuah kartu remi sebanyak 52 kartu. Peluang terambil kartu yang tidak ada angkanya yang berwarna merah ….
A. 1/13
B. 2/13
C. 3/13
D. 4/13
E. 5/13
JAWABAN BENAR
B.
2/13
PEMBAHASAN
Banyaknya Ruang Sampel dari sebuah kartu remi adalah 52
n(S) = 52
A = Kejadian terambil kartu yang tidak ada angkanya yang berwarna merah
A = { As Hati, Jack Hati, Queen Hati, King Hati, As Wajik, Jack Wajik, Queen Wajik, King Wajik }
n(A) = 8
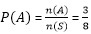
Maka, Peluang terambil kartu yang tidak ada angkanya yang berwarna merah adalah

Oops!!!
Yah, jawaban kamu meleset nih. Ingin melihat pembahasan soal ini?
BENAR!!!
Selamat!
Jawaban kamu benar. Ingin lihat pembahasan soal ini?
footer_v3
Bersama Aku Pintar temukan jurusan kuliah yang tepat
sesuai minat dan bakatmu.
Aku Pintar memiliki visi membuat pendidikan merata, mudah dijangkau, dan terjangkau dengan Program Journey Pintar yang merupakan sebuah program persiapan lengkap bagi siswa SMA/SMK/sederajat yang ingin masuk ke perguruan tinggi impiannya.
Kontak Kami
Grand Slipi Tower Lt. 42
Jl. S. Parman Kav 22-24
Jakarta Barat
© 2024 Aku Pintar. All Rights Reserved