Belajar Pintar Materi SMP, SMA, SMK
BelajarPintarV3
Matematika
Persamaan dan Fungsi Kuadrat
MATERI
Memahami grafik fungsi kuadrat

Fungsi kuadrat merupakan fungsi yang berbentuk y = ax2 + bx + c, dengan a tidak sama dengan 0.
Grafik dari fungsi kuadrat menyerupai parabola, sehingga dapat dikatakan juga sebagai fungsi parabola.
Berikut merupakan gambar perbandingan grafik fungsi kuadrat y=x2 , y = -x2, dan y = 2x2.

Nilai a pada fungsi y = ax2 + bx + c akan mempengaruhi bentuk grafiknya.
Jika a positif maka grafiknya akan terbuka ke atas. Sebaliknya jika a negatif maka grafiknya akan terbuka ke bawah. Jika nilai a semakin besar maka grafiknya menjadi lebih “kurus”.
Berikut merupakan perbandingan grafik fungsi kuadrat y = x2 + 2x, y = x2 – 3x + 2 dan y = –x2 – 5x – 4.

Garis putus-putus pada gambar di atas menerupakan sumbu simetri. Koordinat yang ditandai dengan bulatan merupakan titik puncak sedangkan koordinat yang ditandai dengan persegi merupakan titik potong dengan sumbu-y.
Nilai b pada grafik y = ax2 + bx + c menunjukkan letak koordinat titik puncak dan sumbu simetri (titik puncak dan sumbu simetri dibahas lebih lanjut pada subbab selanjutnya).
Jika a > 0, grafik y = ax2 + bx + c memiliki titik puncak minimum.
Jika a < 0, grafik y = ax2 + bx + c memiliki titik puncak maksimum.
Nilai c pada grafik y = ax2 + bx + c menunjukkan titik perpotongan grafik fungsi kuadrat tersebut dengan sumbu-y, yakni pada koordinat (0, c).
Menentukan Sumbu Simetrii dan Titik Optimum

Fungsi kuadrat f(x) = ax2 + bx + c mempunyai sumbu simetri

Dengan nilai optimumnya adalah
![]()
Mensketsa grafik fungsi kuadrat

Langkah-langkah mensketsa grafik fungsi kuadrat:
Langkah 1. Menentukan bentuk parabola (terbuka ke atas atau ke bawah).
Langkah 2. Menentukan perpotongan grafik terhadap sumbu-x; yaitu, koordinat titik potongnya adalah (x1 , 0) yang memenuhi persamaan f(x1 ) = 0
Langkah 3. Menentukan perpotongan grafik terhadap sumbu-y; yaitu, koordinat titik potongnya adalah (0, y1 ) dengan y1 didapatkan berdasarkan persamaan y1 = f(0)
Langkah 4. Menentukan sumbu simetri dan nilai optimum dari grafik fungsi. Langkah 5. Mensketsa grafik fungsi kuadrat berdasarkan langkah (1), (2), (3), dan (4).
1.
Kerjakan soal berikut dengan tepat!
Jika grafik y = x2 + ax + b mempunyai titik puncak (1, 2), tentukan nilai a dan b!
A. 2 dan 3
B. -2 dan 3
C. 2 dan -3
D. -2 dan -3
JAWABAN BENAR
B.
-2 dan 3
PEMBAHASAN
Gunakan rumus (-b/2a) sebagai nilai x titik puncak, sehingga:
-a/2(1) = 1
a = -2
Substitusi titik puncak (1,2) ke dalam persamaan y = x2 + ax + b diperoleh :
2 = (1)2 + a (1) + b
1 = a + b
Dari persamaan baru, substitusikan nilai a = -2
1 = a + b = -2 + b
b = 3
2.
Kerjakan soal berikut dengan tepat!
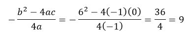
Jika fungsi y = ax2 + 6x + (a + 1) mempunyai sumbu simetri x = 3. Tentukan nilai maksimumnya!
A. 3
B. 6
C. 9
D. 11
JAWABAN BENAR
C.
9
PEMBAHASAN
Sumbu simetri berada di x titik puncak, sehingga:
-b/2a = 3
-6/2a = 3
a = -1
Sehingga fungsi y menjadi :
y = -x2 + 6x
Nilai maksimumnya:

3.
Kerjakan soal berikut dengan tepat!
Tentukan sumbu simetri grafik fungsi kuadrat y=5x2-20x+1 adalah ….
A. -5
B. -2
C. 2
D. 5
JAWABAN BENAR
C.
2
PEMBAHASAN

4.
Kerjakan soal berikut dengan tepat !
Tentukankoordinat titik balik grafik fungsi kuadrat y=(x-6)(x+2) adalah ….
A. (-2,-16)
B. (-2,16)
C. (2,-16)
D. (2,16)
JAWABAN BENAR
C.
(2,-16)
PEMBAHASAN


Oops!!!
Yah, jawaban kamu meleset nih. Ingin melihat pembahasan soal ini?
BENAR!!!
Selamat!
Jawaban kamu benar. Ingin lihat pembahasan soal ini?
footer_v3
Bersama Aku Pintar temukan jurusan kuliah yang tepat
sesuai minat dan bakatmu.
Aku Pintar memiliki visi membuat pendidikan merata, mudah dijangkau, dan terjangkau dengan Program Journey Pintar yang merupakan sebuah program persiapan lengkap bagi siswa SMA/SMK/sederajat yang ingin masuk ke perguruan tinggi impiannya.
Kontak Kami
Grand Slipi Tower Lt. 42
Jl. S. Parman Kav 22-24
Jakarta Barat
© 2024 Aku Pintar. All Rights Reserved