Belajar Pintar Materi SMP, SMA, SMK
BelajarPintarV3
Fisika
Listrik Arus Searah
MATERI
Rangkaian Listrik

Di dunia teknologi, kita sering menemukan berbagai jenis resistor dengan nilai hambatan yang berbeda-beda. Dalam rangkaian listrik, seringkali diperlukan lebih dari satu resistor yang dihubungkan bersama. Rangkaian resistor dapat dirangkai secara seri atau paralel untuk mencapai tujuan tertentu.

- Rangkaian Seri
Dalam rangkaian seri, resistor-resistor dihubungkan berurutan seperti rantai. Pada rangkaian ini, arus listrik yang mengalir melalui semua resistor memiliki nilai yang sama, namun tegangan di setiap resistor bisa berbeda.
Tegangan total dalam rangkaian seri adalah jumlah tegangan di setiap resistor:
Vtot​ = V1 + V2​ + V3 + …
Rumus hukum Ohm (V = IR) digunakan untuk mendapatkan hubungan arus dan tegangan dalam rangkaian seri:
Itot​Rseri​ =I1​R1​ + I2​R2​ + I3​R3​ + …
Besar hambatan total dalam rangkaian seri adalah penjumlahan hambatan semua resistor:
Rseri​ = R1​ + R2​ + R3​ + …
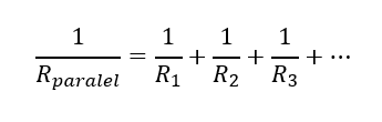
- Rangkaian Paralel
Dalam rangkaian paralel, resistor-resistor dihubungkan pada ujung yang sama. Dalam rangkaian ini, tegangan di setiap resistor sama, tetapi arus listrik yang mengalir melalui setiap resistor dapat berbeda.
Jumlah arus total dalam rangkaian paralel adalah penjumlahan arus di setiap resistor:
Itot​ = I1​ + I2​ + I3​ + …
Rumus hukum Ohm (V=IR) juga digunakan untuk mendapatkan hubungan arus dan hambatan dalam rangkaian paralel:

Rangkaian Majemuk

- Hukum Pertama Kirchoff - Hukum Percabangan
Gustav Kirchoff mengemukakan dua hukum penting yang membentuk dasar analisis rangkaian listrik. Hukum pertama Kirchoff menyatakan bahwa jumlah arus yang masuk ke titik percabangan sama dengan jumlah arus yang keluar dari titik percabangan tersebut. Ini dinyatakan dalam persamaan:
I1​ + I2​ = I3​ + I4

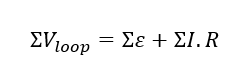
- Hukum Kedua Kirchoff - Hukum Loop dan Tegangan
Hukum kedua Kirchoff berhubungan dengan tegangan dan energi potensial listrik dalam rangkaian tertutup. Hukum ini menyatakan bahwa jumlah tegangan dalam satu loop tertutup (yang dimulai dan berakhir di titik yang sama) sama dengan jumlah produk arus dan hambatan dalam loop tersebut:

Hukum kedua Kirchoff sangat bermanfaat dalam menyelesaikan masalah rangkaian majemuk, baik itu rangkaian seri, paralel, maupun kombinasi keduanya. Dengan memahami hukum ini, kita dapat menghitung nilai arus dan tegangan pada setiap komponen dalam rangkaian.
Dalam analisis loop menggunakan Hukum Kirchoff, penting untuk memiliki perjanjian tanda yang konsisten. Ketika arah arus dalam loop searah dengan arah positif, arus dianggap positif. Ketika loop bertemu kutub positif sumber tegangan, tegangan dianggap positif.
1.
Kerjakan soal berikut ini dengan tepat!
Dua buah bola lampu masing-masing tertulis 60 watt, 120 volt dan 40 watt, 120 volt. Jika kedua bola lampu tersebut dihubungkan seri pada tegangan 120 volt maka jumlah daya pada kedua bola lampu tersebut adalah ….
A. 100 W
B. 50 W
C. 24 W
D. 20 W
E. 18 W
JAWABAN BENAR
C.
24 W
PEMBAHASAN
R1 = V12/P1
= 1202/60
= 14400/60
= 240 ohm
R2 = V22/P2
= 1202/40
= 14400/40
= 360 ohm
lampu seri : Rs = R1 + R2
= 240 + 360
= 600 ohm
maka, daya ke-2 lampu :
P = V2/Rs
= 1202/600
= 14400/600
= 24 watt
2.
Kerjakan soal berikut ini dengan tepat!
Hukum II Kirchhoff biasa disebut hukum …
A. Hukum Arus Kirchoff
B. Kirchhoff’s Voltage Law (KVL)
C. Kirchhoff's Current Law (KCL)
D. Hukum Energi Kirchoff
E. Hukum Hambatan Kirchoff
JAWABAN BENAR
B.
Kirchhoff’s Voltage Law (KVL)
PEMBAHASAN
Hukum II Kirchhoff biasa disebut Hukum Tegangan Kirchhoff atau Kirchhoff’s Voltage Law (KVL)
3.
Perhatikan gambar rangkaian berikut!

