Belajar Pintar Materi SMP, SMA, SMK
BelajarPintarV3
IPA
Suhu, Kalor, dan Perubahannya
MATERI
Pemuaian Zat

Pemuaian Zat
adalah bertambahnya ukuran suatu zat karena pengaruh perubahan suhu
Pemuaian dipengaruhi oleh 3 faktor, yaitu :
- Ukuran awal
- Kenaikan suhu
- Jenis Zat
Macam-macam pemuaian zat antara lain:
- Pemuaian zat padat
Pemuaian panjang
Pemuaian luas
Pemuaian volume - Pemuaian zat cair
Pemuaian volume - Pemuaian zat gas
Pemuaian volume
Pemuaian Zat Padat

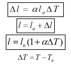
Pemuaian Panjang
adalah bertambahnya ukuran panjang suatu benda karena menerima kalor

Pemuaian panjang dipengaruhi oleh :
- Panjang awal benda
- Perubahan suhu
- Koefisien muai panjang bahan
Secara matematis, pertambahan panjang dinyatakan oleh:


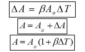
Pemuaian Luas

Pemuaian Luas secara matematis dirumuskan sebagai berikut :


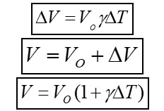
Pemuaian Volume

Pemuaian Volume secara matematis dirumuskan sebagai berikut:


Pemuaian Zat Padat dalam Kehidupan Sehari-hari

Pemuaian Zat Padat dalam kehidupan sehari-hari pengaplikasiannya bisa kita lihat dalam beberapa hal, diantaranya adalah:
- Pemasangan Sambungan Rel Kereta Api

- Jembatan logam dibuat bercelah
- Kawat telepon/kawat listrik dipasang kendor
- Pemasangan kaca jendela/pintu dibuat bercelah
Keping bimetal
Adalah dua logam yang dikeling menjadi satu

Keterangan gambar:
(a) Pada suhu normal, bimetal lurus
(b) Pada saat dipanaskan, bimetal melengkung ke arah logam yang mempunyai koefisien muai panjang yang lebih kecil
(c) Pada saat didinginkan, bimetal melengkung ke arah logam yang mempunyai lebih besar
Pemuaian Zat Cair dan Gas

Pemuaian Cair
Alat yang digunakan untuk menyelidiki pemuaian zat cair disebut labu didih
Anomali air
adalah sifat keanehan / ketidakteraturan pada air

0 -4oC : volume air menyusut
> 4oC : volume air memuai
Pemuaian Gas
Alat yang digunakan untuk menyelidiki pemuaian gas disebut dilatometer
Koefisien muai volume untuk semua jenis gas adalah sama, yaitu sebesar

