Belajar Pintar Materi SMP, SMA, SMK
BelajarPintarV3
UTBK - SNBT
Pengetahuan Kuantitatif
MATERI
Definisi dan Ukuran Pemusatan Data

Statistika adalah ilmu yang mempelajari tentang bagaimana merencanakan, menganalisis, menginterpretasi, mengumpulkan dan mempresentasikan data sehingga bisa dikatakan bahwa statistika merupakan ilmu yang berkenaan dengan data. Datum adalah informasi yang diperoleh dari suatu pengamatan. Sedangkan data adalah kumpulan dari datum.
Ukuran pemusatan data terbagi menjadi tiga, yaitu rata-rata (mean), nilai tengah (median), dan modus.
Mean (rata-rata)
Rata-rata suatu data dapat diperoleh dengan menjumlahkan seluruh data kemudian dibagi dengan banyak datanya. Secara matematis, dapat dirumuskan:
1. Data tunggal

2. Data kelompok

Median (nilai tengah)
Median merupakan nilai tengah dari suatu data. Cara menentukan median pada data tunggal dan data kelompok berbeda. Namun, sebelum menentukan median, kita harus menentukan letak median terlebih dahulu, baik pada data tunggal maupun data kelompok.
Menentukan letak median
- banyaknya data berjumlah genap :

- banyaknya data berjumlah ganjil :

Setelah menentukan letak median, kita bisa mencari nilai median berdasarkan jenis datanya, yaitu
1. Data tunggal
Cara menentukan median pada data tunggal adalah dengan mengurutkan data dari yang terkecil hingga yang terbesar. Kemudian, hitunglah sejumlah letak median yang diperoleh.

2. Data kelompok
Cara menentukan median pada data kelompok setelah mengetahui letak median, yaitu dengan menentukan kelas mediannya. Kemudian substitusikan pada rumus berikut:

Keterangan :
Me = median
Tb = Tepi bawah kelas median – 0,5
P = panjang kelas median
n = frekuensi seluruh data
fk = frekuensi kumulatif sebelum kelas median
fme = frekuensi di kelas median
Modus
Modus merupakan datum yang paling sering muncul pada suatu data. Untuk menentukan modus pada data tunggal, hanya dengan menghitung frekuensi munculnya datum. Datum yang memiliki frekuensi terbanyak merupakan modus dari data tersebut.
Sedangkan modus pada data kelompok dapat ditentukan dengan cara berikut:
1. Tentukan kelas dengan frekuensi terbanyak, kelas tersebut merupakan kelas modus
2. Hitung nilai modus dengan rumus:

Keterangan :
Mo = Modus
Tb = tepi bawa kelas modus – 0,5
P = panjang kelas modus
d1 = selisih frekuensi kelas modus dengan kelas sebelumnya
d2 = selisih frekuensi kelas modus dengan kelas setelahnya
Ukuran Letak Data

Ukuran letak data terbagi menjadi 3 macam, yaitu Kuartil, Desil, dan Persentil. Ukuran letak data digunakan untuk mengelompokkan data sesuai urutannya.
Kuartil
Kuartil membagi data menjadi 4 kelompok dengan pembaginya sebanyak 3 kuartil, yaitu kuartil bawah (Q1), kuartil tengah / median (Q2), dan kuartil atas (Q3). Dalam menentukan kuartil, kita harus menentukan letak dari kuartil terlebih dahulu dengan cara :

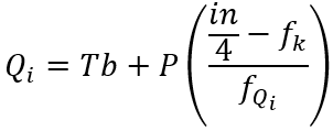
Setelah menentukan letaknya, tentukan kelas kuartil sesuai dengan letaknya, kemudian substitusikan pada rumus :

Keterangan :
i = 1, 2, 3
Qi = kuartil 1/2/3
Tb = tepi bawah kelas kuartil – 0,5
P = panjang kelas kuartil
n = frekuensi data
fk = frekuensi kumulatif sebelum kelas kuartil
fQi = frekuensi kelas kuartil
Desil
Desil membagi data menjadi 10 kelompok dengan pembaginya sebanyak 9 desil, yaitu D1 sampai dengan D9. Dalam menentukan desil, kita harus menentukan letak dari desil terlebih dahulu dengan cara :

Setelah menentukan letaknya, tentukan kelas desil sesuai dengan letaknya, kemudian substitusikan pada rumus :

Keterangan :
i = 1, 2, 3, …, 8, 9
Di = Desil ke-i
Tb = tepi bawah kelas desil – 0,5
P = panjang kelas desil
n = frekuensi data
fk = frekuensi kumulatif sebelum kelas desil
fDi = frekuensi kelas desil
Persentil
Persentil membagi data menjadi 100 kelompok dengan pembaginya sebanyak 99 persentil, yaitu P1 sampai dengan P99. Dalam menentukan persentil, kita harus menentukan letak dari persentil terlebih dahulu dengan cara :
1. Persentil membagi data menjadi 100 kelompok dengan pembaginya sebanyak 99 persentil, yaitu P1 sampai dengan P99. Dalam menentukan persentil, kita harus menentukan letak dari persentil terlebih dahulu dengan cara :

