Belajar Pintar Materi SMP, SMA, SMK
BelajarPintarV3
Matematika
Limit Fungsi
MATERI
Menentukan Limit dengan Substitusi Langsung
Sobat pintar, dalam matematika limit merupakan nilai hampiran suatu variabel pada suatu bilangan real. Notasi :
di jabarkan sebagai "limit fungsi f(x) pada saat x mendekati a sama dengan L".
Teorema Limit Utama
Bila diketahui fungsi aljabar maka penyelesaiannya dicari sebagai berikut :
Nah sobat pintar, ada beberapa fungsi yang nilai limitnya dapat ditentukan dengan cara substitusi langsung seperti contoh berikut.
Contoh
Tentukan limit fungsi-fungsi berikut !
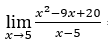
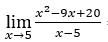
1.
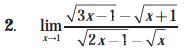
2.
3.
Jawab :
3.
Bagaimana sobat pintar, apakah sudah paham ? Yuk lanjutkan lagi belajarnya...
Menentukan Limit dengan Cara Menfaktorkan Terlebih Dahulu
Jika dengan cara substitusi langsung pada diperoleh bentuk
(bentuk tak tentu), maka lakukan pemfaktoran terlebih dahulu terhadap f(x) dan g(x). Kemudian, sederhanakan ke bentuk paling sederhana. Agar lebih jelas, perhatikan uraian berikut :
Dalam hal ini, P(a) 0 dan Q(a)
0 .
Contoh
Tentukan limit fungsi-fungsi berikut !
Yuk lanjutkan belajar kalian sobat pintar supaya lebih paham lagi
Menentukan Limit dengan Menentukan Faktor Sekawan
Sobat pintar, jika pada
diperoleh dalam bentuk tak tentu
untuk x = a dan fungsi tidak bisa difaktorkan atau sulit untuk memfaktorkan f(x) dan g(x), lakukan perkalian dengan faktor sekawan dari g(x) atau f(x). Agar lebih jelas, pelajari contoh berikut:
Contoh
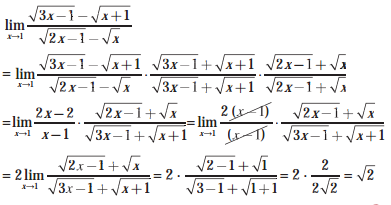
Tentukan limit berikut !
Jawab :
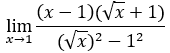
1. Jika dengan cara substitusi langsung, diperoleh

(bentuk tak tentu). Maka agar tidak muncul bentuk tak tentu, kalikanlah
dengan
sebagai berikut :
2. Coba sobat pintar kerjakan dengan cara substitusi langsung, apakah diperoleh bentuk
? Agar tidak muncul bentuk
maka kalikanlah dengan faktor sekawannya, sebagai berikut :
Nah, bagaimana sobat pintar..
apakah sudah paham perbedaan penggunaan masing-masing metode pada materi limit fungsi aljabar ?
Jika masih bingung memahami konsep diatas bisa langsung gunain tombol diskusi Sobat Pintar...
1. Tentukan 
A. 3
B. 1
C. 0
D. 5
E. 2
JAWABAN BENAR
B.
1
PEMBAHASAN
Dalam limit aljabar ketika nilai limit langsung disubtitusi dan menghasilkan
maka limit aljabar tersebut harus diselesaikan dengan cara pemfaktoran, karena
bukanlah jawabannya. Cara pemfaktoran :

=
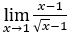
2. Tentukan
A.
B.
C. 0
D.
E. 2
JAWABAN BENAR
E.
2
PEMBAHASAN
Untuk menyelesaikan limit yang memuat akar, maka harus diselesaikan dengan cara merasionalkan atau mengalikan dengan bentuk akar sekawannya. Sehingga,
=
Oops!!!
Yah, jawaban kamu meleset nih. Ingin melihat pembahasan soal ini?
BENAR!!!
Selamat!
Jawaban kamu benar. Ingin lihat pembahasan soal ini?
footer_v3
Bersama Aku Pintar temukan jurusan kuliah yang tepat
sesuai minat dan bakatmu.
Aku Pintar memiliki visi membuat pendidikan merata, mudah dijangkau, dan terjangkau dengan Program Journey Pintar yang merupakan sebuah program persiapan lengkap bagi siswa SMA/SMK/sederajat yang ingin masuk ke perguruan tinggi impiannya.
Kontak Kami
Grand Slipi Tower Lt. 42
Jl. S. Parman Kav 22-24
Jakarta Barat
© 2024 Aku Pintar. All Rights Reserved