Belajar Pintar Materi SMP, SMA, SMK
BelajarPintarV3
UTBK - SNBT
Pengetahuan Kuantitatif
MATERI
Bentuk Umum dan Grafik Fungsi Kuadrat

Fungsi kuadrat merupakan fungsi yang berbentuk y = ax2 + bx + c, dengan a tidak sama dengan 0.
Grafik dari fungsi kuadrat menyerupai parabola, sehingga dapat dikatakan juga sebagai fungsi parabola.
Berikut merupakan gambar perbandingan grafik fungsi kuadrat y=x2 , y = -x2, dan y = 2x2.

Nilai a pada fungsi y = ax2 + bx + c akan mempengaruhi bentuk grafiknya.
Jika a positif maka grafiknya akan terbuka ke atas. Sebaliknya jika a negatif maka grafiknya akan terbuka ke bawah. Jika nilai a semakin besar maka grafiknya menjadi lebih “kurus”.
Berikut merupakan perbandingan grafik fungsi kuadrat y = x2 + 2x, y = x2 – 3x + 2 dan y = –x2 – 5x – 4.

Garis putus-putus pada gambar di atas menerupakan sumbu simetri. Koordinat yang ditandai dengan bulatan merupakan titik puncak sedangkan koordinat yang ditandai dengan persegi merupakan titik potong dengan sumbu-y.
Nilai b pada grafik y = ax2 + bx + c menunjukkan letak koordinat titik puncak dan sumbu simetri (titik puncak dan sumbu simetri dibahas lebih lanjut pada subbab selanjutnya).
Jika a > 0, grafik y = ax2 + bx + c memiliki titik puncak minimum.
Jika a < 0, grafik y = ax2 + bx + c memiliki titik puncak maksimum.
Nilai c pada grafik y = ax2 + bx + c menunjukkan titik perpotongan grafik fungsi kuadrat tersebut dengan sumbu-y, yakni pada koordinat (0, c).
Sifat dan Nilai Optimum Grafik Fungsi Kuadrat

Sifat-Sifat Grafik Fungsi Kuadrat
fungsi kuadrat f(x) = ax2 + bx + c dapat ditentukan posisi grafiknya berdasarkan nilai a, b, c, dan diskriminannya
Posisi grafik membuka ke atas atau ke bawah dapat ditentukan dengan melihat nilai a, seperti pada gambar berikut:

Jika a positif, maka grafik membuka ke atas
Jika a negatif, grafik membuka ke bawah
Diskriminan digunakan untuk menentukan grafik menyinggung sumbu-x dengan rumus:
D = b2 - 4ac
Hubungan diskriminan dengan grafik fungsi kudrat yaitu

Jika D > 0, maka grafik memotong sumbu-x di dua titik
Jika D = 0, maka grafik menyinggung sumbu-x
Jika D < 0, maka grafik tidak memotong sumbu-x
Posisi titik puncak dan Sumbu simetri dari grafik fungsi kudrat dapat ditentukan dengan :

Jika b = 0, maka sumbu simetri dan titik puncak berada di sumbu-y
Jika ab<0, maka sumbu simetri dan titik puncak berada di kiri sumbu-y
Jika ab>0, maka sumbu simetri dan titik puncak berada di kanan sumbu-y
Sedangkan untuk menentukan titik potong sumbu-y dengan grafik dapat dilihat pada nilai c

Jika nilai c < 0, maka grafik memotong sumbu-y di bawah sumbu-x
Jika nilai c =0, maka grafik memotong titik (0,0)
Jika nilai c > 0, maka grafik memotong sumbu-y di atas sumbu-x
MENENTUKAN NILAI OPTIMUM
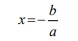
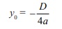
Fungsi kuadrat f(x) = ax2 + bx + c mempunyai sumbu simetri

Dengan nilai optimumnya adalah
![]()
Sehingga titik puncaknya yaitu (x,y)
Merumuskan Fungsi Kuadrat

