Belajar Pintar Materi SMP, SMA, SMK
BelajarPintarV3
UTBK - SNBT
Pengetahuan Kuantitatif
MATERI
Bentuk Umum dan Penyelesaian Persamaan Kuadrat
Persamaan kuadrat adalah persamaan polinom berderajat dua. Bentuk umum persamaan kuadrat dituliskan sebagai ax2 + bx + c = 0 atau dalam bentuk fungsi kuadrat adalah y = ax2 + bx + c.
Keterangan:
x = variabel
a = koefisien kuadrat dari x2
b = koefisien linear dari x
c = konstanta
Akar-akar persamaan kuadrat ax2 + bx + c = 0 merupakan nilai variabel x sehingga persamaan kuadrat bernilai benar. Akar-akar suatu persamaan kuadrat maskimal ada dua.
Pada grafik fungsi kuadrat, jika x1 dan x2 adalah akar-akar persamaan kuadrat, maka titik-titik dengan koordinat (x1, 0) dan (x2, 0) merupakan titik potong kurva persamaan kuadrat dengan sumbu x.
Mencari akar-akar dalam menyelesaikan persamaan kuadrat dilakukan dengan 3 cara sebagai berikut.
1. Faktorisasi
Faktorisasi atau pemfaktoran merupakan cara mencari akar-akar persamaan kuadrat dengan mencari nilai yang jika dikalikan akan menghasilkan nilai lain. Ada tiga bentuk persamaan kuadrat dengan faktorisasi akar-akar yang berbeda seperti berikut:

Contoh Soal :
Tentukan akar-akar persamaan kuadrat x2 – 6x + 8 = 0!
Pembahasan :
x2 – 6x + 8 = 0
(x – 2)(x – 4) = 0
x – 2 = 0 atau x – 4 = 0
x = 2 x = 4
Jadi, akar-akar persamaan kuadrat x2 – 6x + 8 = 0 adalah x1 = 2 dan x2 = 4
2. Kuadrat Sempurna
Tidak semua persamaan kuadrat bisa diselesaikan dengan cara faktorisasi, cara lain untuk menyelesaikan persamaan kuadrat dengan cara melengkapkan kuadrat sempurna.
Bentuk persamaan kuadrat sempurna adalah bentuk persamaan yang menghasilkan bilangan rasional. Penyelesaian persamaan kuadrat dengan melengkapkan kuadrat menggunakan rumus:
(x + p)2 = x2 + 2px + p2
Ubah menjadi bentuk persamaan dalam (x+p)2 = q
Pembahasan :
(x + p)2 = q
x + p = + q
x = -p + q
Contoh Soal :
Tentukan akar-akar persamaan kuadrat x2 – 6x + 8 = 0!
Pembahasan :
x2 – 6x + 8 = 0
x2 – 6x = –8
x2 – 6x +... = –8 + ...
x2 – 6x + 9 = –8 + 9
(x – 3)2 = 1
x – 3) =+ 1
Jika x – 3 = –1 dan jika x – 3 = 1
x = –1 + 3 x = 1 + 3
x = 2 x = 4
Jadi, akar-akar persamaan kuadrat x2 – 6x + 8 = 0 adalah x1 = 2 dan x2 = 4
3. Rumus Kuadrat (Rumus abc)
Selain menggunakan faktorisasi dan dengan melengkapi kuadrat sempurna, persamaan kuadrat dapat diselesaikan dengan menggunakan rumus kuadrat atau biasa dikenal dengan rumus abc.

Bentuk b2 - 4ac dinamakan dengan Deskriminan (D)
Contoh soal :
Tentukan akar-akar persamaan x2 – 6x + 8 = 0!
Pembahasan :
Diketahui a = 1, b = –6, c = 8

Jadi, akar-akar persamaan kuadrat x2 – 6x + 8 = 0 adalah x1 = 4 dan x2 = 2
Jenis Persamaan Kuadrat

