Belajar Pintar Materi SMP, SMA, SMK
BelajarPintarV3
Matematika Wajib
Peluang
MATERI
Kejadian Tidak Saling Lepas

Halo Sobat Pintar, bagaimana dengan konsep dasar mengenai Peluang? Mudah bukan?
Nah, kita lanjut yuk ke materi peluang majemuk. Ada apa aja sih dalam peluang majemuk?
Dalam peluang majemuk ada beberapa kejadian, yaitu: kejadian tidak saling lepas, kejadian saling lepas, dan kejadian saling bebas serta kejadian bersyarat.
Dua kejadian yang dapat terjadi secara bersama-sama dikatakan kejadian tidak saling lepas.
Perhatikan diagram venn berikut!

Misalkan kejadian A dan kejadian B berada pada ruang sampel S. Kejadian A dan B dikatakan tidak saling lepas jika terdapat minimal satu elemen pada kejadian A yang sama dengan elemen yang ada pada kejadian B.
Peluang kejadian A atau B yang mungkin terjadi dengan A dan B adalah kejadian tidak saling lepas, dapat dirumuskan sebagai berikut:

Misalnya akan diambil satu kartu bridge secara acak. Kejadian A adalah kejadian terambilnya kartu yang bergambar hati dan kejadian B terambilnya kartu J,Q,K. Terdapat kemungkinan terambil kartu Queen yang bergambar hati. Oleh karena itu, kejadian A dan B dapat dikatakan sebagai kejadian tidak saling lepas.
Kejadian Saling Lepas

Dua kejadian dikatakan saling lepas apabila kejadian A dan kejadian B tidak terjadi secara bersama-sama.
Perhatikan diagram venn berikut!

Misalkan kejadian A dan kejadian B berada pada ruang sampel S. Kejadian A dan B dikatakan saling lepas jika tidak ada elemen pada kejadian A yang sama dengan elemen yang ada pada kejadian B.
Peluang kejadian A atau B yang mungkin terjadi dengan A dan B adalah kejadian saling lepas, dapat dirumuskan sebagai berikut:

Misalnya pada sebuah kotak terdapat bola warna merah dan biru. Kejadian A adalah kejadian terambilnya bola merah dan kejadian B terambilnya bola biru. Jika akan diambil 1 bola secara acak, maka akan terambil 1 bola berwarna merah saja atau 1 bola berwarna biru saja. Kejadian A dan B dapat dikatakan sebagai kejadian saling lepas.
Kejadian Saling Bebas

Dua kejadian dikatakan saling bebas apabila munculnya kejadian A tidak mempengaruhi kejadian B.
Peluang kejadian A atau B yang mungkin terjadi dengan A dan B adalah kejadian saling bebas, dapat dirumuskan sebagai berikut:

Misalkan pada pelemparan dua buah dadu, kejadian munculnya mata dadu genap pada dadu pertama tidak akan mempengaruhi kejadian munculnya mata dadu ganjil pada dadu kedua.
Kejadian Bersyarat

Dua kejadian dikatakan tidak saling bebas atau bersyarat apabila munculnya kejadian A mempengaruhi terjadinya kejadian B atau sebaliknya. Kejadian B dapat terjadi setelah kejadian A terjadi atau sebaliknya.
Misalkan pada sebuah kantong terdapat bola dengan warna merah, kuning, dan hijau. Akan diambil 2 bola secara bergantian tanpa dikembalikan. Maka kejadian terambilnya bola kedua akan bergantung dari kejadian terambilnya bola pertama.
Jika kejadian A dan B adalah dua kejadian yang saling bersyarat, dapat dirumuskan sebagai berikut:

1.
Kerjakan soal berikut dengan tepat!
Dua buah dadu dilambungkan secara bersamaan sebanyak 108 kali. Peluang muncul mata dadu berjumlah 6 atau 8 adalah ….
A. 8/36
B. 9/36
C. 10/36
D. 11/36
E. 12/36
JAWABAN BENAR
C.
10/36
PEMBAHASAN

2.
Kerjakan soal berikut dengan tepat!
Empat koin palsu dicampur dengan delapan koin asli. Jika dua koin diambil secara acak, maka peluang terambil satu koin asli dan satu koin palsu adalah ….
A. 1/2
B. 16/33
C. 1/12
D. 1/16
E. 1/32
JAWABAN BENAR
B.
16/33
PEMBAHASAN

3.
Kerjakan soal berikut dengan tepat!
Sebuah komunitas pecinta sepeda yang beranggota 100 orang, 40 orang membeli alarm, 30 orang membeli helm, dan 20 orang membeli keduanya. Jika dipilih secara acak 1 orang pecinta sepeda yang membeli alarm maka berapa peluang 1 orang tersebut juga membeli helm?
A. 1/2
B. 1/3
C. 1/4
D. 1/5
E. 2/3
JAWABAN BENAR
A.
1/2
PEMBAHASAN

