Belajar Pintar Materi SMP, SMA, SMK
BelajarPintarV3
Matematika
Transformasi Geometri
MATERI
Refleksi
Pembahasan berikutnya adalah pencerminan atau yang lebih sering disebut dengan refleksi. Seperti halnya bayangan benda yang terbentuk dari sebuah cermin. Sebuah objek yang mengalami refleksi akan memiliki bayangan benda yang dihasilkan oleh sebuah cermin. Hasil dari refleksi dalam bidang kartesius tergantung sumbu yang menjadi cerminnya. Pembahasan materi refleksi yang akan diberikan ada tujuh jenis. Jenis-jenis tersebut antara lain adalah refleksi terhadap sumbu x, sumbu y, garis y = x, garis y = -x, titik O (0,0), garis x = h, dan garis y = k. Berikut ini adalah ringkasan daftar matriks transformasi pada refleksi/pencerminan.

Pencerminan Terhadap Sumbu X
Jenis matriks transformasi yang pertama adalah pencerminan terhadap sumbu x. Jika digambarkan maka akan menjadi sebagai berikut

Pencerminan Terhadap Sumbu Y
selanjutnya adalah pencerminan terhadap sumbu y. Jika digambarkan adalah sebagai berikut.

Pencerminan terhadap Garis Y=X
Jenis transformasi selanjutnya adalah Pencerminan terhadap Garis Y=X. Jika digambarkan adalah sebagai berikut

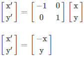
Pencerminan terhadap Garis Y=-X
Jenis transformasi selanjutnya adalah Pencerminan terhadap Garis Y=-X. Jika digambarkan adalah sebagai berikut
Pencerminan terhadap Titik Asal O(0,0)
Jenis transformasi selanjutnya adalah Pencerminan terhadap Titik Asal O(0,0). Jika digambarkan adalah sebagai berikut

Pencerminan terhadap Garis X=H
Jenis transformasi selanjutnya adalah Pencerminan terhadap Garis X=H. Jika digambarkan adalah sebagai berikut

Pencerminan terhadap Garis Y=K
Jenis transformasi yang terakhir adalah Pencerminan terhadap Garis Y=K. Jika digambarkan adalah sebagai berikut

Banyak ya sobat pintar jenisnya, tapi mudah dipahami kan sobat pintar?
1. Diketahui M adalah pencerminan terhadap garisy=-xdan T adalah transformasi yang nyatakan oleh matriks
Koordinat bayangan titik A(2,-8) jika ditransformasikan oleh M dan dilanjutkan oleh T adalah
A. (10,2)
B. (-10,-2)
C. (-10,2)
D. (-2,-10)
E. (2,10)
JAWABAN BENAR
A.
(10,2)
PEMBAHASAN


Jadi, bayangan titik A adalah (10,2)
2.
Transformasi T adalah komposisi dari pencerminan terhadap garis y = x dilanjutkan rotasi dengan pusat O(0,0) sebesar
dengan arah berlawanan arah putar jarum jam. Bayangan dari garis 3x+5y-2=0 oleh transformasi T mempunyai persamaan
A. 3x-5y-2=0
B. 3x+5y+2=0
C. 3x-5y+2=0
D. 5x-3y+2=0
E. 5x-3y-2=0
JAWABAN BENAR
C.
3x-5y+2=0
PEMBAHASAN

Bayangan titik (x,y) oleh transformasi T :

Dari persamaan matriks diatas, diperoleh :

Substitusi x dan y ke persamaan kurva :

Oops!!!
Yah, jawaban kamu meleset nih. Ingin melihat pembahasan soal ini?
BENAR!!!
Selamat!
Jawaban kamu benar. Ingin lihat pembahasan soal ini?
footer_v3
Bersama Aku Pintar temukan jurusan kuliah yang tepat
sesuai minat dan bakatmu.
Aku Pintar memiliki visi membuat pendidikan merata, mudah dijangkau, dan terjangkau dengan Program Journey Pintar yang merupakan sebuah program persiapan lengkap bagi siswa SMA/SMK/sederajat yang ingin masuk ke perguruan tinggi impiannya.
Kontak Kami
Grand Slipi Tower Lt. 42
Jl. S. Parman Kav 22-24
Jakarta Barat
© 2024 Aku Pintar. All Rights Reserved