Besar kuat arus yang mengalir pada rangkain tersebut adalah…
A. 0,6 A
B. 1,2 A
C. 1,6 A
D. 2,0 A
E. 2,5 A
JAWABAN BENAR
C.
1,6 A
PEMBAHASAN

4.
Kerjakan soal berikut ini dengan tepat!
Banyaknya energi listrik tiap satuan waktu disebut …
A. Daya listrik
B. Energi listrik
C. Hukum I Kirchoff
D. Hukum II Kirchoff
E. Hukum ohm
JAWABAN BENAR
A.
Daya listrik
PEMBAHASAN
Daya listrik merupakan kecepatan perubahan energi yang diubah tiap satuan waktu atau daya listrik juga didefinisikan sebagai banyaknya energi listrik tiap satuan waktu.
5.
Kerjakan soal berikut ini dengan tepat!
Sebuah hambatan 20 ohm dihubungkan pada baterai yang bertegangan 6 volt. Tentukan daya yang diserap hambatan dan energi yang diserap hambatan selama setengah menit!
A. 1,8 watt dan 54 joule
B. 1,2 watt dan 52 joule
C. 1,8 watt dan 52 joule
D. 1,2 watt dan 50 joule
E. 1,2 watt dan 54 joule
JAWABAN BENAR
A.
1,8 watt dan 54 joule
PEMBAHASAN

6.
Jawablah soal berikut ini!
Tiga resistor masing-masing memiliki hambatan 6 Ohm, 3 Ohm, dan 2 Ohm dihubungkan secara seri. Berapakah hambatan total dari rangkaian tersebut?
A. 1 Ohm
B. 3 Ohm
C. 6 Ohm
D. 9 Ohm
E. 11 Ohm
JAWABAN BENAR
E.
11 Ohm
PEMBAHASAN

7.
Jawablah soal berikut ini!
Dua resistor masing-masing memiliki hambatan 4 Ohm dan 6 Ohm dihubungkan secara paralel. Berapakah hambatan total dari rangkaian tersebut?
A. 1 Ohm
B. 1,3 Ohm
C. 2,4 Ohm
D. 3,5 Ohm
E. 4,5 Ohm
JAWABAN BENAR
C.
2,4 Ohm
PEMBAHASAN

Oops!!!
Yah, jawaban kamu meleset nih. Ingin melihat pembahasan soal ini?
BENAR!!!
Selamat!
Jawaban kamu benar. Ingin lihat pembahasan soal ini?
footer_v3
Bersama Aku Pintar temukan jurusan kuliah yang tepat
sesuai minat dan bakatmu.
Aku Pintar memiliki visi membuat pendidikan merata, mudah dijangkau, dan terjangkau dengan Program Journey Pintar yang merupakan sebuah program persiapan lengkap bagi siswa SMA/SMK/sederajat yang ingin masuk ke perguruan tinggi impiannya.
Kontak Kami
Grand Slipi Tower Lt. 42
Jl. S. Parman Kav 22-24
Jakarta Barat
© 2024 Aku Pintar. All Rights Reserved