4.
Kerjakan soal berikut dengan tepat!
Peluang Nadin dan Ega diterima di PT. Bogasari berturut – turut adalah 0,88 dan 0,70. Peluang Nadin tidak diterima dan Ega diterima di PT. Bogasari adalah ….
A. 0,616
B. 0,126
C. 0,084
D. 0,264
E. 0,180
JAWABAN BENAR
C.
0,084
PEMBAHASAN
P(N’)= peluang Nadin tidak diterima
P(E)= peluang Ega diterima
P(N)= 0,88
P(E)= 0,70
P(N’) + P(N) = 1
P(N’) = 1 – P(N) = 1 – 0,88 = 0,12
Karena masalah di atas merupakan dua kejadian saling bebas, maka
![]()
5.
Kerjakan soal berikut dengan tepat!
Suatu kelas terdiri dari 23 siswa, 15 orang gemar matematika, 7 orang gemar fisika. Jika diketahui peluang seorang tidak gemar matematika dan fisika adalah 6/23. Berapa anak yang gemar matematika dan fisika?
A. 5
B. 7
C. 10
D. 12
E. 15
JAWABAN BENAR
A.
5
PEMBAHASAN

Jadi, anak yang gemar matematika dan fisika ialah 5 anak
6.
Kerjakan soal berikut dengan tepat!
Terdapat 2 kantung, dimana kantung 1 berisi 2 kelereng merah dan 7 kelereng biru, dan kantung 2 berisi 6 kelereng merah dan 3 kelereng biru. Peluang kedua kelereng yang terambil dari kantung yang berbeda berwarna sama adalah ....
A. 1/3
B. 10/27
C. 11/27
D. 63/81
E. 80/81
JAWABAN BENAR
C.
11/27
PEMBAHASAN
Diketahui :
Jumlah Bola pada kantung 1 = 9, dimana bola merah (M) = 2 dan bola Biru (B) = 7
Jumlah Bola pada kantung 2 = 9, dimana bola Merah (M) = 6 dan bola Biru (B) = 3
Kejadian kedua kelerang yang terambil dari kantung yang berbeda berwarna sama, artinya dari kantung 1 terambil warna merah dan kantung 2 terambil warna merah atau dari kantung 1 terambil warna biru dan kantung 2 terambil warna biru.
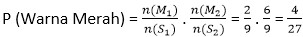
Terambil keduanya berwarna merah
n(M1) = 2 ; n(M2) = 6
n(S1) = 9 ; n(S2) = 9
Jadi, Peluang terambilnya kedua kelereng berwarna merah :

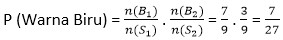
Terambil keduanya berwarna biru
n(B1) = 7 ; n(B2) = 3
n(S1) = 9 ; n(S2) = 9
Jadi, Peluang terambilnya kedua kelereng berwarna biru :

Peluang kedua kelereng yang terambil dari kantung yang berbeda berwarna sama yaitu:
P(Kedua kelereng berwarna sama) = P(Warna Merah) + P(Warna Biru)

Jadi, peluang kedua kelereng yang terambil dari kantung yang berbeda berwarna sama adalah 11/27
7.
Kerjakan soal berikut dengan tepat!
Dua buah huruf akan dipilih secara acak dari huruf-huruf pada kata ”KOTA BANDAR LAMPUNG”. Peluang terpilihnya huruf N dan A adalah ....
A. 4/289
B. 8/289
C. 16/289
D. 32/289
E. 64/289
JAWABAN BENAR
B.
8/289
PEMBAHASAN
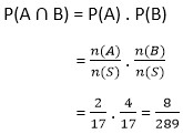
A = Kejadian Terpilihnya huruf N
n(A) = 2 (Jumlah huruf N)
B = Kejadian Terpilihnya huruf A
n(B) = 4 (Jumlah huruf A)
n(S) = 17 (Jumlah Keseluruhan Huruf)
Peluang Terpilihnya huruf N dan A adalah:

Oops!!!
Yah, jawaban kamu meleset nih. Ingin melihat pembahasan soal ini?
BENAR!!!
Selamat!
Jawaban kamu benar. Ingin lihat pembahasan soal ini?
footer_v3
Bersama Aku Pintar temukan jurusan kuliah yang tepat
sesuai minat dan bakatmu.
Aku Pintar memiliki visi membuat pendidikan merata, mudah dijangkau, dan terjangkau dengan Program Journey Pintar yang merupakan sebuah program persiapan lengkap bagi siswa SMA/SMK/sederajat yang ingin masuk ke perguruan tinggi impiannya.
Kontak Kami
Grand Slipi Tower Lt. 42
Jl. S. Parman Kav 22-24
Jakarta Barat
© 2024 Aku Pintar. All Rights Reserved