Belajar Pintar Materi SMP, SMA, SMK
BelajarPintarV3
Matematika Wajib
Aplikasi Barisan dan Deret
MATERI
Pertumbuhan

Pertumbuhan adalah perubahan secara kuantitas sebuah objek pada rentang waktu tertentu dengan perubahan naik, artinya kuantitas objek tersebut semakin lama semakin bertambah
Contoh :
- Pertumbuhan penduduk
- Perkembangan bakteri
- Kenaikan omset
Pertumbuhan dapat dinyatakan dengan barisan sebagai berikut:

Secara umum, rumus dari pertumbuhan, yaitu

Keterangan :
M0 = Jumlah awal suatu objek
Mn = Jumlah suatu objek setelah n waktu
n = jangka waktu pertumbuhan
i = persentase pertumbuhan
Seperti yang kita ketahui bahwa materi ini termasuk dalam aplikasi dari barisan dan deret, maka pertumbuhan dapat menggunakan rumus dari barisan dan deret aritmetika maupun geometri.
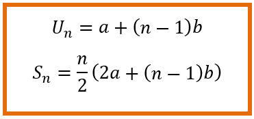
Barisan Aritmetika

dengan b bernilai positif
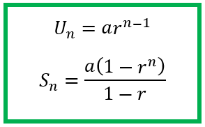
Barisan Geometri

dengan r bernilai positif
Contoh soal pertumbuhan :
Ayah bekerja di sebuah perusahaan swasta dengan gaji awal sebesar Rp 4.000.000,00. Setiap setahun sekali, gaji Ayah naik sebesar 5%. Gaji ayah setelah 7 tahun kerja di perusahaan tersebut, yaitu ….
Pembahasan:

Peluruhan

Peluruhan adalah perubahan secara kuantitas sebuah objek pada rentang waktu tertentu dengan perubahan turun, artinya kuantitas objek tersebut semakin lama semakin berkurang. Peluruhan merupakan kebalikan dari pertumbuhan
Contoh :
- Penurunan nilai jual gawai
- Kemerosotan populasi harimau sumatera
- Penurunan produksi minyak bumi
Peluruhan dapat dinyatakan dengan barisan sebagai berikut:

Secara umum, rumus dari peluruhan, yaitu :

Keterangan :
M0 = Jumlah awal suatu objek
Mn = Jumlah suatu objek setelah n waktu
n = jangka waktu peluruhan
i = persentase peluruhan
Sama seperti pertumbuhan, peluruhan juga dapat menggunakan rumus dari barisan dan deret aritmetika maupun geometri.
Barisan Aritmetika

dengan b bernilai negatif
Barisan Geometri

dengan r bernilai negatif
Contoh soal peluruhan :
Populasi gajah Sumatera kian tahun kian menurun. Pada tahun 2007, diperkirakan populasi gajah Sumatera hanya sebanyak 4.800 individu. Dikarenakan perburuan liar dengan tujuan mengambil gading gajah, populasi gajah Sumatera berkurang 8% setelah 14 tahun. Berapakah populasi gajah Sumatera pada tahun 2021?
Pembahasan:

1.
Kerjakan soal berikut ini dengan tepat!
Penduduk sebuah kota mengalami peningkatan sebesar 3% tiap tahun dari tahun sebelumnya. Berdasarkan sensus penduduk tahun 2020, jumlah penduduk di kota tersebut 1.100.000 jiwa. Tentukan jumlah penduduk di kota tersebut pada tahun 2023!
A. 1.101.999
B. 1.201.999
C. 1.301.999
D. 1.401.999
E. 1.501.999
JAWABAN BENAR
B.
1.201.999
PEMBAHASAN

2.
Kerjakan soal berikut ini dengan tepat!
Sebuah kota mengalami pertumbuhan penduduk sebesar x% setiap tahun dari tahun sebelumnya. Berdasarkan sensus penduduk pada tahun 2015, jumlah penduduk di kota tersebut sebanyak 300.000 jiwa. Jika pada tahun 2019 jumlah penduduk di kota tersebut sebanyak 378.743 jiwa, Jumlah penduduk pada tahun 2024 adalah ….
A. 506.843
B. 537.254
C. 569.489
D. 603.658
E. 639.878
JAWABAN BENAR
A.
506.843
PEMBAHASAN


3.
Kerjakan soal berikut ini dengan tepat!
Seseorang membeli mobil pada tahun 2017 seharga Rp 500.000.000,00. Mesin tersebut mengalami penurunan harga sebesar 15% setiap tahun dari tahun sebelumnya. Harga mesin pada tahun 2022 adalah ….
A. Rp 1.005.678.593,00
B. Rp 874.503.125,00
C. Rp 261.003.125,00
D. Rp 221.852.656,00
E. Rp 188.574.757,00
JAWABAN BENAR
D.
Rp 221.852.656,00
PEMBAHASAN

4.
Kerjakan soal berikut ini dengan tepat!
Berdasarkan penelitian, diketahui bahwa populasi hewan A berkurang menjadi seperempatnya tiap 10 tahun. Pada tahun 2018 populasinya bersisa 500 ribu ekor. Populasi hewan A pada tahun 1988 adalah ….
A. 2 juta
B. 4 juta
C. 8 juta
D. 16 juta
E. 32 juta
JAWABAN BENAR
E.
32 juta
PEMBAHASAN

5.
Kerjakan soal berikut ini dengan tepat!
Harga suatu barang menyusut setiap bulan 20% dari harga pada awal tahun. Jika harga barang tersebut Rp 8.000.000,00. Harga barang pada bulan Oktober adalah ….
A. Rp 1.013.174,00
B. Rp 1.037.471,00
C. Rp 1.073.741,00
D. Rp 1.741.073,00
E. Rp 1.773.041,00
JAWABAN BENAR
C.
Rp 1.073.741,00
PEMBAHASAN

Oops!!!
Yah, jawaban kamu meleset nih. Ingin melihat pembahasan soal ini?
BENAR!!!
Selamat!
Jawaban kamu benar. Ingin lihat pembahasan soal ini?
footer_v3
Bersama Aku Pintar temukan jurusan kuliah yang tepat
sesuai minat dan bakatmu.
Aku Pintar memiliki visi membuat pendidikan merata, mudah dijangkau, dan terjangkau dengan Program Journey Pintar yang merupakan sebuah program persiapan lengkap bagi siswa SMA/SMK/sederajat yang ingin masuk ke perguruan tinggi impiannya.
Kontak Kami
Grand Slipi Tower Lt. 42
Jl. S. Parman Kav 22-24
Jakarta Barat
© 2024 Aku Pintar. All Rights Reserved