Belajar Pintar Materi SMP, SMA, SMK
BelajarPintarV3
UTBK - SNBT
Pengetahuan Kuantitatif
MATERI
Pola Bilangan

Pola bilangan yaitu aturan yang digunakan untuk membuat suatu kelompok bilangan.
Macam-macam Pola Bilangan
Pola bilangan dapat dikelompokkan menjadi beberapa macam, diantaranya:
a. Pola Bilangan Ganjil

Berdasarkan pola di atas, terbentuk pola bilangan ganjil yaitu 1, 3, 5, 7, 9.
Rumus bilangan ke-n pada pola bilangan ganjil, yaitu 2n – 1
Sedangkan jumlah n bilangan ganjil pertama, yaitu n2
b. Pola Bilangan Genap

Berdasarkan pola di atas, terbentuk pola bilangan genap yaitu 2, 4, 6, 8.
Rumus bilangan ke-n pada pola bilangan genap, yaitu 2n.
Sedangkan jumlah n bilangan genap pertama, yaitu n(n+1).
c. Pola Garis Lurus
Pola garis lurus yaitu suatu bilangan yang digambarkan dengan noktah mengikuti pola garis lurus.
Contoh :

d. Pola Persegi Panjang

Berdasarkan pola di atas, terbentuk pola persegi panjang dengan susunan bilangan 2, 6, 12, 20.
Rumus bilangan ke-n pada pola persegi panjang, yaitu n(n+1).
Sedangkan jumlah n suku pertamanya, yaitu:

e. Pola Bilangan Persegi

Berdasarkan pola di atas, terbentuk pola persegi panjang dengan susunan bilangan 2, 6, 12, 20.
Rumus bilangan ke-n pada pola persegi panjang, yaitu n(n+1).
Sedangkan jumlah n suku pertamanya, yaitu:

f. Pola Bilangan Segitiga

Berdasarkan pola di atas, terbentuk pola segitiga dengan susunan bilangan 2, 6, 12, 20.
Rumus bilangan ke-n pada pola persegi panjang, yaitu n2.
Sedangkan jumlah n suku pertamanya, yaitu:

g. Pola Bilangan Pascal

Pola di atas merupakan pola dari segitiga pascal. Segitiga pascal digunakan untuk menentukan koefisien dari polinomial.
Koefisiennya dapat ditentukan dengan rumus : (a+b)n.
Sedangkan jumlah bilangan pada segitiga pascal baris ke-n, yaitu 2n-1
Barisan dan Deret Aritmetika

BARISAN ARITMETIKA
Barisan Aritmetika adalah barisan bilangan yang memiliki beda atau selisih tetap antara dua suku yang berurutan.
Rumus untuk menentukan suku ke-n dari barisan aritmetika dapat dituliskan:
Un = a + (n – 1)b
Keterangan:
Un = Suku ke-n
a = suku pertama
b = beda / selisih
n = banyaknya suku
Beda atau selisih dari barisan aritmetika dapat dicari dengan cara:
b = Un – Un-1
DERET ARITMETIKA
Deret Aritmetika adalah penjumlahan suku-suku pada pada barisan aritmetika.
Deret Aritmetika dapat dinyatakan:
U1 + U2 + U3 + U4 + ...
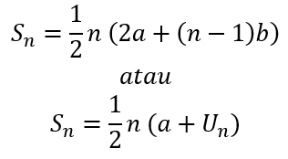
Rumus untuk menentukan jumlah suku ke-n pada deret aritmetika, yaitu:

Keterangan:
Sn = jumlah n suku pertama
n = banyaknya suku
a = suku pertama
b = beda/selisih
Un = suku ke-n
NILAI TENGAH DAN SISIPAN PADA BARISAN ARITMETIKA
Suku tengah dari suatu barisan aritmetika yang berhingga dapat dicari dengan menggunakan rumus berikut:

dengan U2k-1 adalah letak suku tengah
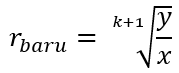
Jika dalam suatu barisan aritmetika disisipkan k bilangan maka akan diperoleh beda yang baru, dapat ditentukan dengan cara berikut:

dengan y dan x adalah dua bilangan yang akan disisipkan k buah bilangan.
Barisan dan Deret Geometri

BARISAN GEOMETRI
Barisan Geometri adalah barisan bilangan dimana dua suku yang berurutan memiliki perbandingan yang bernilai tetap. Perbandingan dalam barisan geometri disebut rasio (r).
Barisan geometri dapat dinyatakan sebagai berikut:
Un = a.rn-1
Keterangan :
Un = suku ke-n
a = suku pertama
r = rasio
n = banyaknya suku
Rasio dari barisan geometri dapat dicari dengan cara:

DERET GEOMETRI
Deret geometri adalah jumlah suku-suku dari suatu barisan geometri.
Sama seperti deret aritmetika, deret geometri jika dinyatakan yaitu :
U1 + U2 + U3 + U4 + ...
Rumus yang digunakan untuk menentukan jumlah n suku dari deret geometri, yaitu:

Keterangan:
Sn = jumlah n suku pertama
a = suku pertama
r = rasio
n = banyaknya suku
SUKU TENGAH DAN SISIPAN BARISAN GEOMETRI
Rumus yang digunakan untuk menentukan suku tengah dari barisan geometri, yaitu:

Jika pada barisan geometri disisipkan k bilangan maka akan diperoleh rasio yang baru, yaitu:

dengan x dan y adalah dua bilangan yang akan disisipkan k buah bilangan.
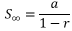
DERET GEOMETRI TAK HINGGA
Berbeda dengan deret geometri sebelumnya yang memiliki banyak suku yang berhingga, deret geometri tak hingga merupakan penjumlahan dari suku-suku pada barisan geometri dengan rasio tertentu yang banyak sukunya tak terhitung.
Rumus untuk menentukan jumlah deret geometri tak hingga, yaitu:

Suatu deret geometri tak hingga akan konvergen jika memiliki jumlah untuk -1 < r < 1.
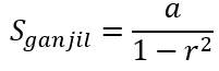
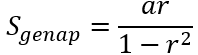
- Jika diketahui suatu deret a + ar2 + ar4 + ... maka jumlah suku-suku pada kedudukan ganjil, yaitu:

- Jika diketahui suatu deret a + ar3 + ar5 + ... maka jumlah suku-suku pada kedudukan genap, yaitu:

1.
Perhatikan pola barisan berikut!

A. 1/3
B. 2/3
C. 5/3
D. 7/3
E. 3
JAWABAN BENAR
C.
5/3
PEMBAHASAN
Beda = 4/3 – 1 = 1/3
Misalkan
U2 + b = 4/3 + 1/3 = 5/3
U3 + b = 5/3 + 1/3 = 6/3 = 2
Karena suku ke 4 sama dengan 2, maka beda pada pola barisan di atas adalah 1/3, sehingga suku ketiganya adalah 5/3
2.
Kerjakan soal berikut ini dengan benar!
Suku ke 4 pada barisan aritmetika adalah -1 dan suku ke 10 adalah 17. Jumlah 20 suku pertamanya adalah ….
A. 800
B. 770
C. 400
D. 370
E. 47
JAWABAN BENAR
D.
370
PEMBAHASAN
U4 = a + (4 – 1)b = -1
a + 3b = -1
U10 = a + (10 – 1)b = 17
a + 9b = 17
eliminasi pada kedua persamaan sehingga diperoleh
a = -10 dan b = 3
jumlah 20 suku pertama adalah
S20 = 20/2 (2.(-10) + (20 – 1).3 )
S20 = 10 (-20 + 19.3)
S20 = 10 (-20 + 57)
S20 = 10.37 = 370
3.
Kerjakan soal berikut ini dengan tepat!
Jika -2, (x – 2), (x2 – 8x + 4) merupakan tiga suku pertama berturut-turut pada barisan geometri, maka salah satu nilai x yang memenuhi adalah ….
A. 7
B.
6
C. 5
D. 4
E. 3
JAWABAN BENAR
B.
6
PEMBAHASAN

4.
Kerjakan soal berikut ini dengan benar!
Perbandingan suku kedua dengan suku kelima pada barisan geometri yaitu 1 : 8. Jika suku ke 7 sama dengan 320. Maka jumlah 4 suku pertama pada barisan tersebut adalah ….
A. 15
B. 30
C. 45
D. 60
E. 75
JAWABAN BENAR
E.
75
PEMBAHASAN

5.
Kerjakan soal berikut ini dengan tepat!
Diketahui deret geometri 2, 1, ½, ¼ , … . Jumlah dari U1 + U3 + U5 + … adalah ….
A. 8/3
B. 6/3
C. 4/3
D. 3/6
E. 3/8
JAWABAN BENAR
A.
8/3
PEMBAHASAN

Oops!!!
Yah, jawaban kamu meleset nih. Ingin melihat pembahasan soal ini?
BENAR!!!
Selamat!
Jawaban kamu benar. Ingin lihat pembahasan soal ini?
footer_v3
Bersama Aku Pintar temukan jurusan kuliah yang tepat
sesuai minat dan bakatmu.
Aku Pintar memiliki visi membuat pendidikan merata, mudah dijangkau, dan terjangkau dengan Program Journey Pintar yang merupakan sebuah program persiapan lengkap bagi siswa SMA/SMK/sederajat yang ingin masuk ke perguruan tinggi impiannya.
Kontak Kami
Grand Slipi Tower Lt. 42
Jl. S. Parman Kav 22-24
Jakarta Barat
© 2024 Aku Pintar. All Rights Reserved