Secara umum, persamaan kuadrat terbagi menjadi 4 jenis, diantaranya:
1. Persamaan Kuadrat Biasa
Secara umum, bentuk persamaan kuadrat terdiri dari variabel x2 dan x beserta koefisiennya dan konstanta
ax2 + bx + c = 0
2. Persamaan Kuadrat Murni
Persamaan kuadrat murni adalah persamaan kuadrat dengan nilai b = 0, sehingga variabel x tidak muncul
ax2 + c =0
3. Persamaan Kuadrat Tak Lengkap
Persamaan kuadrat tak lengkap adalah persamaan kuadrat dengan nilai c = 0, sehingga persamaan tersebut tidak memiliki konstanta
ax2 + bx = 0
4. Persamaan Kuadrat Rasional
Persamaan kuadrat yang nilai koefisien dan konstantanya berupa bilangan rasional.
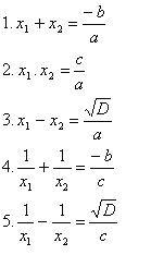
Jumlah, Selisih, dan Hasil Kali Akar Persamaan Kuadrat

Berdasarkan rumus ABC, persamaan kuadrat ax2 + bx + c = 0 dengan akar-akar persamaan x1 dan x2 dapat ditentukan jumlah, selisih, dan hasil kali akar persamaannya dengan rumus :

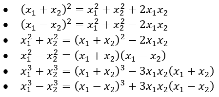
Rumus Penjabaran Persamaan Khusus

Sifat dan Menentukan Persamaan Kuadrat Baru

Hubungan sifat-sifat akar Persamaan Kuadrat dan Diskriminan

Menentukan Persamaan Kuadrat Baru
Persamaan kuadrat dapat kita tentukan apabila kita telah mengetahui akar-akar persamaannya
Persamaan kuadrat jika diketahui akar persamaannya diperoleh dari rumus :
(x - x1) (x - x2) = 0
Sedangkan persamaan kuadrat jika diketahui jumlah dan hasil kali akar-akar persamaannya dapat dirumuskan sebagai berikut:
x2 - (x1 + x2)x + x1.x2 = 0
1.
Kerjakan soal berikut ini!
Salah satu akar dari persamaan x2 – 4x + 1 = 0 adalah ….
A.

B.

C.

D.

E.

JAWABAN BENAR
B.
PEMBAHASAN

2.
Kerjakan soal berikut ini!
Apabila solusi dari 3(x – 2) + 4x = 8 memenuhi x2 + 3x – a = 0. Maka nilai a adalah ….
A. 10
B. 2
C. 0
D. -2
E. -10
JAWABAN BENAR
A.
10
PEMBAHASAN

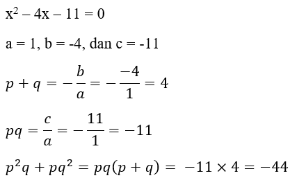
3.
Kerjakan soal berikut ini!
Diketahui persamaan kuadrat x2 – 4x – 11 = 0 dengan akar p dan q. Nilai p2q + pq2 = ….
A. 44
B. 11
C. 4
D. -11
E. -44
JAWABAN BENAR
E.
-44
PEMBAHASAN

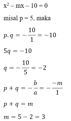
4.
Kerjakan soal berikut ini!
Persamaan kuadrat x2 – mx – 10 = 0. Jika salah satu nilai x yang memenuhi adalah 5. Maka nilai m = ….
A. -5
B. -3
C. -2
D. 3
E. 5
JAWABAN BENAR
D.
3
PEMBAHASAN

5.
Kerjakan soal berikut ini!
Sebuah persamaan kuadrat x2 – 8x + 1 = 0 memiliki akar persamaan x1 dan x2. Persamaan kuadrat baru dengan akar (x1 + 2) dan (x2 + 2) adalah ….
A. x2 – 12x + 21 = 0
B. x2 + 12x + 21 = 0
C. x2 + 12x - 21 = 0
D. x2 + 21x + 12 = 0
E. x2 – 21x - 12 = 0
JAWABAN BENAR
B.
x2 + 12x + 21 = 0
PEMBAHASAN

Oops!!!
Yah, jawaban kamu meleset nih. Ingin melihat pembahasan soal ini?
BENAR!!!
Selamat!
Jawaban kamu benar. Ingin lihat pembahasan soal ini?
footer_v3
Bersama Aku Pintar temukan jurusan kuliah yang tepat
sesuai minat dan bakatmu.
Aku Pintar memiliki visi membuat pendidikan merata, mudah dijangkau, dan terjangkau dengan Program Journey Pintar yang merupakan sebuah program persiapan lengkap bagi siswa SMA/SMK/sederajat yang ingin masuk ke perguruan tinggi impiannya.
Kontak Kami
Grand Slipi Tower Lt. 42
Jl. S. Parman Kav 22-24
Jakarta Barat
© 2024 Aku Pintar. All Rights Reserved