1.
Jawablah soal berikut ini!
Berikut ini yang merupakan contoh pemuaian zat padat adalah...
A. Penurunan suhu air menjadi es
B. Penguapan air menjadi uap air
C. Memuai logam ketika dipanaskan
D. Kontraksi gas pada suhu rendah
JAWABAN BENAR
C.
Memuai logam ketika dipanaskan
PEMBAHASAN
Pilihan yang tepat adalah C. Memuai logam ketika dipanaskan. Ketika logam dipanaskan, atom-atom dalam logam akan bergetar lebih cepat dan memuai, sehingga volume logam meningkat.
Pilihan A, Penurunan suhu air menjadi es, sebenarnya adalah perubahan fase dari zat cair menjadi padat dan bukan pemuaian.
Pilihan B, Penguapan air menjadi uap air, adalah perubahan fase dari zat cair menjadi gas dan bukan pemuaian.
Pilihan D, Kontraksi gas pada suhu rendah, sebenarnya adalah perubahan volume gas yang terkait dengan suhu rendah dan bukan pemuaian.
Jadi, jawaban yang tepat adalah C. Memuai logam ketika dipanaskan.
2.
Jawablah soal berikut ini!
Berikut ini yang merupakan contoh pemuaian zat cair adalah...
A. Pelelehan es menjadi air
B. Pemampatan udara dalam tabung
C. Perubahan volume minyak saat dipanaskan
D. Penurunan tekanan udara pada ketinggian yang tinggi
JAWABAN BENAR
C.
Perubahan volume minyak saat dipanaskan
PEMBAHASAN
Pilihan yang tepat adalah C. Perubahan volume minyak saat dipanaskan. Ketika minyak dipanaskan, suhu meningkat dan menyebabkan zat cair ini memuai, sehingga volume minyak meningkat.
Pilihan A, Pelelehan es menjadi air, adalah perubahan fase dari zat padat menjadi cair dan bukan pemuaian.
Pilihan B, Pemampatan udara dalam tabung, terkait dengan perubahan tekanan pada gas dan bukan pemuaian zat cair.
Pilihan D, Penurunan tekanan udara pada ketinggian yang tinggi, juga terkait dengan perubahan tekanan pada gas dan bukan pemuaian zat cair.
Jadi, jawaban yang tepat adalah C. Perubahan volume minyak saat dipanaskan.
3.
Jawablah soal berikut ini!
Berikut ini yang merupakan contoh pemuaian luas adalah...
A. Pemuaian udara dalam tabung tertutup
B. Pemuaian plat logam saat dipanaskan
C. Pemuaian zat cair saat suhunya turun
D. Perubahan volume gas saat ditekan
JAWABAN BENAR
B.
Pemuaian plat logam saat dipanaskan
PEMBAHASAN
Pilihan yang tepat adalah B. Pemuaian plat logam saat dipanaskan. Ketika plat logam dipanaskan, suhu meningkat dan menyebabkan luas permukaan plat tersebut memuai atau bertambah.
Pilihan A, Pemuaian udara dalam tabung tertutup, terkait dengan perubahan tekanan pada gas dan bukan pemuaian luas.
Pilihan C, Pemuaian zat cair saat suhunya turun, sebenarnya adalah perubahan volume zat cair yang terkait dengan pemuaian zat cair dan bukan pemuaian luas.
Pilihan D, Perubahan volume gas saat ditekan, terkait dengan perubahan tekanan pada gas dan bukan pemuaian luas.
Jadi, jawaban yang tepat adalah B. Pemuaian plat logam saat dipanaskan.
4.
Jawablah soal berikut ini!
Berikut ini yang merupakan contoh pemuaian volume adalah...
A. Penurunan volume air saat didinginkan
B. Pemuaian karet pada suhu tinggi
C. Pemuaian kertas saat terkena air
D. Perubahan bentuk padat saat ditekan
JAWABAN BENAR
B.
Pemuaian karet pada suhu tinggi
PEMBAHASAN
Pilihan yang tepat adalah B. Pemuaian karet pada suhu tinggi. Ketika karet dipanaskan, suhu meningkat dan menyebabkan volume karet tersebut memuai atau bertambah.
5.
Jawablah soal berikut ini!
Sebuah batang logam memiliki panjang awal 1 meter. Jika batang tersebut dipanaskan dari suhu awal 25oC menjadi suhu akhir 75oC, dengan koefisien muai panjang sebesar 0,000012/oC, berapakah panjang batang setelah pemuaian?
A. 1,00024 meter
B. 1,00036 meter
C. 1,00048 meter
D. 1,00060 meter
JAWABAN BENAR
D.
1,00060 meter
PEMBAHASAN
Pertama, kita perlu menentukan perubahan suhu yang dialami oleh batang logam:
delta T = Suhu Akhir - Suhu Awal
delta T = 75oC - 25oC
delta T = 50oC
Selanjutnya, kita dapat menghitung pemuaian panjang menggunakan rumus:
delta L = L0 * alfa * delta T
Dimana:
delta L = Perubahan panjang
L0 = Panjang awal
alfa = Koefisien muai panjang
delta T = Perubahan suhu
Dalam soal ini, L0 = 1 meter, alfa = 0,000012/oC, dan delta T = 50oC. Mari kita substitusikan nilai-nilai tersebut ke dalam rumus:
delta L = 1 * 0,000012/oC * 50oC
delta L = 0,0006 meter
Terakhir, kita dapat menghitung panjang akhir (L) dengan menambahkan perubahan panjang ke panjang awal:
L = L0 + delta L
L = 1 meter + 0,0006 meter
L = 1,0006 meter
Jadi, panjang batang setelah pemuaian adalah 1,0006 meter.
Oops!!!
Yah, jawaban kamu meleset nih. Ingin melihat pembahasan soal ini?
BENAR!!!
Selamat!
Jawaban kamu benar. Ingin lihat pembahasan soal ini?
footer_v3
Bersama Aku Pintar temukan jurusan kuliah yang tepat
sesuai minat dan bakatmu.
Aku Pintar memiliki visi membuat pendidikan merata, mudah dijangkau, dan terjangkau dengan Program Journey Pintar yang merupakan sebuah program persiapan lengkap bagi siswa SMA/SMK/sederajat yang ingin masuk ke perguruan tinggi impiannya.
Kontak Kami
Grand Slipi Tower Lt. 42
Jl. S. Parman Kav 22-24
Jakarta Barat
© 2024 Aku Pintar. All Rights Reserved