Belajar Pintar Materi SMP, SMA, SMK
BelajarPintarV3
Matematika
Limit Fungsi
MATERI
Limit Tak Hingga dan Limit Fungsi di Tak Hingga
Limit (dibaca : tak hingga) digunakan untuk menyatakan nilai bilangan yang semakin besar. Jadi,
bukan merupakan lambang bilangan dan tidak dapat dioperasikan secara aljabar sehingga tidak benar
-
= 0 atau = 1.
Untuk fungsi g(x) = ketika x menjadi sangat besar maka nilai
pun bernilai semakin besar tanpa batas. Dalam lambang matematika, ditulis
Ingat :
Untuk menyelesaikan limit fungsi tak hingga sobat pintar dapat menggunakan teorema limit utama pada materi sebelumnya. Perhatikan contoh-contoh berikut :
Contoh
1.
2.
3.
Jawab :
1.
=
= 3
2.
=
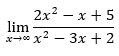
1. Tentukan
A. 0
B. 5
C. 4
D. 2
E. 1
JAWABAN BENAR
D.
2
PEMBAHASAN
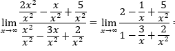
Untuk penyelesaian yaitu dengan membagi semua pembilang dan penyebut dengan variabel yang memiliki pangkat tertinggi. Sehingga,

=
=
Ingat : 
2. Tentukan
A. 1
B. 0
C.
D. 3
E. 2
JAWABAN BENAR
C.
PEMBAHASAN
=
=
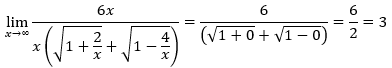
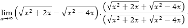
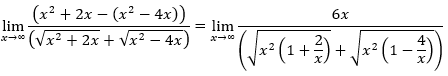
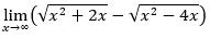
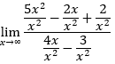
3. Tentukan
A. 0
B. 1
C. 
D. 2
E. 
JAWABAN BENAR
E.
PEMBAHASAN
=
=
=
Atau, sobat pintar juga dapat menggunakan solusi praktis berikut ini
Oops!!!
Yah, jawaban kamu meleset nih. Ingin melihat pembahasan soal ini?
BENAR!!!
Selamat!
Jawaban kamu benar. Ingin lihat pembahasan soal ini?
footer_v3
Bersama Aku Pintar temukan jurusan kuliah yang tepat
sesuai minat dan bakatmu.
Aku Pintar memiliki visi membuat pendidikan merata, mudah dijangkau, dan terjangkau dengan Program Journey Pintar yang merupakan sebuah program persiapan lengkap bagi siswa SMA/SMK/sederajat yang ingin masuk ke perguruan tinggi impiannya.
Kontak Kami
Grand Slipi Tower Lt. 42
Jl. S. Parman Kav 22-24
Jakarta Barat
© 2024 Aku Pintar. All Rights Reserved