Belajar Pintar Materi SMP, SMA, SMK
BelajarPintarV3
Matematika
Statistika
Daftar Materi
MATERI
Penyajian Data

Halo Sobat Pintar! Setelah sebelumnya kita sudah membahas mengenai ukuran pemusatan data, sekarang kita akan membahas mengenai ukuran penyebaran data. Sobat pintar sudah pernah mendengar mengenai ukuran penyebaran data?
Ukuran penyebaran data adalah suatu ukuran yang menyatakan seberapa besar nilai-nilai data berbeda atau bervariasi dengan nilai ukuran pusatnya atau seberapa besar penyimpangan nilai-nilai data dengan nilai pusatnya.
Menurut Sobat, apa saja ukuran penyebaran data? Yuk sama-sama kita pelajari!!
JANGKAUAN
Jangkauan (R) atau yang bisa disebut juga dengan range adalah selisih antara nilai data terbesar dan nilai data terkecil pada suatu data tunggal. Untuk sebaran data kelompok, nilai data terbesar diambil dari nilai tengah kelas tertinggi dan nilai data terkecil diambil dari nilai kelas yang terendah.
Jangkauan dapat dirumuskan sebagai berikut:

Kuartil


Source : id.lovepik.com
Wahhh, terlihat belasan orang sedang berbaris menuju ke loket ya, Sobat. Dari sekumpulan orang yang sedang berbaris tersebut, menurut Sobat orang yang menggunakan baju apa yaa yang berada di urutan tengah?
Kali ini, pembahasan kita berhubungan dengan letak atau urutan lohh, Sobat.
Setelah sebelumnya kita mempelajari tentang jangkauan, dalam ukuran penyebaran data, sekarang kita akan belajar tentang kuartil.
Kuartil
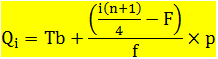
Kuartil adalah nilai yang membagi data yang telah diurutkan menjadi empat bagian yang sama banyak. Karena membagi menjadi empat bagian sama banyak, artinya terdapat 3 nilai kuartil, yaitu Kuarti Bawah (Q1), Kuartil Tengah (Q2), dan Kuartil Atas (Q3).
Kuartil dapat digambarkan sebagai berikut:

- Kuartil Data Tunggal
Untuk data tunggal, kuartil dapat dirumuskan sebagai berikut:


- Kuartil Data Kelompok
Untuk data kelompok, kuartil dapat dirumuskan sebagai berikut:


Simpangan Kuartil
SIMPANGAN KUARTIL
Simpangan kuartil (SK) atau yang disebut juga dengan jangkauan semi antarkuartil adalah setengah kali nilai hamparan.
Simpangan Kuartil dapat dirumuskan sebagai berikut:

Keterangan :
SK = Simpangan Kuartil
H = Hamparan
Q3 = Nilai Kuartil Atas
Q1 = Nilai Kuartil Bawah
1.
Jawablah pertanyaan berikut ini!
Tentukan jangkauan (range) dari data : 10 , 10 , 10 , 11 , 13 , 10 , 6 , 2 , 5 , 6 , 10 , 3 , 3 , 3 , 6 , 6 , 10 , 11 , 10!
A. 4
B. 6
C. 8
D. 10
E. 11
JAWABAN BENAR
E.
11
PEMBAHASAN
Pertama, kita Urutkan datanya terlebih dahulu menjadi sebagai berikut :
2 , 3 , 3 , 3 , 5 , 6 , 6 , 6 , 6 , 10 , 10 , 10 , 10 , 10 , 10 , 10 , 11 , 11 , 13
Xmax = 13
Xmin = 2
Jangkauan = Xmax – Xmin = 13 – 2 = 11
2.
Perhatikan tabel di bawah ini!

Nilai kuartil atas dari data tersebut adalah ....
A. 37
B. 37,3
C. 37,5
D. 38
E. 38,5
JAWABAN BENAR
B.
37,3
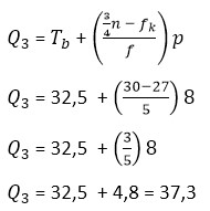
PEMBAHASAN
Kita cari letak data Kuartil atas (Q3) terlebih dahulu dengan jumlah data ada sebanyak 40

Lengkapi tabel pada soal dengan kolom frekuensi kumulatif (fk)

Kuartil Atas terletak pada data ke 30, artinya terletak pada interval 33 – 40
Diketahui :
Tb = 33 – 0,5 = 32,5
fk = 27
f = 5
p = 8
Dengan demikian, diperoleh:

Jadi, nilai kuartil atas dari data adalah 37,3
3.
Perhatikan tabel berikut!

Nilai kuartil bawah dari data pada tabel di atas adalah ....
A. 59,50
B. 60,00
C. 60,50
D. 60,75
E. 61,75
JAWABAN BENAR
A.
59,50
PEMBAHASAN
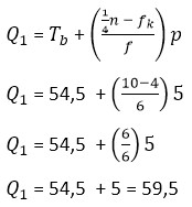
Kita cari letak data Kuartil bawah (Q1) terlebih dahulu dengan jumlah data ada sebanyak 40

Lengkapi tabel pada soal dengan kolom frekuensi kumulatif (fk)

Kuartil bawah terletak pada data ke 10, artinya terletak pada interval 55 – 59
Diketahui :
Tb = 55 – 0,5 = 54,5
fk = 4
f = 6
p = 5
Dengan demikian, diperoleh:

Nilai kuartil bawah dari data pada tabel di atas adalah 59,5
4.
Perhatikan tabel usia seseorang yang mengantri di bank sebagai berikut!

Nilai Median atau Nilai Tengah dari data diatas ialah ....
A. 30
B. 30,1
C. 30,2
D. 30,3
E. 30,4
JAWABAN BENAR
C.
30,2
PEMBAHASAN
Pertama, kita cari dahulu letak nilai Median dengan jumlah data nya ada sebanyak 68

Lengkapi tabel pada soal dengan kolom frekuensi kumulatif (fk)

Median terletak pada data ke 24, artinya terletak pada interval 26 – 30
Diketahui :
Tb = 26 – 0,5 = 25,5
fk = 8
f = 17
p = 5
Dengan demikian, diperoleh:

Jadi, Median atau Nilai Tengah dari data diatas ialah 30,2
5.
Perhatikan tabel nilai ulangan matematika berikut ini!

Nilai simpangan kuartil data di atas adalah ....
A. 1
B. 2
C. 3
D. 4
E. 5
JAWABAN BENAR
A.
1
PEMBAHASAN


Oops!!!
Yah, jawaban kamu meleset nih. Ingin melihat pembahasan soal ini?
BENAR!!!
Selamat!
Jawaban kamu benar. Ingin lihat pembahasan soal ini?
footer_v3
Bersama Aku Pintar temukan jurusan kuliah yang tepat
sesuai minat dan bakatmu.
Aku Pintar memiliki visi membuat pendidikan merata, mudah dijangkau, dan terjangkau dengan Program Journey Pintar yang merupakan sebuah program persiapan lengkap bagi siswa SMA/SMK/sederajat yang ingin masuk ke perguruan tinggi impiannya.
Kontak Kami
Grand Slipi Tower Lt. 42
Jl. S. Parman Kav 22-24
Jakarta Barat
© 2024 Aku Pintar. All Rights Reserved