Merumuskan fungsi kuadrat jika diketahui grafiknya dapat dilakukan dengan 3 cara, yaitu :
- Jika diketahui 2 titik yang memotong sumbu-x (x1,0) dan (x2, 0) dan 1 titik sebarang, dengan rumus : y = a (x - x1)(x - x2)
- Jika diketahui titik puncak (xp,yp) dan 1 titik sebarang, dengan rumus : y = a (x - xp) + yp
- Jika diketahui 3 titik sebarang, dapat diselesaikan dengan mensubstitusi setiap titik pada fungsi kuadrat y = ax2 + bx + c
Menentukan titik potong dua kurva
Jika fungsi kuadrat f(x) dengan fungsi linear/ fungsi kuadrat g(x) berpotongan, maka titik potong dapat ditentukan dengan cara
f(x) = g(x)
1.
Kerjakan soal berikut ini!
Diantara fungsi kuadrat berikut yang tidak memotong sumbu-x adalah …
A. x2 - 4x + 5
B. -x2 - 4
C. -x2 + 3x - 7
D. -x2 - 6x + 5
E. x2 + 5x + 7
JAWABAN BENAR
D.
-x2 - 6x + 5
PEMBAHASAN
Fungsi kuadrat yang memotong sumbu x di satu titik maupun dua titik, berarti jika y = 0, deskriminan lebih dari atau sama dengan 0
Rumus deskriminan = b2 – 4ac
- jika x2 – 4x + 5 = 0, maka D = -4
- jika -x2 – 4 = 0, maka D = -16
- jika -x2 +3x – 7 = 0, maka D = -19
- jika -x2 – 6x + 5 = 0, maka D = 56
karena D > 0, maka f(x) memotong sumbu x di dua titik
2.
Kerjakan soal berikut ini!
Salah satu titik potong dari kurva y = x2 – 5x + 1 dengan y = x – 4 yaitu ….
A. (-3, 1)
B. (-1, -3)
C. (5, 1)
D. (1, 5)
E. (-1, -5)
JAWABAN BENAR
C.
(5, 1)
PEMBAHASAN
Untuk mencari titik potong y1 = y2
x2 – 5x + 1 = x – 4
x2 – 5x – x +1 + 4 = 0
x2 – 6x + 5 = 0
(x – 5)(x – 1) = 0
x = 5 atau x = 1
Jika x = 1, maka y = 1 – 4 = -3 diperoleh titik (1,-3)
Jika x = 5, maka y = 5 – 4 = 1 diperoleh titik (5,1)
3.
Kerjakan soal berikut ini!
Diketahui grafik fungsi f(x) = x2 – 4x – 12 dan g(x) = 5x – 8. Jarak dua titik saat kedua fungsi berpotongan adalah ….
A. √26
B. 4
C. 5
D. -7
E. -12
JAWABAN BENAR
A.
√26
PEMBAHASAN

4.
Perhatikan grafik berikut!

Fungsi kuadrat dari grafik di atas adalah ….
A. y = x2 – 2x + 1
B. y = x2 + x - 2
C. y = x2 – 9
D. y = -x2 + x + 6
E. y = -x2 – 4
JAWABAN BENAR
B.
y = x2 + x - 2
PEMBAHASAN
Menyusun fungsi kuadrat jika diketahui dua titik yang memotong sumbu-x dapat menggunakan rumus : y = a (x – x1)(x – x2)
Grafik memotong sumbu x di titik (-2,0) dan (1,0) dan melalui titik (2,4)
4 = a (2 + 2)(2 – 1)
4 = a (4)(1)
1 = a
Sehingga diperoleh persamaan kurvanya adalah
y = 1 (x + 2)(x – 1)
y = x2 + x – 2
5.
Kerjakan soal berikut ini dengan tepat!
Sebuah grafik memiliki ciri-ciri D = 0, a < 0, dan c < 0. Grafik berikut ini yang memenuhi ciri-ciri tersebut adalah ….
A.

B.

C.

D.

E.

JAWABAN BENAR
E.
PEMBAHASAN
D = 0, berarti grafik memotong sumbu x di satu titik
a < 0, berarti grafik membuka ke bawah
c < 0, berarti grafik memotong sumbu y negatif
Diantara pilihan grafik yang sesuai ciri-ciri tersebut adalah grafik
Oops!!!
Yah, jawaban kamu meleset nih. Ingin melihat pembahasan soal ini?
BENAR!!!
Selamat!
Jawaban kamu benar. Ingin lihat pembahasan soal ini?
footer_v3
Bersama Aku Pintar temukan jurusan kuliah yang tepat
sesuai minat dan bakatmu.
Aku Pintar memiliki visi membuat pendidikan merata, mudah dijangkau, dan terjangkau dengan Program Journey Pintar yang merupakan sebuah program persiapan lengkap bagi siswa SMA/SMK/sederajat yang ingin masuk ke perguruan tinggi impiannya.
Kontak Kami
Grand Slipi Tower Lt. 42
Jl. S. Parman Kav 22-24
Jakarta Barat
© 2024 Aku Pintar. All Rights Reserved