Keterangan :
i = 1, 2, 3, …, 98, 99
Pi = persentil ke-i
Tb = tepi bawah kelas persentil – 0,5
P = panjang kelas persentil
n = frekuensi data
fk = frekuensi kumulatif sebelum kelas persentil
fPi = frekuensi kelas persentil
Ukuran Penyebaran Data

Ukuran penyebaran data merupakan ukuran yang menunjukkan seberapa besar penyebaran atau penyimpangan atau variasi nilai-nilai data dari nilai pusatnya. Ukuran penyebaran data digunakan untuk mengetahui seberapa jauh datum menyebar dari titik pemusatannya. Ukuran penyebaran data diantaranya yaitu : jangkauan, jangkauan interkuartil, simpangan rata-rata, varians, dan simpangan baku (standar deviasi).
Jangkauan (Range)
Jangkauan atau rentang dihitung dari selisih antara datum terbesar dengan datum terkecil.

Dalam data kelompok, x merupakan nilai tengah dari kelas dengan data terbesar dan nilai tengah dari kelas dengan data terkecil.
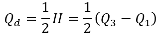
Jangkauan Interkuartil
Jangkauan interkuartil atau simpangan kuartil digunakan untuk mengukur penyebaran data berdasarkan nilai kuartilnya. Jangkauan interkuartil merupakan setengah dari hamparan. Rumus dari hamparan yaitu:

Sedangkan jangkauan interkuartil dirumuskan:

Simpangan Rata-Rata
Simpangan rata-rata adalah nilai rata-rata dari selisih setiap datum dengan nilai rataan hitung. Simpangan rata-rata antara data tunggal dan data kelompok dapat dirumuskan sebagai berikut:

Varians (Ragam)
Ragam atau biasa disebut varians digunakan untuk mengukur seberapa jauh sebuah data tersebar. Apabila nilai varians sama dnegan nol, maka seluruh data memiliki nilai yang sama. Varians data tunggal dan data kelompok dapat dirumuskan sebagai berikut:

Simpangan Baku (Standar Deviasi)
Simpangan baku atau bisa disebut juga dengan standar deviasi merupakan akar kuadrat dari varians. Simpangan baku data tunggal dan data kelompok dapat dirumuskan sebagai berikut:

1.
Kerjakan soal berikut ini!
Rata-rata nilai ulangan Matematika 28 siswa adalah 86,5. Kemudian terdapat 4 siswa yang mengikuti ulangan susulan. Nilai rata-rata ulangan setelah digabungkan menjadi 84,5. Nilai rata-rata ke empat siswa yang mengikuti ulangan susulan adalah ….
A. 69
B. 69,5
C. 70
D. 70,5
E. 71
JAWABAN BENAR
D.
70,5
PEMBAHASAN

2.
Perhatikan data tinggi badan berikut!

Modus dari data di atas adalah ….
A. 160
B. 157,8
C. 151
D. 150,5
E. 117,1
JAWABAN BENAR
B.
157,8
PEMBAHASAN

3.
Kerjakan soal berikut ini!
Diketahui data terurut yang merupakan bilangan asli, yaitu 3, x, y, 9, z, 11. Jika median datanya sama dengan 7, maka rata-ratanya adalah ….
A. 5
B. 6
C. 7
D. 8
E. 9
JAWABAN BENAR
C.
7
PEMBAHASAN

4.
Kerjakan soal berikut ini!
Diketahui data berikut :

Jika rata-rata data diatas adalah 6,04. Maka median data di atas adalah….
A. 4
B. 5
C. 6
D. 7
E. 8
JAWABAN BENAR
C.
6
PEMBAHASAN

5.
Perhatikan data berat badan berikut!

Jangkauan interkuartil dari data di atas adalah ….
A. 78,83
B. 67,17
C. 55,5
D. 23,33
E. 11,67
JAWABAN BENAR
E.
11,67
PEMBAHASAN

Oops!!!
Yah, jawaban kamu meleset nih. Ingin melihat pembahasan soal ini?
BENAR!!!
Selamat!
Jawaban kamu benar. Ingin lihat pembahasan soal ini?
footer_v3
Bersama Aku Pintar temukan jurusan kuliah yang tepat
sesuai minat dan bakatmu.
Aku Pintar memiliki visi membuat pendidikan merata, mudah dijangkau, dan terjangkau dengan Program Journey Pintar yang merupakan sebuah program persiapan lengkap bagi siswa SMA/SMK/sederajat yang ingin masuk ke perguruan tinggi impiannya.
Kontak Kami
Grand Slipi Tower Lt. 42
Jl. S. Parman Kav 22-24
Jakarta Barat
© 2024 Aku Pintar. All Rights Reserved